Advanced Synthesis of 1,2,3-O-triacetyl-5-deoxy-beta-D-ribose for Commercial API Production
Advanced Synthesis of 1,2,3-O-triacetyl-5-deoxy-beta-D-ribose for Commercial API Production
The pharmaceutical industry continuously seeks robust and scalable synthetic routes for critical intermediates, particularly those serving high-value oncology drugs like Capecitabine. Patent CN102260298A introduces a transformative methodology for synthesizing 1,2,3-O-triacetyl-5-deoxy-beta-D-ribose, a pivotal building block in the production of this widely prescribed antitumor agent. This innovation addresses long-standing challenges in yield optimization and impurity control by utilizing inosine as a cost-effective starting material. The disclosed process leverages a strategic three-step sequence involving selective halogenation, acetylation, and reduction, achieving a total yield exceeding 65% with product purity surpassing 99.5%. For R&D directors and procurement specialists, this represents a significant opportunity to enhance supply chain resilience while maintaining stringent quality standards required for GMP manufacturing environments. 
The Limitations of Conventional Methods vs. The Novel Approach
The Limitations of Conventional Methods
Historically, the synthesis of 1,2,3-O-triacetyl-5-deoxy-beta-D-ribose has relied on pathways starting from D-ribose or iodine-mediated transformations of inosine, both of which present substantial industrial drawbacks. Traditional D-ribose routes often involve lengthy synthetic sequences where intermediates exist as difficult-to-purify oils, resulting in low total recovery rates typically ranging between 25% and 30%. Furthermore, the final acetylation step in these conventional methods frequently suffers from poor stereocontrol, yielding unfavorable beta/alpha ratios that complicate downstream processing. Alternatively, earlier inosine-based methods utilizing iodine reagents and triphenylphosphine generate significant amounts of hazardous waste, including iodine-containing wastewater and triphenylphosphine oxide, which impose heavy environmental compliance costs and operational burdens on manufacturing facilities. These inefficiencies collectively drive up the production cost of the intermediate, which can account for a substantial portion of the final API expense.
The Novel Approach
The patented methodology offers a decisive break from these inefficiencies by employing a streamlined three-step protocol that prioritizes selectivity and waste reduction. By initiating the synthesis with inosine and utilizing phosphorus halides such as phosphorus tribromide or phosphorus oxychloride, the process achieves highly selective halogenation at the 5'-position without the need for expensive iodine reagents. This strategic shift not only lowers raw material costs but also simplifies the waste treatment profile by eliminating halogenated organic waste streams associated with iodine chemistry. The subsequent acetylation step utilizes a boron trifluoride catalytic system that dramatically improves the beta/alpha stereoselectivity to a ratio of 95:5, ensuring that the majority of the product is the desired isomer. Finally, the use of catalytic hydrogenolysis for the dehalogenation step provides a clean and high-yielding conversion to the target molecule, making the entire process highly suitable for large-scale industrial application. 
Mechanistic Insights into Selective Halogenation and Acetylation
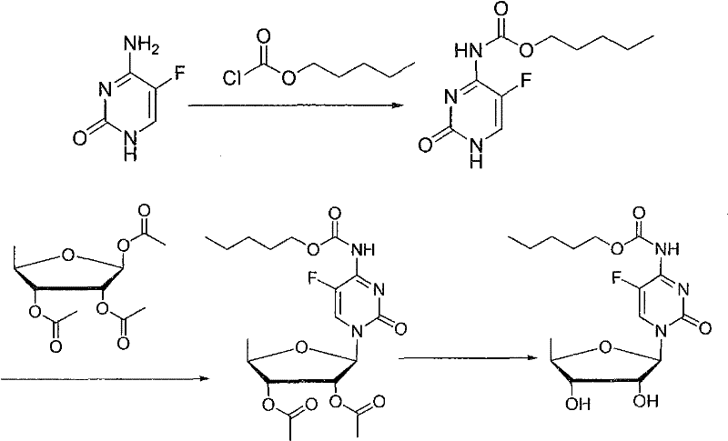
The core technical advancement of this synthesis lies in the precise control of reaction conditions during the halogenation and acetylation phases. In the initial step, the use of an aprotic polar solvent like dimethyl sulfoxide (DMSO) combined with an acid binding agent such as sodium tripolyphosphate creates an environment that facilitates the selective substitution of the 5'-hydroxyl group. This selectivity is crucial because it prevents unwanted side reactions on the sugar ring or the purine base, thereby preserving the structural integrity of the inosine scaffold. The choice of phosphorus halides over iodine reagents is mechanistically significant, as it allows for a cleaner nucleophilic substitution that generates fewer byproducts. This high level of chemical selectivity directly translates to simplified work-up procedures and higher crude purity, reducing the load on downstream purification units and minimizing product loss during isolation.
