Advanced Synthesis of 2,2-Bis[4-(2,4-Dinitrophenoxy)Phenyl]Propane for High-Performance Polyimides
The landscape of advanced electronic materials is constantly evolving, driven by the demand for polymers that can withstand extreme thermal and mechanical stress while maintaining superior electrical insulation properties. At the forefront of this innovation is the synthesis of specialized monomers, specifically 2,2-bis[4-(2,4-dinitrophenoxy)phenyl]propane, a pivotal precursor for high-performance aromatic polyimides. Patent CN101234974B, filed in 2011, introduces a groundbreaking preparation method that addresses long-standing challenges in the industrial production of this critical intermediate. By leveraging a sophisticated nucleophilic aromatic substitution strategy, this technology enables the creation of highly branched polyimide systems that meet the rigorous performance standards required for liquid crystal displays (LCDs) and aerospace applications. For R&D directors and procurement specialists alike, understanding the nuances of this patented route is essential for securing a reliable polyimide monomer supplier capable of delivering consistent quality at scale.
The significance of this chemical entity extends far beyond simple molecular construction; it represents a key building block for next-generation functional materials. Aromatic polyimides derived from this monomer exhibit exceptional resistance to nuclear radiation, organic solvents, and high temperatures, making them indispensable in the microelectronics and electrical sectors. The patent outlines a process that not only achieves high conversion rates but also prioritizes environmental sustainability through efficient solvent recovery systems. As the global market for display technologies and lightweight composite materials continues to expand, the ability to manufacture such complex intermediates with high purity and minimal waste becomes a distinct competitive advantage. This report delves deep into the technical merits and commercial viability of this synthesis, offering a comprehensive analysis for stakeholders looking to optimize their supply chains for electronic chemical manufacturing.
The Limitations of Conventional Methods vs. The Novel Approach
The Limitations of Conventional Methods
Historically, the synthesis of ether-linked aromatic compounds often relied on harsh reaction conditions that posed significant risks to both operational safety and product quality. Traditional methods frequently employed excessive temperatures and pressures, necessitating expensive, specialized reactor vessels capable of withstanding corrosive environments. Furthermore, many legacy processes utilized single-solvent systems that were difficult to separate from the final product, leading to extensive purification steps and substantial solvent loss. These inefficiencies resulted in higher production costs and a larger environmental footprint due to the generation of hazardous waste streams. Additionally, controlling the stoichiometry in older methods was often challenging, leading to the formation of unwanted by-products and oligomers that compromised the thermal stability of the final polyimide material. For procurement managers, these factors translated into volatile pricing and unreliable lead times for high-purity intermediates.
The Novel Approach
In stark contrast, the methodology described in patent CN101234974B introduces a refined approach that mitigates these historical drawbacks through intelligent process design. The core innovation lies in the use of a dual-solvent system combined with a specific salt-forming agent, which facilitates the reaction under much milder conditions. By operating at atmospheric pressure and utilizing a reflux setup with water separation, the process eliminates the need for high-pressure equipment, thereby reducing capital expenditure and maintenance costs. The strategic selection of solvents allows for easy recovery and recycling, directly addressing the issue of waste generation. Moreover, the precise control over the molar ratio of reactants ensures that the substitution reaction proceeds with high selectivity, minimizing the formation of impurities. This novel approach not only enhances the overall yield but also simplifies the downstream processing, making it an ideal candidate for cost reduction in electronic chemical manufacturing.
