Advanced Synthesis of Spiro-Heterocyclic Indole Derivatives for Commercial Pharmaceutical Applications
Introduction to Novel Spiro-Heterocyclic Synthesis Technologies
The pharmaceutical industry continuously seeks robust and scalable synthetic routes for complex heterocyclic scaffolds, particularly those exhibiting significant biological activity. Patent CN102584860A introduces a groundbreaking methodology for the preparation of spiro-heterocyclic compounds containing indole structures, specifically dihydro-spiro[indole-3,4'-pyrazolo[3,4-e][1,4]thiazepine] diketones. These structural motifs are critical in medicinal chemistry, serving as core frameworks for potential anticancer agents and serotonin receptor modulators similar to natural products like Spirotryprostatin A. The disclosed technology leverages a highly efficient multicomponent reaction strategy that merges isatin or acenaphthylenequinone derivatives with 5-aminopyrazoles and mercapto carboxylic acids. This approach represents a significant leap forward in process chemistry, addressing long-standing challenges related to reaction efficiency, operational simplicity, and environmental compliance in the synthesis of high-value pharmaceutical intermediates.
The strategic importance of this patent lies in its ability to construct complex spiro-centers at the C3 position of the indole ring with exceptional regioselectivity and stereochemical control. Unlike traditional stepwise syntheses that often suffer from low overall yields and cumbersome purification protocols, this one-pot procedure streamlines the entire manufacturing workflow. By utilizing readily available starting materials and mild catalytic conditions, the method offers a viable pathway for the cost-effective production of diverse libraries of bioactive molecules. For R&D directors and procurement managers alike, understanding the nuances of this technology is essential for evaluating its potential integration into existing supply chains for API intermediate manufacturing, where reliability and purity are paramount concerns.
![General reaction scheme for synthesizing dihydrospiro[indole-3,4'-pyrazolo[3,4-e][1,4]thiazepine] diketones using isatin, aminopyrazole, and mercapto acid](/insights/img/spiro-indole-synthesis-pharma-supplier-20260309073126-05.png)
The Limitations of Conventional Methods vs. The Novel Approach
The Limitations of Conventional Methods
Historically, the synthesis of indole-based spiro-heterocycles has relied on methodologies that present significant operational and economic drawbacks for large-scale production. Prior art, such as the work by Milind, often necessitates the use of anhydrous zinc chloride as a Lewis acid catalyst, which introduces severe complications regarding heavy metal contamination and subsequent removal processes. Furthermore, alternative routes described by researchers like Krishna involve multi-step sequences requiring the isolation of unstable intermediates, leading to substantial material loss and increased processing time. These conventional approaches frequently demand harsh reaction conditions, including high-temperature reflux in toxic solvents like toluene, which elevates safety risks and environmental burdens. The cumulative effect of these inefficiencies is a manufacturing process that is not only costly but also difficult to validate under strict Good Manufacturing Practice (GMP) standards due to the complexity of impurity profiles generated by side reactions.
The Novel Approach
In stark contrast, the methodology disclosed in CN102584860A offers a streamlined, one-pot solution that dramatically simplifies the synthetic landscape. By employing organic acids such as p-toluenesulfonic acid (PTSA) or mineral acids as catalysts, the reaction proceeds smoothly under mild thermal conditions ranging from 65°C to 95°C. This shift from Lewis acids to Brønsted acids eliminates the need for expensive and hazardous metal scavengers, thereby reducing both raw material costs and waste disposal expenses. The reaction tolerates a wide variety of solvents, including eco-friendlier options like ethanol and acetonitrile, facilitating easier solvent recovery and recycling. As illustrated in the reaction scheme below, the convergence of three distinct building blocks—isatin, aminopyrazole, and mercapto acid—occurs in a single vessel, minimizing unit operations and maximizing throughput. This operational simplicity translates directly into enhanced supply chain reliability and reduced lead times for high-purity pharmaceutical intermediates.
![Reaction scheme for synthesizing dihydrospiro[acenaphthylene-1,4'-pyrazolo[3,4-e][1,4]thiazepine] derivatives using acenaphthylenequinone](/insights/img/spiro-indole-synthesis-pharma-supplier-20260309073126-07.png)
Mechanistic Insights into Acid-Catalyzed Multicomponent Cyclization
The core of this technological advancement lies in the precise mechanistic orchestration of the multicomponent condensation. The reaction initiates with the acid-catalyzed activation of the carbonyl group on the isatin or acenaphthylenequinone substrate, rendering it highly electrophilic. Simultaneously, the nucleophilic amino group of the 5-aminopyrazole attacks the activated carbonyl, forming an imine intermediate that is crucial for the subsequent cyclization steps. The presence of the mercapto carboxylic acid introduces a thiol moiety that participates in a Michael-type addition or nucleophilic attack, ultimately closing the seven-membered thiazepine ring fused to the pyrazole system. This cascade sequence is meticulously balanced by the choice of catalyst loading, typically optimized at a molar ratio of 1:0.3 relative to the aminopyrazole, ensuring rapid kinetics without promoting excessive decomposition or polymerization of the sensitive intermediates. The result is the formation of a stable spiro-center at the C3 position, a structural feature that is notoriously difficult to construct with high fidelity using other methods.