Furthermore, the acetylation mechanism is optimized through the use of Lewis acid catalysis, specifically boron trifluoride, which plays a critical role in stereochemical control. During the acetylation of the halogenated intermediate, the catalyst promotes the formation of the beta-anomer over the alpha-anomer, achieving a ratio of 95:5 compared to the lower ratios seen in non-catalyzed or acid-catalyzed conventional methods. This stereocontrol is vital because the beta-isomer is the biologically active configuration required for the subsequent coupling with 5-fluorocytosine in Capecitabine synthesis. By maximizing the formation of the correct isomer early in the sequence, the process reduces the need for costly chromatographic separations or recrystallizations later in the pipeline. The final hydrogenolysis step utilizes palladium carbon or Raney nickel to cleave the carbon-halogen bond, a reaction that proceeds with high efficiency and leaves the acetyl protecting groups intact, ensuring the final product meets the rigorous purity specifications of greater than 99.5%.
How to Synthesize 1,2,3-O-triacetyl-5-deoxy-beta-D-ribose Efficiently
Implementing this synthesis route requires careful attention to reaction parameters, particularly temperature control and reagent stoichiometry, to maximize the benefits outlined in the patent. The process begins with the halogenation of inosine in a polar aprotic solvent, followed by a direct acetylation step that leverages Lewis acid catalysis for stereocontrol. The final reduction step is conducted under atmospheric hydrogen pressure using standard heterogeneous catalysts, making it compatible with existing reactor infrastructure in most fine chemical plants. Detailed standard operating procedures regarding specific molar ratios, addition rates, and crystallization solvents are essential for replicating the high yields reported in the patent examples.
- Perform selective halogenation on inosine using phosphorus tribromide or phosphorus oxychloride in an aprotic polar solvent with an acid binding agent.
- Execute acetylation on the halogenated intermediate using acetic anhydride and a Lewis acid catalyst like boron trifluoride to ensure high beta/alpha ratio.
- Conduct catalytic hydrogenolysis using palladium carbon or Raney Ni to remove the halogen group and yield the final triacetyl-deoxy-ribose product.
Commercial Advantages for Procurement and Supply Chain Teams
For procurement managers and supply chain heads, the adoption of this patented synthesis route offers compelling economic and operational advantages that extend beyond simple yield improvements. The elimination of expensive iodine reagents and triphenylphosphine significantly reduces the raw material cost base, while the simplified waste profile lowers the operational expenditure associated with environmental compliance and waste disposal. The use of inosine as a starting material ensures a stable and abundant supply chain, as it is a widely available fermentation product, unlike some specialized sugar derivatives that may face supply volatility. Additionally, the high stereoselectivity of the process reduces the volume of material that needs to be processed to obtain the required amount of the correct isomer, effectively increasing the throughput of existing manufacturing assets without the need for capital expansion. These factors combine to create a more resilient and cost-effective supply chain for this critical pharmaceutical intermediate.
