Advanced Rhodium-Catalyzed Synthesis of Chiral 3,3-Disubstituted Isoindolinones for Commercial Scale-Up
Advanced Rhodium-Catalyzed Synthesis of Chiral 3,3-Disubstituted Isoindolinones for Commercial Scale-Up
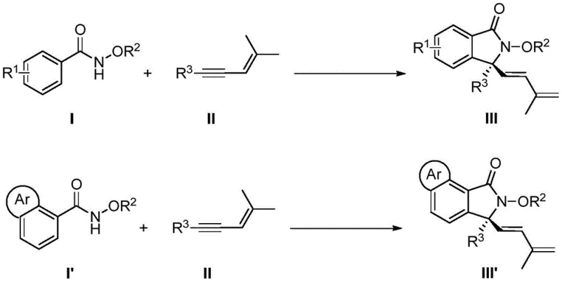
The pharmaceutical and fine chemical industries are constantly seeking more efficient pathways to construct complex chiral scaffolds, particularly those found in bioactive molecules. Patent CN113735756A introduces a groundbreaking methodology for the synthesis of chiral 3,3-disubstituted isoindolinone compounds, a privileged structural motif prevalent in numerous therapeutic agents. This innovation leverages a chiral cyclopentadienyl rhodium catalyst to facilitate a tandem sequence involving C-H bond activation, enyne migration insertion, 1,4-rhodium migration, and nucleophilic cyclization. By utilizing readily available N-methoxybenzamides and 1,3-enynes as starting materials, this process achieves high yields and exceptional enantioselectivity under remarkably mild conditions. For R&D directors and procurement specialists, this represents a significant leap forward in process chemistry, offering a streamlined route that bypasses the limitations of traditional multi-step syntheses while ensuring the high purity required for downstream drug development.

The Limitations of Conventional Methods vs. The Novel Approach
The Limitations of Conventional Methods
Historically, the construction of 3,3-disubstituted chiral isoindolinone skeletons has been a formidable challenge in organic synthesis, often relying on strategies that suffer from poor atom and step economy. Conventional approaches typically involve the enantioselective functionalization of pre-existing isoindolinone cores, which necessitates the prior synthesis of these heterocyclic frameworks through laborious multi-step sequences. These traditional routes frequently require harsh reaction conditions, expensive protecting group manipulations, and the use of stoichiometric chiral auxiliaries that generate substantial chemical waste. Furthermore, the substrate scope in older methodologies is often narrow, limiting the diversity of derivatives that can be accessed for structure-activity relationship (SAR) studies. The difficulty in preparing specific starting materials and the inherent instability of certain intermediates further complicate the supply chain, leading to longer lead times and increased costs for pharmaceutical intermediates manufacturing.
The Novel Approach
In stark contrast, the novel approach detailed in the patent utilizes a transition metal-catalyzed direct functionalization strategy that fundamentally reshapes the synthetic landscape. By employing a chiral cyclopentadienyl rhodium catalyst, the method enables a direct [4+1] cyclization reaction between simple N-methoxybenzamides and 1,3-enyne compounds. This transformation effectively uses the alkyne moiety as a one-carbon synthon, a rare and valuable reactivity pattern that allows for the rapid assembly of complexity from simple precursors. The reaction proceeds under mild acidic conditions in alcohol solvents at temperatures ranging from 5°C to 15°C, drastically reducing energy consumption and safety risks associated with high-temperature processes. This streamlined protocol not only simplifies the operational workflow but also expands the accessible chemical space, allowing for the introduction of diverse substituents on the aromatic ring and the alkyne component with high fidelity.
Mechanistic Insights into Rhodium-Catalyzed C-H Activation and Cyclization
The success of this transformation hinges on the unique properties of the chiral cyclopentadienyl rhodium catalyst, which orchestrates a complex cascade of elementary steps with precise stereocontrol. The catalytic cycle initiates with the coordination of the rhodium species to the directing group of the N-methoxybenzamide, facilitating the activation of the ortho C-H bond to form a rhodacycle intermediate. This organometallic species then undergoes migratory insertion with the 1,3-enyne substrate, a critical step where the chirality of the cyclopentadienyl ligand exerts its influence to dictate the stereochemical outcome of the newly formed quaternary carbon center. Following insertion, a 1,4-rhodium migration occurs, shifting the metal center to a position conducive for the final ring-closing event.

The final stage involves nucleophilic cyclization where the nitrogen atom attacks the activated carbonyl or iminium species, releasing the product and regenerating the active catalyst. The use of silver difluoride as an oxidant is crucial for re-oxidizing the rhodium species to maintain the catalytic turnover. This mechanistic pathway ensures that side reactions are minimized, leading to a clean impurity profile. For quality control teams, understanding this mechanism is vital, as it highlights the importance of catalyst loading and oxidant stoichiometry in maintaining consistent product quality. The robustness of the catalytic system against various functional groups, including halogens, esters, and ethers, further underscores its utility in synthesizing complex pharmaceutical intermediates without the need for extensive protection-deprotection strategies.
How to Synthesize Chiral 3,3-Disubstituted Isoindolinones Efficiently
Implementing this synthesis in a laboratory or pilot plant setting requires careful attention to reaction parameters to maximize yield and enantiomeric excess. The protocol is designed to be operationally simple, utilizing standard equipment and commercially available reagents. The key to success lies in the precise control of temperature and the quality of the chiral catalyst employed. Detailed experimental procedures indicate that maintaining the reaction between 5°C and 15°C for a duration of 60 to 80 hours is optimal for achieving conversions that support high isolation yields. The workup procedure is straightforward, involving quenching with ethylenediamine followed by standard chromatographic purification, making it amenable to automation and scale-up.
