Advanced Purification Technology for Abiraterone Acetate: Enhancing Purity and Scalability for Global Pharma Supply Chains
Introduction to Next-Generation Abiraterone Acetate Purification
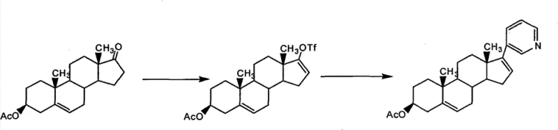
The global demand for high-purity oncology intermediates continues to surge, driven by the critical role of Abiraterone Acetate in the treatment of metastatic castration-resistant prostate cancer. As supply chains tighten and regulatory scrutiny on impurity profiles intensifies, the industry requires robust, scalable purification technologies that move beyond traditional, labor-intensive methods. Patent CN102030798B introduces a transformative approach to this challenge, detailing a novel purification process that utilizes trifluoromethanesulfonic acid as a salt-forming reagent. This technology addresses the longstanding bottlenecks associated with the isolation of Abiraterone Acetate, specifically targeting the removal of stubborn impurities such as unreacted starting materials and boron-containing byproducts from Suzuki coupling reactions. By shifting the chemical paradigm from conventional mesylate salts to triflate salts, this method offers a pathway to significantly enhanced operational efficiency and product quality.
For R&D directors and process chemists, the implications of this patent are profound, offering a solution that simplifies the downstream processing of this complex steroid intermediate. The core innovation lies in the physical properties of the resulting salt; unlike previous methods that yield viscous, hard-to-handle suspensions, the trifluoromethanesulfonate salt precipitates as a dry, free-flowing granular solid. This physical transformation is not merely a convenience but a critical process parameter that dictates filtration rates, drying times, and ultimately, the throughput of the manufacturing facility. As we delve deeper into the technical specifics, it becomes clear that this method represents a significant leap forward in the commercial scale-up of complex pharmaceutical intermediates, providing a reliable foundation for consistent, high-volume production.
The Limitations of Conventional Methods vs. The Novel Approach
The Limitations of Conventional Methods
Historically, the purification of Abiraterone Acetate has been plagued by significant downstream processing challenges, particularly when utilizing methanesulfonic acid (mesylic acid) for salt formation. In traditional workflows, reacting the crude bulk drug with methanesulfonic acid often results in the formation of a stiff, viscous suspension rather than a crystalline precipitate. This physical state creates severe operational hurdles; the resulting filter cakes are excessively thick and retain significant amounts of mother liquor, leading to poor impurity rejection and difficult filtration dynamics. Consequently, manufacturers are forced to employ time-consuming workarounds, such as extensive washing protocols or even complete recrystallization steps, to achieve acceptable purity levels. These additional unit operations not only extend the production cycle time drastically but also increase solvent consumption and waste generation, negatively impacting both the cost structure and the environmental footprint of the manufacturing process.
The Novel Approach
In stark contrast, the novel approach detailed in the patent leverages the unique physicochemical properties of trifluoromethanesulfonic acid to overcome these viscosity and filtration issues. By reacting the crude Abiraterone Acetate with trifluoromethanesulfonic acid in a optimized solvent system comprising ethyl acetate and methyl tert-butyl ether (MTBE), the process induces the rapid precipitation of abiraterone acetate trifluoromethanesulfonate. This salt exhibits superior crystallinity, appearing as pearl-like particles that are dry and non-sticky, allowing for rapid suction filtration without the clogging issues associated with mesylate salts. The result is a streamlined workflow where the salt can be isolated with high purity (>97%) in a single step, effectively bypassing the need for the cumbersome recrystallization loops required by older technologies. This shift not only accelerates the timeline from reaction to isolation but also ensures a more consistent impurity profile, making it an ideal candidate for cost reduction in pharmaceutical intermediates manufacturing.
Mechanistic Insights into Triflate Salt Formation and Impurity Control
From a mechanistic perspective, the success of this purification strategy hinges on the differential solubility and lattice energy of the triflate salt compared to the free base and associated impurities. The reaction involves the protonation of the pyridine nitrogen of Abiraterone Acetate by the strong acid trifluoromethanesulfonic acid. The resulting ionic interaction creates a highly polar species that is insoluble in the specific ratio of ethyl acetate and MTBE used, driving precipitation. Crucially, this crystallization process acts as a powerful purification engine; impurities such as the starting material (Dehydroepiandrosterone acetate) and side products from the preceding Suzuki coupling (like diethyl(3-pyridyl)borane residues) remain soluble in the mother liquor due to their differing polarity and lack of salt-forming capability under these conditions. The patent data indicates that this single crystallization step reduces the number of impurities greater than 1% from five in the crude oil to just one in the salt, demonstrating exceptional selectivity.
Furthermore, the subsequent liberation of the free base is engineered for maximum recovery and minimal degradation. The isolated triflate salt is treated with a mild aqueous alkali, such as sodium carbonate or sodium bicarbonate, in a dichloromethane medium. This neutralization step efficiently breaks the ionic bond, releasing the free Abiraterone Acetate into the organic phase while the triflic acid byproduct is sequestered in the aqueous layer. Because the input salt was already of high purity (>97%), the resulting free base maintains this high standard without requiring further chromatographic purification. This mechanism effectively decouples the purification burden from the final isolation step, distributing it efficiently across the salt formation and filtration stages. For technical teams, understanding this mechanism is vital for troubleshooting and optimizing the process, ensuring that parameters like temperature control (maintaining -5 to 5°C during acid addition) are strictly adhered to for optimal crystal growth.
