Mastering Selective Phenol Oxidation: A Metal-Free Route for High-Purity Pharmaceutical Intermediates
Mastering Selective Phenol Oxidation: A Metal-Free Route for High-Purity Pharmaceutical Intermediates
The landscape of modern organic synthesis is constantly evolving, driven by the relentless demand for more efficient, sustainable, and selective methodologies to construct complex molecular architectures. In this context, the patent CN112430244A, titled "Method for controlling selectivity of phenol oxidation dearomatization," represents a significant technological leap forward for the production of high-value fine chemical intermediates. This intellectual property discloses a novel strategy for converting readily available aromatic phenols into three-dimensional spirocyclic structures through an oxidative dearomatization process. Unlike traditional approaches that often suffer from poor regioselectivity and harsh reaction conditions, this invention leverages the unique electronic properties of a para-positioned silicon-containing group to dictate the outcome of the oxidation. By utilizing iodobenzene diacetate (PhI(OAc)2) as a metal-free oxidant, the process achieves exceptional selectivity, yielding a single dearomatized product with high purity. For R&D directors and process chemists, this methodology offers a robust pathway to access complex scaffolds that are otherwise difficult to synthesize, while simultaneously addressing the growing regulatory pressure to eliminate heavy metal residues from pharmaceutical supply chains.
The Limitations of Conventional Methods vs. The Novel Approach
The Limitations of Conventional Methods
Historically, the oxidative dearomatization of phenols has been a cornerstone reaction for generating structural complexity from simple aromatic precursors. However, conventional methods have been plagued by significant limitations that hinder their widespread adoption in large-scale industrial settings. Traditional protocols frequently rely on stoichiometric amounts of toxic heavy metal oxidants or require the use of expensive transition metal catalysts, such as palladium or copper complexes, to facilitate the transformation. These metal-catalyzed processes often necessitate extreme reaction conditions, including high temperatures ranging from 400°C to 500°C, which not only consume vast amounts of energy but also pose serious safety risks in a manufacturing environment. Furthermore, the lack of inherent selectivity in many of these older methods frequently results in the formation of complex mixtures of regioisomers, including ortho-quinones and para-quinones, alongside the desired spirocyclic products. This lack of selectivity creates a nightmare for downstream processing, requiring extensive and costly purification steps to isolate the target molecule, thereby drastically reducing the overall atom economy and increasing the environmental footprint of the synthesis.
The Novel Approach
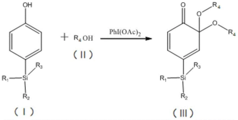
In stark contrast to these legacy technologies, the method described in patent CN112430244A introduces a paradigm shift by employing a hypervalent iodine(III) reagent, specifically iodobenzene diacetate, in conjunction with a strategically designed substrate. The core innovation lies in the use of a phenol substrate bearing a silyl group at the para-position. This silicon moiety is not merely a passive spectator; it actively participates in the reaction mechanism to control the selectivity of the oxidation. As illustrated in the general reaction scheme below, the interaction between the phenol and the alcohol nucleophile (Compound II) in the presence of the oxidant leads exclusively to the formation of the spirocyclic dienone (Compound III).
This approach operates under remarkably mild conditions, typically between -50°C and 50°C, with optimal results often achieved at 0°C. The elimination of transition metals means that the reaction is inherently greener and safer, avoiding the generation of hazardous metal waste streams. Moreover, the silicon-directed selectivity ensures that the reaction produces a single, well-defined product, effectively bypassing the formation of unwanted isomers. This level of control transforms a historically unpredictable transformation into a reliable, scalable process suitable for the rigorous demands of commercial pharmaceutical intermediate manufacturing.