Mechanistic Insights into Nucleophilic Aromatic Substitution
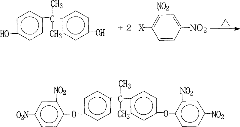
The chemical transformation at the heart of this process is a classic yet optimized nucleophilic aromatic substitution (SnAr) reaction. The mechanism involves the attack of the phenoxide anion, generated in situ from 2,2-bis(4-hydroxyphenyl)propane (Bisphenol A), onto the electron-deficient aromatic ring of the 2,4-dinitrohalobenzene. The presence of two strong electron-withdrawing nitro groups ortho and para to the halogen leaving group significantly activates the ring towards nucleophilic attack. The choice of the halogen (fluorine, chlorine, bromine, or iodine) influences the reaction kinetics, with fluorine often providing superior rates due to its high electronegativity, despite being a poorer leaving group in aliphatic systems. The salt-forming agent, such as potassium carbonate or sodium hydroxide, plays a critical role in deprotonating the phenolic hydroxyl groups, generating the reactive nucleophile necessary for the substitution to occur efficiently.
Furthermore, the solvent system acts as more than just a medium; it is an active participant in driving the equilibrium towards product formation. The mixture of a water-insoluble organic solvent (like toluene or dichlorobenzene) and a strongly polar aprotic solvent (such as DMF or NMP) creates a unique environment. The polar aprotic solvent solvates the cation of the salt, enhancing the nucleophilicity of the phenoxide anion, while the water-insoluble solvent facilitates azeotropic distillation. This allows for the continuous removal of water produced during the salt formation and reaction, preventing the hydrolysis of the reactants and shifting the equilibrium forward. This mechanistic understanding is crucial for ensuring batch-to-batch consistency and achieving the stringent purity specifications required for electronic grade materials.
![Reaction scheme showing the synthesis of 2,2-bis[4-(2,4-dinitrophenoxy)phenyl]propane via nucleophilic substitution](/insights/img/dinitrophenoxy-propane-synthesis-polyimide-supplier-20260314032233-01.png)
How to Synthesize 2,2-Bis[4-(2,4-Dinitrophenoxy)Phenyl]Propane Efficiently
Implementing this synthesis on an industrial scale requires careful attention to the specific parameters outlined in the patent to ensure optimal performance. The process begins with the precise charging of reactants, where the molar ratio of Bisphenol A to the dinitrohalobenzene is maintained between 1.0:2.0 and 1.0:2.2 to ensure complete conversion of the diol. The reaction mixture is then heated to a temperature range of 80°C to 200°C, depending on the specific boiling points of the chosen solvent system. The detailed standardized synthesis steps see the guide below, which breaks down the exact operational sequence for maximum efficiency and safety.
- Charge the reactor with 2,2-bis(4-hydroxyphenyl)propane and 2,4-dinitrohalobenzene in a molar ratio of 1.0: 2.0 to 2.2, along with a salt-forming agent.
- Add a mixed solvent system comprising a water-insoluble organic solvent and a strongly polar aprotic solvent, then heat to reflux between 80°C and 200°C.
- Maintain reflux with water separation for 6 to 18 hours, then concentrate, cool, precipitate with water, and filter to obtain the high-purity product.
Commercial Advantages for Procurement and Supply Chain Teams
For supply chain heads and procurement managers, the transition to this patented methodology offers tangible benefits that extend well beyond the laboratory bench. The primary advantage lies in the drastic simplification of the operational workflow, which directly correlates to reduced manufacturing overheads. By eliminating the need for high-pressure reactors and corrosive-resistant linings, facilities can utilize standard glass-lined or stainless steel equipment, significantly lowering capital investment barriers. Furthermore, the ability to recover and reuse the organic solvent mixture multiple times without significant loss of efficiency creates a closed-loop system that minimizes raw material consumption. This circular approach not only aligns with modern sustainability goals but also insulates the production process from volatility in solvent markets, ensuring more stable pricing structures for the final product.
- Cost Reduction in Manufacturing: The economic impact of this process is profound, primarily driven by the elimination of expensive transition metal catalysts and the reduction of waste disposal costs. Unlike methods that require heavy metal removal steps, this organic synthesis relies on inexpensive inorganic bases and readily available solvents. The high atom economy of the reaction means that a larger proportion of the starting materials end up in the final product, reducing the cost per kilogram of the active ingredient. Additionally, the simplified work-up procedure, which involves simple filtration and drying rather than complex chromatography or distillation, lowers labor and energy costs substantially. These factors combine to create a highly cost-competitive manufacturing route suitable for large-scale commercialization.