- Cost Reduction in Manufacturing: The substitution of high-cost iodine and triphenylphosphine reagents with more economical phosphorus halides directly lowers the variable cost of production. Furthermore, the high yield of the hydrogenolysis step and the improved beta/alpha ratio minimize the loss of valuable intermediates, leading to substantial overall cost savings per kilogram of finished product. The reduction in waste treatment complexity also contributes to lower overhead costs, making the process financially attractive for large-scale manufacturing operations seeking to optimize their margin structures.
- Enhanced Supply Chain Reliability: By relying on inosine, a commodity chemical with a robust global supply network, manufacturers can mitigate the risks associated with sourcing specialized or scarce starting materials. The simplicity of the three-step sequence also reduces the number of potential failure points in the production line, ensuring more consistent delivery schedules and reducing the likelihood of batch failures that could disrupt downstream API synthesis. This reliability is crucial for maintaining the continuity of supply for essential oncology medications where production interruptions can have significant clinical implications.
- Scalability and Environmental Compliance: The process is designed with industrial scalability in mind, utilizing standard reaction conditions and catalysts that are easily managed in large-scale reactors. The avoidance of iodine-containing waste streams simplifies the environmental permitting process and reduces the burden on wastewater treatment facilities, aligning with increasingly stringent global environmental regulations. This compliance advantage ensures long-term operational viability and reduces the risk of regulatory shutdowns, providing a sustainable foundation for commercial production.
Frequently Asked Questions (FAQ)
The following questions address common technical and commercial inquiries regarding the synthesis and supply of 1,2,3-O-triacetyl-5-deoxy-beta-D-ribose. These answers are derived from the technical specifications and advantageous effects described in the patent literature, providing clarity on the process capabilities and quality standards. Understanding these details is essential for partners evaluating the feasibility of integrating this intermediate into their own supply chains or development pipelines.
Q: Why is the inosine-based route superior to D-ribose starting materials?
A: The inosine-based route avoids the complex purification of oily intermediates associated with D-ribose and significantly improves the total yield and beta/alpha stereoselectivity, leading to better overall process economics.
Q: How does this method reduce environmental impact compared to iodine-based methods?
A: By replacing expensive iodine reagents and triphenylphosphine with phosphorus halides, the process eliminates difficult-to-treat iodine-containing wastewater and reduces the burden of phosphine oxide waste removal.
Q: What is the expected purity level for the final product using this patent method?
A: The patented method specifies a product purity of greater than 99.5%, achieved through optimized reaction conditions and crystallization steps that effectively remove impurities and isomers.
Partnering with NINGBO INNO PHARMCHEM: Your Reliable 1,2,3-O-triacetyl-5-deoxy-beta-D-ribose Supplier
At NINGBO INNO PHARMCHEM, we recognize the critical role that high-quality intermediates play in the successful development and commercialization of life-saving medications. Our technical team possesses extensive experience scaling diverse pathways from 100 kgs to 100 MT/annual commercial production, ensuring that the transition from laboratory innovation to industrial reality is seamless and efficient. We are committed to delivering products that meet stringent purity specifications through our rigorous QC labs, which employ advanced analytical techniques to verify every batch against the highest industry standards. Our capability to implement complex synthetic routes, such as the halogenation and stereoselective acetylation processes described in CN102260298A, positions us as a strategic partner for pharmaceutical companies seeking to optimize their supply chains.
We invite you to collaborate with us to explore how this advanced synthesis route can benefit your specific project requirements. Our technical procurement team is ready to provide a Customized Cost-Saving Analysis tailored to your volume needs, demonstrating the tangible economic benefits of switching to this more efficient manufacturing method. Please contact us to request specific COA data and route feasibility assessments, and let us help you secure a reliable supply of high-purity 1,2,3-O-triacetyl-5-deoxy-beta-D-ribose for your upcoming production campaigns.
Engineering Bottleneck?
Can't scale up this synthesis? Upload your target structure or CAS, and our CDMO team will evaluate the industrial feasibility within 24 hours. Request Evaluation →