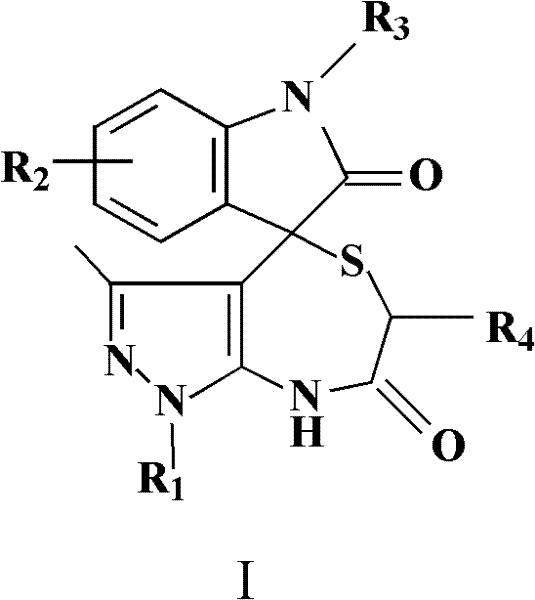
From an impurity control perspective, the mechanism inherently favors the formation of the thermodynamic spiro-product over kinetic byproducts. The use of protic solvents like ethanol aids in stabilizing transition states through hydrogen bonding, further directing the reaction pathway towards the desired diketone structure. Post-reaction analysis indicates that the crude product often possesses sufficient purity to be isolated simply by filtration and washing, bypassing the need for column chromatography. This is a critical advantage for process chemists aiming to define a robust control strategy for commercial manufacturing. The structural integrity of the final compound, as depicted in Formula I and Formula II, is maintained through the gentle reaction conditions, preserving sensitive functional groups such as halogens (fluoro, chloro, bromo) on the indole ring, which allows for extensive downstream derivatization opportunities for drug discovery programs.
![Chemical structure of Formula I showing the dihydrospiro[indole-3,4'-pyrazolo[3,4-e][1,4]thiazepine] core with variable substituents](/insights/img/spiro-indole-synthesis-pharma-supplier-20260309073126-03.png)
How to Synthesize Dihydrospiro[indole-3,4'-pyrazolo[3,4-e][1,4]thiazepine] Efficiently
Implementing this synthesis route requires careful attention to stoichiometry and reaction monitoring to ensure optimal yield and purity. The process begins by dissolving equimolar amounts of the isatin derivative, the 5-aminopyrazole, and the mercapto carboxylic acid in a selected solvent system, with acetonitrile or ethanol being the preferred choices for their balance of solubility and boiling point. Once the substrates are fully homogenized, the catalyst is introduced, and the mixture is heated to reflux. Monitoring the reaction progress via Thin Layer Chromatography (TLC) is recommended to determine the precise endpoint, which typically occurs between 8 to 24 hours depending on the specific electronic nature of the substituents. Upon completion, the reaction mixture is concentrated, and the resulting solid is purified through a straightforward washing protocol with anhydrous ethanol, yielding the final white or off-white crystalline product ready for characterization.
- Dissolve isatin (or acenaphthylenequinone), 5-aminopyrazole compound, and mercapto carboxylic acid in a suitable solvent such as acetonitrile, ethanol, or tetrahydrofuran.
- Add an organic acid catalyst, preferably p-toluenesulfonic acid (PTSA), to the reaction mixture to initiate the cyclization process.
- Heat the reaction mixture to reflux at temperatures between 65°C and 95°C for 8 to 24 hours, then isolate the product via filtration and washing.
Commercial Advantages for Procurement and Supply Chain Teams
For procurement managers and supply chain heads, the adoption of this synthetic route offers tangible strategic benefits that extend beyond mere chemical elegance. The elimination of transition metal catalysts removes a significant cost center associated with specialized reagents and the rigorous testing required to certify low residual metal levels in API intermediates. Furthermore, the high atom economy of the multicomponent reaction ensures that a greater proportion of raw material mass is converted into the final product, substantially reducing the cost of goods sold (COGS). The simplicity of the workup procedure, which avoids complex extraction and chromatographic purification, drastically reduces solvent consumption and labor hours, contributing to a leaner and more agile manufacturing operation. These factors collectively enhance the economic viability of producing these complex spiro-heterocycles at a commercial scale.