- Enhanced Supply Chain Reliability: From a logistics perspective, the reliance on commodity chemicals such as Bisphenol A and common nitro-halobenzenes ensures a robust and resilient supply chain. These raw materials are produced globally in massive quantities, reducing the risk of shortages that often plague specialty chemical markets. The stability of the reaction conditions also means that production schedules are less prone to disruptions caused by equipment failure or safety incidents. For buyers, this translates to shorter lead times for high-purity intermediates and a greater assurance of supply continuity, which is critical for maintaining uninterrupted production lines in the fast-paced electronics industry.
- Scalability and Environmental Compliance: Scaling this process from pilot plant to full commercial production is straightforward due to the absence of exothermic runaways or hazardous gas evolution. The reaction proceeds smoothly under reflux, allowing for easy temperature control even in large reactors. Moreover, the environmental profile of the process is exemplary, with minimal generation of hazardous waste and the potential for near-zero liquid discharge through solvent recycling. This ease of compliance with environmental regulations reduces the administrative burden on manufacturers and prevents costly fines or shutdowns, making it a sustainable choice for long-term production of complex polymer additives.
Frequently Asked Questions (FAQ)
The following questions address common technical and commercial inquiries regarding the production and application of this specialized intermediate. These answers are derived directly from the technical specifications and beneficial effects detailed in the patent documentation, providing clarity for potential partners and technical evaluators. Understanding these aspects is vital for assessing the feasibility of integrating this material into your specific formulation or manufacturing process.
Q: What are the primary applications of 2,2-bis[4-(2,4-dinitrophenoxy)phenyl]propane?
A: This compound serves as a critical intermediate for synthesizing aromatic polyvalent primary amines, which are essential monomers for producing high-performance aromatic polyimides used in LCDs and aerospace materials.
Q: How does this patent method improve upon conventional synthesis routes?
A: The method utilizes a recyclable dual-solvent system and operates under atmospheric pressure without corrosive byproducts, significantly simplifying equipment requirements and reducing environmental waste compared to traditional harsh conditions.
Q: What purity levels can be achieved with this process?
A: Experimental data from the patent indicates that the process consistently yields products with purity exceeding 99%, with specific examples demonstrating purity up to 99.4% and yields reaching 97.2%.
Partnering with NINGBO INNO PHARMCHEM: Your Reliable 2,2-Bis[4-(2,4-Dinitrophenoxy)Phenyl]Propane Supplier
At NINGBO INNO PHARMCHEM, we recognize the critical role that high-quality monomers play in the development of advanced polyimide materials. Our team possesses extensive experience scaling diverse pathways from 100 kgs to 100 MT/annual commercial production, ensuring that we can meet your volume requirements without compromising on quality. We adhere to stringent purity specifications and operate rigorous QC labs to guarantee that every batch of 2,2-bis[4-(2,4-dinitrophenoxy)phenyl]propane meets the exacting standards of the electronic and aerospace industries. Our commitment to technical excellence allows us to navigate the complexities of this synthesis, delivering a product that consistently performs in demanding applications.
We invite you to collaborate with us to optimize your supply chain and reduce your overall material costs. By engaging with our technical procurement team, you can request a Customized Cost-Saving Analysis tailored to your specific volume needs. We encourage you to reach out for specific COA data and route feasibility assessments to verify how our manufacturing capabilities align with your project goals. Let us be your partner in driving innovation through reliable chemistry and superior service.
Engineering Bottleneck?
Can't scale up this synthesis? Upload your target structure or CAS, and our CDMO team will evaluate the industrial feasibility within 24 hours. Request Evaluation →