Mechanistic Insights into Silicon-Directed Oxidative Dearomatization
To fully appreciate the utility of this technology for process development, one must delve into the mechanistic nuances that govern the reaction's success. The oxidative dearomatization initiated by PhI(OAc)2 typically involves the generation of a reactive oxenium ion or a radical cation intermediate on the phenolic ring. In the absence of a directing group, this intermediate is susceptible to nucleophilic attack at multiple positions, leading to a mixture of products. However, the presence of the trimethylsilyl (or other alkyl/aryl silyl) group at the para-position exerts a profound electronic influence known as the beta-silicon effect. This effect stabilizes the developing positive charge at the ipso-position during the oxidation event, effectively lowering the activation energy for the formation of the spirocyclic center at that specific carbon atom. Consequently, the nucleophile (such as methanol or water) attacks exclusively at the silicon-bearing carbon, displacing the silyl group or forming a stable ketal linkage depending on the specific conditions, although in this specific patent embodiment, the silicon group remains attached to the ring in the final product structure shown in Formula III, indicating the spiro-center is formed adjacent to or involving the silicon-substituted carbon depending on the exact migration pathway, but critically, the silicon ensures only one pathway is energetically favorable.
The practical implications of this mechanism are vividly demonstrated in the specific examples provided within the patent data. For instance, when Compound (A), a para-trimethylsilyl phenol, is reacted with methanol in the presence of PhI(OAc)2 at 0°C, the reaction proceeds smoothly to yield Compound (B), a dimethyl ketal spiro-dienone, in an impressive 75% isolated yield. This specific transformation highlights the compatibility of the method with alcoholic nucleophiles to generate protected ketone functionalities directly.
Furthermore, the versatility of the system allows for the modulation of the nucleophile. By switching from methanol to a mixture of water and acetone, the same starting material (A) can be converted into the corresponding hydrate or hemiketal derivative (Compound C) with a respectable 62% yield. This tunability is crucial for R&D teams who may need to access different oxidation states or functional handles on the cyclohexadienone core for subsequent derivatization. The ability to control the outcome simply by changing the solvent or nucleophile, while maintaining the high selectivity imparted by the silicon group, underscores the robustness of this catalytic-free protocol.
How to Synthesize Silicon-Containing Spirocyclic Dienones Efficiently
The implementation of this oxidative dearomatization strategy in a laboratory or pilot plant setting is straightforward, relying on standard organic synthesis techniques without the need for specialized equipment like high-pressure reactors or gloveboxes. The process begins with the precise preparation of the reaction mixture, where the para-silyl phenol substrate is dissolved in the chosen nucleophilic solvent, such as methanol or an acetone-water mixture. Temperature control is paramount; the mixture is cooled to 0°C using an ice-water bath to manage the exothermic nature of the oxidation and to prevent side reactions. The oxidant, iodobenzene diacetate, is then added portion-wise or as a solution to maintain a steady reaction rate. Following a short reaction time, typically around 15 minutes as indicated in the examples, the reaction is quenched and worked up using standard extraction and chromatography techniques. For a detailed, step-by-step breakdown of the standardized synthesis protocol including exact molar ratios and workup procedures, please refer to the structured guide below.
- Prepare the reaction mixture by dissolving the para-silyl phenol substrate and the alcohol nucleophile (such as methanol) in a suitable solvent system, then cool the mixture to a temperature range between -50°C and 0°C.
- Slowly add the oxidant, iodobenzene diacetate (PhI(OAc)2), to the cooled reaction mixture while maintaining strict temperature control to ensure selective oxidation without over-oxidation.
- Monitor the reaction progress via TLC, and upon completion, perform standard workup procedures including extraction, filtration, and column chromatography to isolate the pure spirocyclic product.
Commercial Advantages for Procurement and Supply Chain Teams
For procurement managers and supply chain executives, the adoption of this metal-free oxidative dearomatization technology offers tangible benefits that extend far beyond the laboratory bench. The primary advantage lies in the drastic simplification of the supply chain and the associated cost structures. By eliminating the requirement for precious metal catalysts such as palladium, platinum, or rhodium, manufacturers can avoid the volatility of the precious metals market and the high costs associated with sourcing these materials. Additionally, the removal of heavy metals from the process flow negates the need for expensive scavenging resins or complex purification steps designed to meet stringent residual metal limits set by regulatory bodies like the FDA or EMA. This streamlined workflow translates directly into reduced manufacturing costs and shorter production cycles.
- Cost Reduction in Manufacturing: The economic impact of switching to this hypervalent iodine-mediated process is substantial. Since the oxidant (PhI(OAc)2) is a commodity chemical produced on a large scale, its cost is significantly lower and more stable compared to specialized transition metal catalysts. Furthermore, the high selectivity of the reaction means that less raw material is wasted on the formation of byproducts, improving the overall yield and reducing the cost of goods sold (COGS). The simplified workup procedure, which avoids metal scavenging, further reduces the consumption of auxiliary materials and labor hours, contributing to a leaner and more cost-effective manufacturing operation.
