Advanced Manufacturing of Isoxazolidinedione Intermediates for Diabetes Therapeutics
Advanced Manufacturing of Isoxazolidinedione Intermediates for Diabetes Therapeutics
The pharmaceutical industry constantly seeks robust, scalable, and environmentally sustainable pathways for producing complex active pharmaceutical ingredients (APIs) and their precursors. Patent CN1130361C presents a groundbreaking methodology for the synthesis of isoxazolidinedione compounds, specifically designated as formula [11], which serve as potent therapeutic agents for the treatment of diabetes. This patent outlines a comprehensive industrial process that addresses critical bottlenecks found in prior art, such as low yields, hazardous reagent usage, and impractical solvent systems. By leveraging L-aspartic acid β-methyl ester as a chiral starting material, the invention establishes a reliable route to high-purity intermediates that are essential for the commercial viability of next-generation antidiabetic medications. The technical breakthroughs detailed herein offer significant value to R&D directors and procurement specialists looking to optimize their supply chains for pharmaceutical intermediates.
![Chemical structure of the target isoxazolidinedione compound [11] used for diabetes treatment](/insights/img/isoxazolidinedione-synthesis-pharma-supplier-20260308094841-01.webp)
The core innovation lies in the strategic redesign of the synthetic pathway to maximize atom economy and operational safety. Traditional methods often rely on volatile organic compounds and highly reactive, dangerous reducing agents that complicate scale-up and increase regulatory burdens. In contrast, the disclosed method introduces aqueous-phase reactions and milder catalytic systems that maintain high stereochemical integrity while drastically simplifying downstream processing. For stakeholders in the fine chemical sector, understanding these mechanistic shifts is crucial for evaluating the long-term cost-effectiveness and supply security of this critical API intermediate. The following analysis dissects the technical advantages and commercial implications of this novel manufacturing protocol.
The Limitations of Conventional Methods vs. The Novel Approach
The Limitations of Conventional Methods
Prior art methodologies, such as those referenced in WO 95/18125 and the Journal of Medicinal Chemistry, suffer from severe practical limitations when translated from laboratory benchtop to industrial reactor scales. A primary concern is the reliance on dichloromethane (DCM) as a primary solvent for acylation steps; while effective in small batches, the large-scale use of DCM is increasingly restricted due to stringent environmental regulations regarding halogenated solvent emissions and worker safety. Furthermore, conventional routes frequently employ lithium aluminum hydride (LiAlH4) for reduction steps, a reagent known for its extreme flammability and pyrophoric nature, which necessitates specialized equipment and rigorous safety protocols that drive up capital expenditure. Additionally, the use of phosphorus oxychloride (POCl3) for cyclization introduces significant corrosion risks and toxic waste streams, complicating effluent treatment and increasing the overall environmental footprint of the manufacturing process.
The Novel Approach
The novel approach described in CN1130361C systematically eliminates these hazards through intelligent solvent and reagent selection. Instead of DCM, the initial acylation is successfully conducted in a water-based solvent system using inexpensive inorganic bases like sodium carbonate or potassium carbonate, achieving yields exceeding 92 percent. The dangerous LiAlH4 reduction is replaced by a much safer sodium borohydride (NaBH4) system activated by methanol in tetrahydrofuran, which not only mitigates fire risks but also improves the yield of the key oxazolyl alcohol intermediate to between 85 and 95 percent. Moreover, the corrosive POCl3 is substituted with p-toluenesulfonic acid monohydrate, allowing for a streamlined one-pot cyclization that avoids the isolation of unstable intermediates. These changes collectively result in a process that is not only safer and more environmentally compliant but also delivers substantially higher overall yields, making it an ideal candidate for commercial scale-up of complex pharmaceutical intermediates.
Mechanistic Insights into Aqueous Acylation and One-Pot Cyclization
The mechanistic elegance of this synthesis begins with the acylation of L-aspartic acid β-methyl ester. In traditional organic synthesis, protecting group manipulation often requires anhydrous conditions to prevent hydrolysis. However, this patent demonstrates that the reaction between the amine salt and the acyl chloride can proceed efficiently in an aqueous medium. The use of an inorganic base facilitates the deprotonation of the amine at the interface or within the micellar environment, allowing the nucleophilic attack on the acyl chloride to occur with high selectivity. This biphasic or aqueous system inherently suppresses side reactions that might occur in homogeneous organic solvents, leading to the observed yield increase of over 10 percent compared to triethylamine-mediated processes in DCM. The ability to perform this step in water significantly reduces the cost of goods sold (COGS) by eliminating the need for expensive drying agents and solvent recovery systems associated with chlorinated hydrocarbons.
