Advanced Iridium Complexes for High-Efficiency OLED Display and Lighting Applications
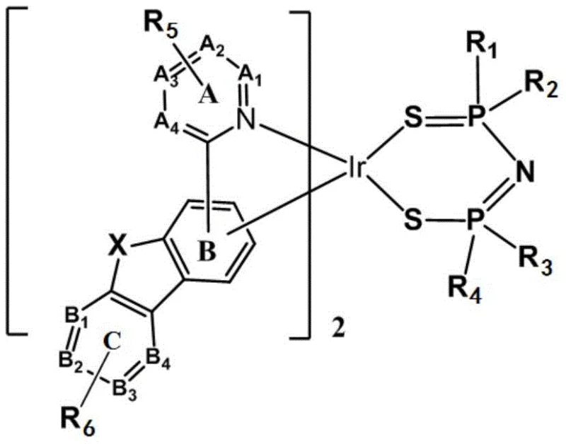
The rapid evolution of the organic light-emitting diode (OLED) industry demands materials that offer superior efficiency, stability, and color purity to meet the rigorous standards of next-generation display and solid-state lighting technologies. Patent CN113121608B introduces a groundbreaking class of iridium complexes featuring main ligands containing dibenzoheterocycles or aza-dibenzoheterocycles paired with thiobis-diaryl/aryl heterocyclic phosphorimide auxiliary ligands. This specific molecular architecture is engineered to optimize the balance of carrier transport and broaden the carrier recombination zone, directly addressing the critical bottleneck of efficiency roll-off at high brightness levels. By leveraging the unique electronic properties of the sulfur-phosphorus-nitrogen coordination environment, these materials demonstrate exceptional potential for enhancing the operational lifespan and quantum efficiency of electroluminescent devices. For procurement and technical leaders, understanding the structural nuances of this patent is essential for securing a reliable OLED material supplier capable of delivering high-performance emissive layers.
The Limitations of Conventional Methods vs. The Novel Approach
The Limitations of Conventional Methods
Traditional phosphorescent materials often struggle with inherent trade-offs between luminous efficiency and device stability, primarily due to the instability of the ligand field under prolonged electrical stress. Conventional iridium complexes frequently rely on simple cyclometalated ligands that may not provide sufficient steric hindrance or electronic modulation to prevent non-radiative decay pathways, leading to significant energy loss as heat. Furthermore, the purification of these legacy compounds often involves cumbersome processes with low sublimation yields, resulting in substantial material waste and inflated production costs for high-purity OLED material batches. The reliance on less stable auxiliary ligands can also compromise the morphological stability of the emitting layer, causing crystallization or phase separation over time which degrades device performance. These technical deficiencies necessitate a paradigm shift towards more robust molecular designs that can withstand the thermal and electrical loads of modern commercial displays.
The Novel Approach
The innovative strategy outlined in the patent data utilizes a sophisticated combination of dibenzoheterocycle-based main ligands and thiobis-diaryl phosphorimide auxiliary ligands to overcome these historical limitations. This dual-ligand system effectively regulates the luminescent color while simultaneously increasing the thermal stability of the complex through enhanced conjugation and rigidification of the molecular framework. The introduction of the sulfur-containing phosphorimide moiety offers superior electron-withdrawing capabilities that facilitate balanced charge injection, thereby widening the recombination zone and maximizing exciton utilization efficiency. Moreover, the specific structural configuration allows for facile purification via vacuum sublimation with high recovery rates, significantly simplifying the downstream processing requirements. This approach not only improves the intrinsic device metrics but also streamlines the manufacturing workflow, offering a compelling value proposition for cost reduction in electronic chemical manufacturing.
Mechanistic Insights into Thiobis-Diaryl Phosphorimide Coordination
The core mechanism driving the enhanced performance of these iridium complexes lies in the precise electronic modulation provided by the thiobis-diaryl phosphorimide auxiliary ligand coordinating with the central iridium atom. The sulfur and nitrogen atoms in the auxiliary ligand create a strong field environment that stabilizes the triplet excited states, ensuring efficient phosphorescence emission with minimal non-radiative transition losses. The dibenzoheterocycle main ligand further contributes by extending the pi-conjugation system, which red-shifts the emission wavelength and improves the color purity required for high-definition display applications. This synergistic effect between the main and auxiliary ligands results in a complex that exhibits high quantum efficiency and remarkable resistance to thermal degradation during device operation. Understanding this coordination chemistry is vital for R&D teams aiming to replicate or further optimize these materials for specific emission colors.
Impurity control is another critical aspect where this molecular design excels, as the structural rigidity minimizes the formation of side products during the cyclometalation process. The synthetic pathway is designed to favor the formation of the desired cis-configured isomer, which is the active species for electroluminescence, while suppressing inactive trans-isomers or oligomeric byproducts. High-performance liquid chromatography (HPLC) data from the patent examples indicates purity levels exceeding 99.5% after sublimation, demonstrating the effectiveness of the design in facilitating impurity removal. This high level of chemical purity is paramount for preventing dark spot formation and ensuring uniform luminance across large-area OLED panels. Consequently, the mechanistic robustness of this system translates directly into higher manufacturing yields and more consistent device performance.
How to Synthesize Iridium Complex AG001 Efficiently
The synthesis of the representative compound AG001 serves as a prime example of the operational feasibility and scalability of this patented technology. The process begins with the preparation of the specialized auxiliary ligand L-PS, followed by the construction of the main ligand L1-1 through palladium-catalyzed cross-coupling reactions. These precursors are then reacted with iridium trichloride to form a chloro-bridged dimer intermediate, which is subsequently converted into the final monomeric iridium complex through a ligand exchange reaction with the potassium salt of L-PS. The entire sequence utilizes standard laboratory solvents such as ethoxyethanol and tetrahydrofuran, avoiding the need for exotic or hazardous reagents that could complicate safety compliance. Detailed standardized synthesis steps are provided in the guide below to ensure reproducibility and quality control.
