Industrial Synthesis of 2,2-Bis[4-(2,4-Dinitrophenoxy)Phenyl]Propane for High-Performance Polyimides
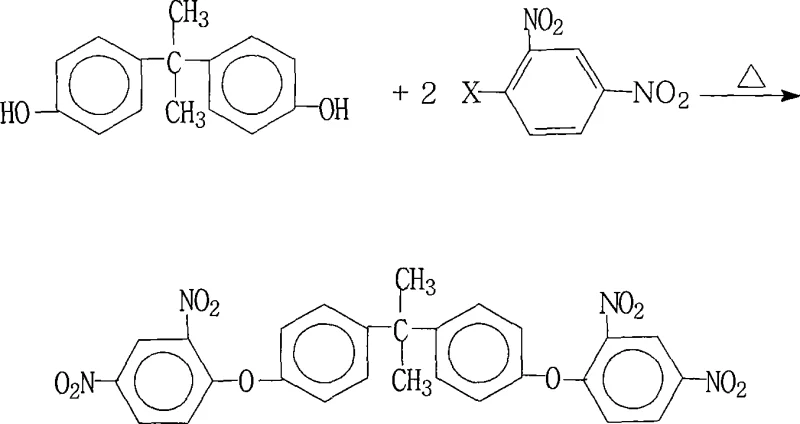
The rapid advancement of the optoelectronics and aerospace sectors has necessitated the development of advanced functional materials capable of withstanding extreme thermal and mechanical stress. Central to this innovation is the class of aromatic polyimides, renowned for their exceptional thermal stability, chemical resistance, and superior electrical insulation properties. A pivotal intermediate in the synthesis of these high-performance polymers is 2,2-bis[4-(2,4-dinitrophenoxy)phenyl]propane, a specialized aromatic compound that serves as a precursor to highly branched polyimide systems. The technical landscape for producing this critical intermediate has evolved significantly, with recent intellectual property, specifically patent CN101234974A, outlining a preparation method that addresses historical challenges regarding purity, yield, and environmental impact. This report provides a comprehensive technical and commercial analysis of this novel synthetic route, demonstrating its viability for global supply chains seeking reliable polyimide intermediate suppliers.
The significance of this molecule extends beyond simple structural utility; it is the foundational building block for next-generation liquid crystal display (LCD) materials and high-temperature resistant coatings. Traditional synthetic pathways often struggled with incomplete reactions, difficult purification processes, and the generation of hazardous waste, creating bottlenecks for procurement managers and R&D directors alike. The methodology disclosed in the referenced patent introduces a refined nucleophilic aromatic substitution strategy that leverages optimized molar ratios and a sophisticated dual-solvent system. By strictly controlling the reaction parameters, including temperature ranges between 80°C and 200°C and precise reactant stoichiometry, the process achieves a level of operational efficiency that translates directly into commercial value. For stakeholders in the electronic chemical manufacturing sector, understanding the nuances of this synthesis is paramount for securing a stable supply of high-purity aromatic monomers.
The Limitations of Conventional Methods vs. The Novel Approach
The Limitations of Conventional Methods
Historical approaches to synthesizing complex diphenyl ether derivatives often relied on single-solvent systems or harsh reaction conditions that compromised both safety and economic efficiency. Conventional methods frequently utilized excessive amounts of polar aprotic solvents without effective water removal mechanisms, leading to equilibrium limitations that capped reaction yields and necessitated energy-intensive purification steps. Furthermore, the use of corrosive catalysts or extreme temperatures in older protocols posed significant risks to equipment integrity, resulting in higher maintenance costs and potential supply chain disruptions due to reactor downtime. The inability to effectively recycle solvents in these traditional processes also contributed to substantial environmental liabilities, conflicting with modern green chemistry mandates. Additionally, variability in product purity was a common issue, often requiring multiple recrystallization cycles that further eroded overall process mass intensity and increased the cost of goods sold. These inefficiencies created a pressing need for a more robust, scalable, and environmentally benign synthetic strategy.
The Novel Approach
The innovative method described in patent CN101234974A overcomes these deficiencies through a meticulously engineered reaction environment that prioritizes thermodynamic driving forces and operational simplicity. By employing a mixed solvent system consisting of a water-insoluble organic solvent, such as toluene or xylene, combined with a strongly polar aprotic solvent like N,N-dimethylformamide (DMF) or N-methyl-2-pyrrolidone (NMP), the process facilitates continuous azeotropic removal of water generated during the reaction. This strategic design shifts the chemical equilibrium decisively towards product formation, enabling yields that consistently exceed industry standards without the need for exotic catalysts. The utilization of readily available starting materials, specifically 2,2-bis(4-hydroxyphenyl)propane and various 2,4-dinitrohalobenzenes, ensures raw material security and cost stability. Moreover, the reaction proceeds under atmospheric pressure, eliminating the need for expensive high-pressure autoclaves and significantly reducing capital expenditure requirements for manufacturing facilities. The simplicity of the workup procedure, involving concentration, cooling, and water precipitation, allows for rapid isolation of the product with minimal solvent retention, streamlining the path from reactor to warehouse.