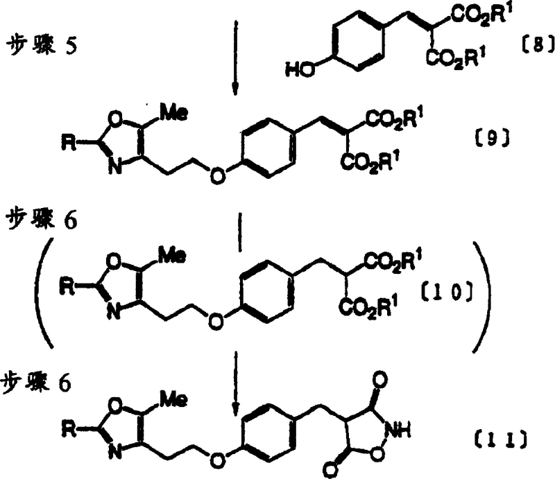
Following acylation, the process employs a sophisticated one-pot strategy for the formation of the oxazole ring. Rather than isolating the acetylated intermediate, which is prone to decomposition during purification, the reaction mixture is treated directly with acetic anhydride and a catalytic amount of 4-dimethylaminopyridine (DMAP) in toluene. Subsequent addition of p-toluenesulfonic acid induces cyclization and decarboxylation in a single vessel. This telescoping of steps minimizes material loss and handling time. The final transformation involves the coupling of the mesylate derivative with a pre-formed benzylidene malonate, followed by reduction and cyclization with hydroxylamine. By pre-synthesizing the benzylidene malonate component, the process avoids the instability issues associated with generating it in situ, thereby boosting the yield of the coupling step from a poor 65 percent to a robust 80 to 85 percent. This level of control over reaction kinetics and intermediate stability is vital for ensuring batch-to-batch consistency in GMP manufacturing.
![Complete reaction scheme showing the synthesis of isoxazolidinedione compound [11] from L-aspartic acid derivatives](/insights/img/isoxazolidinedione-synthesis-pharma-supplier-20260308094841-023.webp)
How to Synthesize Isoxazolidinedione Compound Efficiently
The synthesis of this high-value pharmaceutical intermediate requires precise control over reaction parameters to maximize the benefits of the novel pathway. The process begins with the careful preparation of the aqueous reaction mixture, ensuring that the pH is maintained within the optimal range to facilitate acylation without hydrolyzing the ester moiety. Following the workup, the transition to the organic phase for cyclization must be managed to prevent the accumulation of exothermic energy, particularly during the addition of acetic anhydride. The reduction step using sodium borohydride demands controlled addition rates of the activator to manage hydrogen evolution safely. Finally, the coupling and final ring closure require strict temperature monitoring to ensure the formation of the desired isoxazolidinedione core without generating regio-isomers. Detailed standard operating procedures for these critical stages are outlined below to guide process engineers in implementing this technology.
- React L-aspartic acid beta-methyl ester with an acyl chloride in water using an inorganic base to form the aspartic acid ester derivative.
- Perform a one-pot acetylation and cyclization in toluene using acetic anhydride and p-toluenesulfonic acid to generate the oxazolyl acetate.
- Reduce the ester to an alcohol using sodium borohydride, convert to a mesylate, and couple with a benzylidene malonate derivative followed by cyclization with hydroxylamine.
Commercial Advantages for Procurement and Supply Chain Teams
For procurement managers and supply chain directors, the adoption of this patented methodology offers transformative benefits that extend beyond simple yield improvements. The shift away from regulated solvents like dichloromethane and hazardous reagents like lithium aluminum hydride fundamentally alters the risk profile of the supply chain. By utilizing water and toluene, manufacturers can source raw materials from a broader, more competitive supplier base, reducing dependency on specialty chemical vendors who control restricted substances. This diversification enhances supply continuity and mitigates the risk of production stoppages due to regulatory audits or transportation restrictions on dangerous goods. Furthermore, the simplified waste stream, devoid of heavy metals and halogenated byproducts, significantly lowers the cost of environmental compliance and waste disposal, contributing to a leaner and more sustainable operation.