- Prepare the reaction mixture by combining N-methoxybenzamide, 1,3-enyne, chiral cyclopentadienyl rhodium catalyst, silver difluoride oxidant, and acetic acid additive in an alcohol solvent.
- Maintain the reaction temperature between 5°C and 15°C and stir for 60 to 80 hours to ensure complete conversion and high enantioselectivity.
- Quench the reaction with ethylenediamine, remove the solvent, and purify the crude product via silica gel column chromatography to isolate the target chiral isoindolinone.
Commercial Advantages for Procurement and Supply Chain Teams
From a commercial perspective, this patented technology offers compelling advantages that directly address the pain points of procurement managers and supply chain heads in the fine chemical sector. The shift from multi-step, low-yielding traditional syntheses to a direct, catalytic one-pot process translates into significant cost reductions in pharmaceutical intermediates manufacturing. By eliminating the need for pre-functionalized substrates and reducing the number of unit operations, the overall material throughput is improved, and the consumption of solvents and reagents is drastically lowered. This efficiency gain is not merely theoretical; it results in a tangible reduction in the cost of goods sold (COGS), allowing for more competitive pricing in the global market.
- Cost Reduction in Manufacturing: The economic benefits of this process are driven by its high atom economy and the use of inexpensive, stable starting materials like N-methoxybenzamides. Unlike traditional methods that may require cryogenic conditions or exotic reagents, this reaction operates at near-ambient temperatures using common alcohol solvents such as ethanol or 3-pentanol. The elimination of expensive transition metal removal steps, often required in palladium-catalyzed couplings, further simplifies the downstream processing. Additionally, the high selectivity of the reaction minimizes the formation of difficult-to-separate byproducts, reducing the burden on purification resources and increasing the overall recovery of the desired API intermediate.
- Enhanced Supply Chain Reliability: Supply chain resilience is bolstered by the broad substrate scope of this methodology, which allows for the sourcing of diverse raw materials without compromising the core synthetic strategy. The starting materials are chemically stable and readily available from bulk chemical suppliers, mitigating the risk of shortages that often plague specialized reagents. Furthermore, the robustness of the catalyst system ensures consistent batch-to-batch reproducibility, a critical factor for maintaining uninterrupted production schedules. This reliability reduces the lead time for high-purity pharmaceutical intermediates, enabling faster response to market demands and clinical trial requirements.
- Scalability and Environmental Compliance: As regulatory pressures regarding environmental sustainability intensify, this green chemistry approach offers a distinct advantage. The mild reaction conditions reduce energy consumption, while the high selectivity minimizes waste generation, aligning with the principles of green manufacturing. The process avoids the use of highly toxic reagents and generates fewer hazardous byproducts, simplifying waste treatment and disposal protocols. This environmental compatibility facilitates easier regulatory approval and supports the long-term sustainability goals of modern chemical enterprises, making it an ideal candidate for commercial scale-up of complex heterocyclic scaffolds.
Frequently Asked Questions (FAQ)
To assist technical teams in evaluating this technology for their specific applications, we have compiled answers to common questions regarding the practical implementation and performance of this rhodium-catalyzed system. These insights are derived directly from the experimental data and technical specifications outlined in the patent documentation, providing a reliable foundation for feasibility assessments.
Q: What are the key advantages of this Rhodium-catalyzed method over traditional synthesis?
A: This method utilizes direct C-H bond activation, eliminating the need for pre-functionalized substrates and multi-step sequences. It operates under mild conditions (5-15°C) with high atom economy, significantly reducing waste and energy consumption compared to conventional routes.
Q: What is the enantioselectivity achievable with this process?
A: The process employs chiral cyclopentadienyl rhodium catalysts which induce high stereocontrol. Experimental data demonstrates enantiomeric excess (ee) values reaching up to 96%, ensuring the production of high-purity chiral intermediates suitable for pharmaceutical applications.
Q: Is this synthesis method scalable for industrial production?
A: Yes, the protocol uses stable, commercially available starting materials and simple alcohol solvents. The mild reaction conditions and robust catalyst system facilitate safe scale-up from laboratory to commercial manufacturing without requiring extreme pressures or temperatures.
Partnering with NINGBO INNO PHARMCHEM: Your Reliable Chiral 3,3-Disubstituted Isoindolinone Supplier
At NINGBO INNO PHARMCHEM, we recognize the transformative potential of advanced catalytic technologies like the one described in CN113735756A for accelerating drug discovery and development. As a leading CDMO partner, we possess extensive experience scaling diverse pathways from 100 kgs to 100 MT/annual commercial production, ensuring that innovative laboratory methods are seamlessly translated into robust industrial processes. Our state-of-the-art facilities are equipped with rigorous QC labs capable of meeting stringent purity specifications, guaranteeing that every batch of chiral isoindolinone intermediate meets the highest standards of quality and consistency required by global regulatory bodies.
We invite you to collaborate with us to leverage this cutting-edge synthesis for your next project. Our technical procurement team is ready to provide a Customized Cost-Saving Analysis tailored to your specific volume requirements and timeline. Contact us today to request specific COA data and route feasibility assessments, and let us demonstrate how our expertise in rhodium-catalyzed transformations can drive efficiency and value for your supply chain.