How to Synthesize Abiraterone Acetate Efficiently
The implementation of this purification protocol requires precise control over reaction conditions to maximize the yield and physical quality of the intermediate salt. The process begins with the dissolution of crude Abiraterone Acetate oil in a mixed solvent system, followed by the controlled addition of the acid reagent at low temperatures to manage exotherms and nucleation rates. Following filtration and drying, the salt is subjected to a biphasic neutralization to recover the final API intermediate. While the general concept is straightforward, the specific ratios of solvents, the equivalence of the acid, and the pH control during neutralization are critical process parameters that define the success of the operation. For a detailed breakdown of the specific experimental conditions and stoichiometry required to replicate this high-efficiency route, please refer to the standardized synthesis guide below.
- React crude Abiraterone Acetate with trifluoromethanesulfonic acid in a mixed solvent of ethyl acetate and MTBE at low temperature (-5 to 5°C) to form the triflate salt.
- Filter the resulting dry, granular abiraterone acetate trifluoromethanesulfonate solid to remove impurities and starting materials effectively.
- Neutralize the filtered salt with an aqueous alkali solution (e.g., sodium carbonate) in dichloromethane to release the high-purity free base Abiraterone Acetate.
Commercial Advantages for Procurement and Supply Chain Teams
For procurement managers and supply chain leaders, the adoption of this triflate-based purification method translates directly into tangible operational improvements and risk mitigation. The primary advantage lies in the drastic simplification of the unit operations involved; by eliminating the need for column chromatography and reducing the reliance on multiple recrystallization cycles, the process significantly lowers the consumption of expensive silica gel and vast quantities of organic solvents. This reduction in material usage directly correlates to a lower cost of goods sold (COGS), allowing for more competitive pricing structures in a market where margin pressure is constant. Furthermore, the physical nature of the intermediate—a dry, free-flowing powder rather than a sticky sludge—facilitates easier handling, packaging, and storage, reducing the potential for material loss during transfer operations and minimizing the downtime associated with cleaning clogged filtration equipment.
- Cost Reduction in Manufacturing: The elimination of chromatographic purification steps represents a massive saving in both consumables and labor hours. Traditional methods often require large columns and extensive solvent gradients to remove trace impurities, which is both costly and slow. By achieving >97% purity through simple crystallization and filtration, this method removes the most expensive purification bottleneck entirely. Additionally, the high recovery rates and reduced solvent volumes needed for washing the non-sticky filter cake contribute to substantial overall cost savings, making the production of high-purity Abiraterone Acetate much more economically viable.
- Enhanced Supply Chain Reliability: The robustness of this process enhances supply continuity by reducing the variability inherent in complex purification workflows. Sticky suspensions and difficult filtrations are common causes of batch failures or extended cycle times in chemical manufacturing. By switching to a system that produces easily filterable granular solids, the risk of processing delays is minimized. This reliability ensures that delivery schedules can be met consistently, a critical factor for pharmaceutical clients who operate on tight timelines for clinical trials or commercial launches. The simplified workflow also means that production capacity can be increased without proportional increases in equipment footprint or labor.
- Scalability and Environmental Compliance: From an environmental and safety standpoint, this method offers a greener alternative to traditional purification. The reduction in solvent usage and the avoidance of silica waste align with modern green chemistry principles and strict environmental regulations. Scaling up a process that relies on filtration is inherently safer and more predictable than scaling up chromatography or dealing with viscous, hard-to-agitate mixtures. This scalability ensures that the supply chain can grow to meet market demand, transitioning smoothly from pilot batches to multi-ton commercial production without encountering the 'valley of death' often seen when scaling complex purification processes.
Frequently Asked Questions (FAQ)
The following questions address common technical and commercial inquiries regarding the implementation of this purification technology. These insights are derived directly from the comparative data and experimental results presented in the patent literature, providing a clear picture of what partners can expect when adopting this methodology. Understanding these nuances is essential for making informed decisions about process integration and supplier selection.
Q: Why is trifluoromethanesulfonic acid preferred over methanesulfonic acid for Abiraterone purification?
A: Trifluoromethanesulfonic acid forms a dry, granular salt that filters rapidly and easily, whereas methanesulfonic acid creates a sticky, viscous suspension that is difficult to filter and traps impurities.
Q: What purity levels can be achieved with this triflate salt method?
A: The method consistently yields Abiraterone Acetate trifluoromethanesulfonate with purity exceeding 97%, and the final free base also achieves purity greater than 97% without requiring column chromatography.
Q: Does this process eliminate the need for recrystallization?
A: Yes, the high purity of the salt intermediate allows for direct conversion to the free base without an intermediate recrystallization step, significantly shortening the production cycle.
Partnering with NINGBO INNO PHARMCHEM: Your Reliable Abiraterone Acetate Supplier
At NINGBO INNO PHARMCHEM, we recognize that the transition to advanced purification technologies like the triflate salt method is key to securing a competitive edge in the global pharmaceutical market. Our team of expert process chemists possesses extensive experience scaling diverse pathways from 100 kgs to 100 MT/annual commercial production, ensuring that the theoretical benefits of patents like CN102030798B are fully realized in practical, large-scale manufacturing. We are committed to delivering high-purity Abiraterone Acetate that meets stringent purity specifications, supported by our rigorous QC labs and state-of-the-art analytical capabilities. Our infrastructure is designed to handle complex steroid chemistry with precision, guaranteeing the consistency and quality required by top-tier pharmaceutical companies.
We invite you to collaborate with us to optimize your supply chain for this critical oncology intermediate. By leveraging our technical expertise, we can provide a Customized Cost-Saving Analysis tailored to your specific volume requirements and quality targets. We encourage you to contact our technical procurement team today to request specific COA data and route feasibility assessments. Let us demonstrate how our advanced manufacturing capabilities can reduce your lead time for high-purity pharmaceutical intermediates and drive value for your organization.