- Cost Reduction in Manufacturing: The elimination of expensive and hazardous reagents directly translates to substantial cost savings. Replacing lithium aluminum hydride with sodium borohydride reduces raw material costs, while the switch from dichloromethane to water eliminates the high energy costs associated with solvent recovery and distillation of chlorinated hydrocarbons. Additionally, the improved yields across multiple steps mean that less starting material is required to produce the same amount of final product, effectively lowering the unit cost of the API intermediate. The one-pot cyclization strategy further reduces operational costs by minimizing labor hours and equipment usage time, as fewer isolation and purification steps are required.
- Enhanced Supply Chain Reliability: The use of commodity chemicals such as sodium carbonate, toluene, and methanol ensures a stable and resilient supply chain. Unlike specialized catalysts or restricted solvents that may face supply shortages or geopolitical trade barriers, these bulk chemicals are readily available globally. This availability reduces lead times for raw material procurement and allows for more accurate production planning. The robustness of the aqueous acylation step also means that the process is less sensitive to minor variations in raw material quality, further stabilizing the supply of the critical oxazolyl alcohol intermediate needed for downstream drug synthesis.
- Scalability and Environmental Compliance: The process is inherently designed for scalability, with safety features built into the chemistry itself. The absence of pyrophoric reagents allows for the use of standard stainless steel reactors without the need for specialized inert atmosphere capabilities required for LiAlH4. This facilitates rapid scale-up from pilot plant to commercial production volumes. From an environmental perspective, the reduction in toxic waste and the use of greener solvents align with modern ESG (Environmental, Social, and Governance) goals, making the manufacturing process more attractive to investors and regulatory bodies. This compliance advantage future-proofs the production facility against tightening environmental regulations.
Frequently Asked Questions (FAQ)
The following questions address common technical and commercial inquiries regarding the implementation of this synthesis route. Understanding these details is essential for technical teams evaluating the feasibility of integrating this process into their existing manufacturing portfolios. The answers provided are derived directly from the experimental data and comparative analysis presented in the patent documentation, ensuring accuracy and relevance for decision-makers.
Q: How does this process improve safety compared to conventional methods?
A: The process replaces hazardous reagents like lithium aluminum hydride and phosphorus oxychloride with safer alternatives such as sodium borohydride and p-toluenesulfonic acid, significantly reducing industrial risk.
Q: What are the yield improvements in the key intermediate steps?
A: By optimizing solvent systems and reaction conditions, the yield of the oxazolyl alcohol intermediate is improved to 85-95%, and the final cyclization step achieves yields around 80%, drastically reducing waste.
Q: Is this method suitable for large-scale commercial production?
A: Yes, the substitution of dichloromethane with water and toluene, along with the use of stable inorganic bases, makes the process highly scalable and compliant with environmental regulations.
Partnering with NINGBO INNO PHARMCHEM: Your Reliable Isoxazolidinedione Supplier
The technical advancements detailed in CN1130361C represent a significant leap forward in the manufacturing of diabetes therapeutics, offering a pathway that is safer, cleaner, and more economically viable than previous methods. At NINGBO INNO PHARMCHEM, we possess the extensive experience scaling diverse pathways from 100 kgs to 100 MT/annual commercial production required to bring such sophisticated chemistry to life. Our state-of-the-art facilities are equipped to handle the specific solvent systems and reaction conditions described, ensuring that every batch meets stringent purity specifications. With our rigorous QC labs and commitment to process excellence, we are uniquely positioned to be your trusted partner in securing a stable supply of this critical pharmaceutical intermediate.
We invite you to engage with our technical procurement team to discuss how this optimized synthesis route can benefit your specific project requirements. By partnering with us, you gain access to a Customized Cost-Saving Analysis tailored to your volume needs, demonstrating exactly how this greener chemistry can improve your bottom line. We encourage you to request specific COA data and route feasibility assessments to validate the quality and consistency of our production capabilities. Let us help you accelerate your development timeline with a reliable, high-quality supply of isoxazolidinedione derivatives.