![Chemical reaction scheme showing the nucleophilic substitution of Bisphenol A with 2,4-dinitrohalobenzene to form 2,2-bis[4-(2,4-dinitrophenoxy)phenyl]propane](/insights/img/bis-dinitrophenoxy-phenyl-propane-polyimide-supplier-20260314041010-01.webp)
Mechanistic Insights into Nucleophilic Aromatic Substitution
The core chemical transformation driving this synthesis is a classic nucleophilic aromatic substitution (SNAr), where the phenoxide anion derived from 2,2-bis(4-hydroxyphenyl)propane attacks the electron-deficient aromatic ring of the 2,4-dinitrohalobenzene. The presence of two strong electron-withdrawing nitro groups at the ortho and para positions relative to the halogen leaving group significantly activates the ring towards nucleophilic attack, lowering the activation energy required for the formation of the Meisenheimer complex. The choice of the salt-forming agent, which can range from alkali metal carbonates to hydroxides, plays a critical role in generating the active phenoxide species in situ while maintaining a pH environment that minimizes side reactions. The mechanistic efficiency is further enhanced by the specific molar ratio of reactants, maintained between 1.0:2.0 and 1.0:2.2, ensuring that the dihydric phenol is fully converted to the desired diether without significant accumulation of mono-substituted intermediates. This stoichiometric precision is vital for preventing the formation of oligomeric impurities that could detrimentally affect the molecular weight distribution of the final polyimide polymer.
Impurity control is intrinsically linked to the solvent dynamics and the nature of the halogen leaving group employed in the reaction. While fluorine is typically the most reactive leaving group in SNAr reactions due to its high electronegativity, the patent data indicates that chloro-derivatives can achieve superior yields (up to 97.2%) under the optimized conditions, likely due to a favorable balance between reactivity and solubility profiles within the specific solvent matrix. The mixed solvent system not only solubilizes both the ionic salt intermediates and the organic reactants but also acts as a trap for the generated hydrogen halide byproduct, neutralizing it via the carbonate or hydroxide base. The subsequent precipitation step upon adding water exploits the differential solubility of the product versus unreacted starting materials and inorganic salts, effectively purifying the crude material in a single unit operation. This mechanism of purification by precipitation rather than chromatography or extensive distillation is a key factor in the process's scalability and cost-effectiveness, ensuring that the final product meets stringent purity specifications required for electronic grade applications.
How to Synthesize 2,2-Bis[4-(2,4-Dinitrophenoxy)Phenyl]Propane Efficiently
The execution of this synthesis requires careful attention to the order of addition and temperature control to maximize the efficiency of the water separation process. The standardized protocol involves charging the reactor with the bisphenol and the dinitrohalobenzene, followed by the addition of the base and the pre-mixed solvent system. Heating is then applied to reach reflux conditions, where the azeotropic removal of water becomes the rate-limiting step that dictates the overall reaction time, typically ranging from 6 to 18 hours depending on the specific halogen and solvent combination used. Detailed standard operating procedures regarding exact flow rates, agitation speeds, and cooling ramps are critical for reproducibility and are outlined in the technical documentation below.
- Charge reactor with 2,2-bis(4-hydroxyphenyl)propane and 2,4-dinitrohalobenzene at a molar ratio of 1.0: 2.0-2.2.
- Add salt-forming agent and mixed organic solvent system, then heat to reflux (80°C-200°C) for 6-18 hours with water separation.
- Concentrate reaction mixture, cool, precipitate product with water, then filter, wash, and dry to obtain high-purity crystals.
Commercial Advantages for Procurement and Supply Chain Teams
For procurement managers and supply chain directors, the transition to this patented manufacturing process represents a significant opportunity to optimize total cost of ownership while mitigating supply risks associated with complex fine chemical intermediates. The elimination of high-pressure equipment requirements and the use of non-corrosive reagents drastically reduce the capital intensity and maintenance overhead of the production facility, translating into more competitive pricing structures for the end customer. Furthermore, the ability to recover and recycle the organic solvents repeatedly without significant loss of performance creates a closed-loop system that minimizes raw material consumption and waste disposal costs. This environmental efficiency not only aligns with corporate sustainability goals but also insulates the supply chain from volatile fluctuations in solvent markets and regulatory pressures regarding hazardous waste emissions. The robustness of the reaction conditions ensures consistent batch-to-batch quality, reducing the risk of production delays caused by out-of-specification materials.