- Prepare the auxiliary ligand L-PS by reacting diphenylphosphine chloride derivatives with hexamethyldisilazane followed by sulfur oxidation and potassium hydroxide treatment.
- Synthesize the main ligand L1-1 via Suzuki coupling of 2-bromopyridine and 4-dibenzofuran boronic acid using palladium catalyst.
- Form the chloro-bridged dimer C1 by refluxing L1-1 with IrCl3, then react with L-PS potassium salt to obtain the final iridium complex AG001.
Commercial Advantages for Procurement and Supply Chain Teams
From a strategic sourcing perspective, the adoption of this novel iridium complex technology offers substantial benefits that extend beyond mere technical performance metrics into the realm of operational efficiency and cost management. The streamlined synthesis route reduces the number of purification steps required to achieve device-grade purity, which directly correlates to lower processing times and reduced consumption of chromatography media and solvents. This efficiency gain is particularly valuable for supply chain heads who must manage the lead time for high-purity electroluminescent materials to meet tight production schedules for consumer electronics launches. Furthermore, the high sublimation yield reported in the patent data suggests a significant reduction in raw material waste, contributing to a more sustainable and economically viable production model. These factors collectively enhance the reliability of the supply chain by minimizing the risk of batch failures and ensuring consistent availability of critical emissive materials.
- Cost Reduction in Manufacturing: The elimination of complex and low-yield purification stages traditionally associated with phosphorescent dopants leads to a drastic simplification of the production workflow. By achieving high purity through efficient sublimation rather than multiple recrystallization cycles, manufacturers can significantly reduce energy consumption and labor costs associated with downstream processing. The use of readily available starting materials and common solvents further mitigates the risk of price volatility in the raw material market, ensuring stable production costs over time. This economic efficiency allows for more competitive pricing strategies without compromising on the stringent quality standards required by top-tier display manufacturers.
- Enhanced Supply Chain Reliability: The robustness of the synthetic route ensures that production can be scaled up rapidly to meet surges in demand without the typical bottlenecks associated with sensitive organometallic chemistry. The high stability of the intermediates and the final product reduces the need for specialized storage conditions, simplifying logistics and warehousing requirements for global distribution. This resilience against supply chain disruptions is crucial for maintaining continuous production lines in the fast-paced consumer electronics sector. Partnerships with suppliers who master this chemistry guarantee a steady flow of materials that meet the rigorous specifications of modern OLED fabrication facilities.
- Scalability and Environmental Compliance: The process is inherently designed for commercial scale-up of complex iridium complexes, utilizing reaction conditions that are easily transferable from laboratory to pilot and full-scale production plants. The reduction in solvent usage and waste generation aligns with increasingly strict environmental regulations governing the fine chemical industry, reducing the burden of waste treatment and disposal. This alignment with green chemistry principles not only lowers compliance costs but also enhances the corporate social responsibility profile of the supply chain. Manufacturers can confidently project long-term production capacity knowing that the underlying chemistry is both scalable and environmentally sustainable.
Frequently Asked Questions (FAQ)
The following questions address common technical and commercial inquiries regarding the implementation of this iridium complex technology in OLED manufacturing processes. These insights are derived directly from the experimental data and beneficial effects documented in the patent literature to provide clarity on performance expectations. Understanding these details helps stakeholders make informed decisions about integrating these materials into their existing product development roadmaps. The answers reflect the consensus on the material's capabilities regarding stability, purity, and device integration.
Q: What are the stability advantages of this novel iridium complex structure?
A: The incorporation of dibenzoheterocycle or aza-dibenzoheterocycle main ligands combined with thiobis-diaryl phosphorimide auxiliary ligands significantly enhances the photothermal stability of the material, reducing efficiency roll-off in OLED devices.
Q: How does this synthesis route impact purification costs?
A: The designed molecular structure facilitates easy sublimation purification, achieving yields over 80% during sublimation and purity levels exceeding 99.5%, which drastically reduces material loss compared to conventional methods.
Q: Can these materials be scaled for industrial OLED production?
A: Yes, the synthesis utilizes conventional reflux conditions and standard column chromatography followed by sublimation, making the process highly adaptable for commercial scale-up of complex iridium complexes without requiring exotic equipment.
Partnering with NINGBO INNO PHARMCHEM: Your Reliable Iridium Complex Supplier
As the demand for high-performance display materials continues to surge, partnering with an experienced CDMO like NINGBO INNO PHARMCHEM ensures access to cutting-edge synthesis capabilities and rigorous quality assurance protocols. Our team possesses extensive experience scaling diverse pathways from 100 kgs to 100 MT/annual commercial production, guaranteeing that your supply needs are met with precision and consistency. We adhere to stringent purity specifications and operate rigorous QC labs to verify that every batch of iridium complex meets the exacting standards required for elite OLED device fabrication. Our commitment to technical excellence ensures that the transition from patent concept to commercial reality is seamless and efficient.
We invite you to engage with our technical procurement team to discuss how we can tailor our manufacturing capabilities to your specific project requirements. Request a Customized Cost-Saving Analysis to understand how optimizing your material sourcing strategy can impact your overall production budget. Our experts are ready to provide specific COA data and route feasibility assessments to support your R&D and procurement decision-making processes. Let us help you secure a competitive advantage in the global display market through superior material science.
Engineering Bottleneck?
Can't scale up this synthesis? Upload your target structure or CAS, and our CDMO team will evaluate the industrial feasibility within 24 hours. Request Evaluation →