- Cost Reduction in Manufacturing: The substitution of expensive Lewis acids with commodity organic acids like p-toluenesulfonic acid results in direct material cost savings. Additionally, the ability to isolate the product via simple filtration rather than energy-intensive distillation or chromatography significantly lowers utility and processing costs. The high yields reported, often exceeding 80% in optimized embodiments, mean less raw material is wasted, further driving down the effective price per kilogram of the intermediate. This efficiency allows for more competitive pricing strategies when supplying global pharmaceutical clients who are increasingly sensitive to manufacturing margins.
- Enhanced Supply Chain Reliability: The starting materials for this synthesis, including various isatins and aminopyrazoles, are commercially available in bulk quantities from multiple global suppliers, mitigating the risk of single-source dependency. The robustness of the reaction conditions, which tolerate slight variations in temperature and stoichiometry without significant yield loss, ensures consistent batch-to-batch quality. This reliability is crucial for maintaining uninterrupted supply lines for critical drug development projects. Moreover, the use of common solvents like ethanol and acetonitrile simplifies logistics and storage requirements, reducing the complexity of the supply chain infrastructure needed to support production.
- Scalability and Environmental Compliance: The process is inherently scalable, having been demonstrated effectively in standard round-bottom flask setups that translate easily to industrial reactors. The absence of heavy metals simplifies wastewater treatment and aligns with increasingly stringent environmental regulations regarding chemical discharge. The reduced solvent usage and the potential for solvent recycling contribute to a lower carbon footprint for the manufacturing process. This alignment with green chemistry principles not only satisfies regulatory requirements but also enhances the corporate sustainability profile of the manufacturer, a factor that is becoming increasingly important in vendor selection criteria for major multinational pharmaceutical companies.
Frequently Asked Questions (FAQ)
The following questions address common technical and commercial inquiries regarding the implementation of this spiro-heterocyclic synthesis technology. These insights are derived directly from the experimental data and process descriptions provided in the patent literature, offering a clear understanding of the method's capabilities and limitations. Understanding these details is vital for technical teams evaluating the feasibility of integrating this route into their existing portfolio of pharmaceutical intermediates. The answers reflect the practical realities of scaling this chemistry from the laboratory bench to pilot and commercial production scales.
Q: What are the key advantages of this acid-catalyzed method over traditional Lewis acid methods?
A: This method utilizes mild organic acids like p-toluenesulfonic acid instead of harsh Lewis acids like zinc chloride, eliminating the need for complex heavy metal removal steps and significantly simplifying downstream purification.
Q: What is the typical yield range for these spiro-heterocyclic compounds?
A: According to the patent data, the reaction consistently achieves high yields, generally exceeding 70%, with many specific embodiments demonstrating yields between 75% and 89%.
Q: Can this process be scaled for industrial production of API intermediates?
A: Yes, the process uses common solvents like ethanol and acetonitrile and operates at standard reflux temperatures (65-95°C), making it highly amenable to large-scale commercial manufacturing without requiring specialized high-pressure equipment.
Partnering with NINGBO INNO PHARMCHEM: Your Reliable Spiro-Heterocyclic Compound Supplier
At NINGBO INNO PHARMCHEM, we recognize the critical role that advanced synthetic methodologies play in accelerating drug discovery and development. Our team of expert process chemists possesses extensive experience scaling diverse pathways from 100 kgs to 100 MT/annual commercial production, ensuring that the promising potential of technologies like the one described in CN102584860A is fully realized in a GMP-compliant environment. We are committed to delivering high-purity spiro-heterocyclic intermediates that meet stringent purity specifications, supported by our rigorous QC labs equipped with state-of-the-art analytical instrumentation. Our capability to handle complex multicomponent reactions allows us to offer flexible manufacturing solutions tailored to the specific needs of your pipeline, whether for early-stage clinical trials or late-stage commercial supply.
We invite you to engage with our technical procurement team to discuss how we can optimize this synthesis route for your specific project requirements. By leveraging our expertise, you can obtain a Customized Cost-Saving Analysis that quantifies the economic benefits of switching to this efficient manufacturing process. We encourage you to request specific COA data and route feasibility assessments to verify the quality and scalability of our offerings. Partnering with us ensures access to a reliable supply of high-quality pharmaceutical intermediates, empowering your organization to bring life-saving therapies to market faster and more efficiently.