- Cost Reduction in Manufacturing: The economic viability of this process is underpinned by the strategic selection of inexpensive, commodity-grade raw materials such as bisphenol A and chloronitrobenzenes, which are widely available in the global chemical market. By avoiding the use of precious metal catalysts or exotic reagents, the direct material costs are kept to a minimum, allowing for substantial margin improvements even in competitive bidding scenarios. The simplified workup procedure, which relies on precipitation and filtration rather than complex distillation columns or chromatographic separation, significantly reduces energy consumption and labor hours per kilogram of product. Additionally, the high conversion rates achieved minimize the quantity of unreacted starting materials that need to be recovered or disposed of, further enhancing the overall process mass intensity and economic efficiency of the manufacturing campaign.
- Enhanced Supply Chain Reliability: The reliance on standard chemical engineering unit operations, such as reflux condensers and centrifuges, ensures that the production process can be easily replicated across multiple manufacturing sites, thereby diversifying supply sources and reducing geopolitical risk. The atmospheric pressure operation eliminates the safety hazards associated with high-pressure reactors, leading to fewer unplanned shutdowns and a more predictable production schedule. Moreover, the stability of the intermediate product allows for flexible inventory management, as the solid crystals can be stored for extended periods without degradation, providing a buffer against sudden spikes in demand from downstream polyimide manufacturers. This reliability is crucial for maintaining the continuity of supply for critical applications in the aerospace and electronics industries where material shortages can halt entire production lines.
- Scalability and Environmental Compliance: Scaling this synthesis from laboratory to commercial tonnage is straightforward due to the absence of exothermic runaways or sensitive catalytic steps that often complicate process scale-up. The mixed solvent system is designed to handle large volumes efficiently, and the water separation technique scales linearly, ensuring that reaction kinetics remain consistent regardless of batch size. From an environmental perspective, the significant reduction in three wastes (waste water, waste gas, and solid waste) simplifies compliance with increasingly stringent environmental regulations, avoiding costly fines and permitting delays. The capability to recycle solvents internally reduces the facility's carbon footprint and volatile organic compound (VOC) emissions, positioning the manufacturer as a preferred partner for eco-conscious multinational corporations seeking sustainable supply chain solutions.
Frequently Asked Questions (FAQ)
The following questions address common technical and commercial inquiries regarding the production and application of this specialized polyimide intermediate. These answers are derived directly from the experimental data and technical specifications provided in the underlying patent literature, ensuring accuracy and relevance for industry professionals. Understanding these details is essential for evaluating the feasibility of integrating this material into your specific formulation or manufacturing process.
Q: What is the primary application of 2,2-bis[4-(2,4-dinitrophenoxy)phenyl]propane?
A: This compound serves as a critical intermediate for synthesizing aromatic polyvalent primary amines, which are essential monomers for producing high-performance, highly branched polyimide systems used in LCDs and aerospace applications.
Q: How does the patented solvent system improve yield?
A: The use of a mixed solvent system comprising a water-insoluble organic solvent and a strongly polar aprotic solvent facilitates efficient water removal via azeotropic distillation, driving the equilibrium towards product formation and achieving yields exceeding 97%.
Q: Is this process scalable for industrial production?
A: Yes, the process operates at atmospheric pressure without corrosive reagents, utilizes recyclable solvents, and involves a simple workup procedure, making it highly suitable for large-scale commercial manufacturing.
Partnering with NINGBO INNO PHARMCHEM: Your Reliable 2,2-Bis[4-(2,4-Dinitrophenoxy)Phenyl]Propane Supplier
As the global demand for high-performance polyimides continues to surge, securing a dependable source of high-purity precursors is more critical than ever. NINGBO INNO PHARMCHEM stands at the forefront of this sector, leveraging extensive experience scaling diverse pathways from 100 kgs to 100 MT/annual commercial production to deliver consistent quality. Our state-of-the-art facilities are equipped with rigorous QC labs and adhere to stringent purity specifications, ensuring that every batch of 2,2-bis[4-(2,4-dinitrophenoxy)phenyl]propane meets the exacting standards required for electronic and aerospace applications. We understand the complexities of scaling nucleophilic substitution reactions and have optimized our processes to maximize yield while minimizing environmental impact, providing our partners with a distinct competitive advantage in the marketplace.
We invite you to collaborate with us to optimize your supply chain and reduce your manufacturing costs through our advanced synthetic capabilities. Our technical team is ready to provide a Customized Cost-Saving Analysis tailored to your specific volume requirements and quality targets. We encourage you to contact our technical procurement team today to request specific COA data and route feasibility assessments, ensuring that your project moves forward with the highest level of confidence and technical support. Let us be your partner in innovation, delivering the chemical building blocks necessary for the next generation of advanced materials.
Engineering Bottleneck?
Can't scale up this synthesis? Upload your target structure or CAS, and our CDMO team will evaluate the industrial feasibility within 24 hours. Request Evaluation →