- Enhanced Supply Chain Reliability: Reliance on a single-source supplier for a proprietary metal catalyst can introduce significant risk into the supply chain. In contrast, the reagents required for this process—para-silyl phenols, alcohols, and iodobenzene diacetate—are widely available from multiple global chemical suppliers. This commoditization of raw materials ensures a robust and resilient supply chain that is less susceptible to disruptions. The mild reaction conditions also mean that the process can be executed in a wider range of manufacturing facilities without the need for specialized high-temperature or high-pressure infrastructure, thereby expanding the pool of potential contract manufacturing organizations (CMOs) capable of producing these intermediates.
- Scalability and Environmental Compliance: As the industry moves towards greener chemistry principles, this method stands out for its environmental profile. The absence of toxic heavy metals simplifies waste treatment and disposal, reducing the environmental compliance burden on the manufacturing site. The reaction operates at near-ambient temperatures, which significantly lowers energy consumption compared to thermal processes requiring hundreds of degrees. These factors combined make the process highly scalable, allowing for a seamless transition from kilogram-scale development batches to multi-ton commercial production without the engineering bottlenecks often associated with exothermic metal-catalyzed oxidations.
Frequently Asked Questions (FAQ)
Understanding the technical specifics of a new synthetic methodology is essential for making informed sourcing and development decisions. The following questions address common inquiries regarding the scope, safety, and applicability of this silicon-directed dearomatization technology. These answers are derived directly from the experimental data and technical disclosures found in the patent literature, providing a factual basis for evaluating the process feasibility.
Q: Why is the para-silyl group critical for selectivity in this oxidation reaction?
A: The para-silyl group acts as a powerful electronic director that stabilizes the cationic intermediate formed during oxidation. This stabilization prevents the formation of multiple regioisomers, ensuring that the reaction proceeds exclusively to form the desired spirocyclic dienone structure rather than a mixture of ortho- or para-quinone derivatives.
Q: What are the advantages of using PhI(OAc)2 over traditional metal catalysts for dearomatization?
A: Using iodobenzene diacetate eliminates the need for toxic and expensive transition metals like palladium or platinum. This results in a greener process that avoids heavy metal contamination in the final API intermediate, significantly simplifying downstream purification and reducing environmental compliance costs.
Q: Can this method be scaled for industrial production of fine chemicals?
A: Yes, the method operates under mild conditions (typically 0°C to 50°C) and utilizes commercially available reagents. The absence of sensitive metal catalysts and the robustness of the hypervalent iodine oxidation make the process highly amenable to scale-up from laboratory grams to multi-ton commercial manufacturing.
Partnering with NINGBO INNO PHARMCHEM: Your Reliable Spirocyclic Dienone Supplier
The technological advancements detailed in patent CN112430244A highlight the immense potential of silicon-directed oxidative dearomatization for constructing complex molecular frameworks efficiently. At NINGBO INNO PHARMCHEM, we recognize the value of such innovative routes in accelerating drug discovery and process development. As a leading CDMO partner, we possess extensive experience scaling diverse pathways from 100 kgs to 100 MT/annual commercial production. Our state-of-the-art facilities are equipped to handle hypervalent iodine chemistry safely and efficiently, ensuring that your projects benefit from our stringent purity specifications and rigorous QC labs. We are committed to delivering high-quality intermediates that meet the exacting standards of the global pharmaceutical industry.
We invite you to explore how this metal-free technology can optimize your current synthetic routes. Whether you are looking to reduce costs, improve purity, or secure a more reliable supply of critical intermediates, our team is ready to assist. Please contact our technical procurement team to request a Customized Cost-Saving Analysis tailored to your specific project needs. We encourage you to reach out for specific COA data and route feasibility assessments to see firsthand how we can support your supply chain goals.
Engineering Bottleneck?
Can't scale up this synthesis? Upload your target structure or CAS, and our CDMO team will evaluate the industrial feasibility within 24 hours. Request Evaluation →
