Advanced Manufacturing of Cyclopropane Derivatives for High-Potency Antiviral Agents
Advanced Manufacturing of Cyclopropane Derivatives for High-Potency Antiviral Agents
The pharmaceutical industry constantly seeks more efficient pathways to synthesize complex nucleoside analogs, particularly those exhibiting potent antiviral activity. Patent CN1046728C, filed in late 1999, introduces a groundbreaking methodology for the preparation of cyclopropane derivatives that serve as critical intermediates for antiviral agents. This technology addresses the longstanding inefficiencies in producing bicyclic lactone structures fused with cyclopropane rings, which are essential scaffolds in modern medicinal chemistry. By bypassing traditional multi-step protection strategies, this invention offers a robust framework for generating high-purity intermediates suitable for large-scale commercialization. For R&D directors and procurement specialists, understanding this patented route is crucial for optimizing supply chains and reducing the cost of goods sold for next-generation therapeutics.
The Limitations of Conventional Methods vs. The Novel Approach
The Limitations of Conventional Methods
Prior to this innovation, the synthesis of similar cyclopropane compounds, as described in publications like JP-A-5/78357, relied heavily on cumbersome protection and deprotection sequences. These conventional methods often involve masking reactive functional groups to prevent side reactions, only to remove them later in the synthesis tree. Such approaches are inherently time-consuming and result in lower overall yields due to material loss at each additional step. Furthermore, the use of protecting groups increases the consumption of reagents and solvents, creating significant waste streams that complicate environmental compliance and drive up manufacturing costs. For industrial-scale operations, these inefficiencies translate into longer lead times and reduced throughput, making it difficult to meet the demanding schedules of global pharmaceutical development programs.
The Novel Approach
The novel approach detailed in the patent fundamentally shifts the paradigm by enabling the direct conversion of a hydroxymethyl group into a leaving group, followed by immediate coupling with a purine base. This strategy eliminates the need for intermediate protection, streamlining the synthesis into a more linear and efficient process. The core transformation involves activating the hydroxyl group of the bicyclic lactone intermediate using halogenating agents or sulfonyl chlorides, creating a highly reactive electrophile. This activated species then undergoes nucleophilic substitution with various purine derivatives under mild basic conditions. 
This direct alkylation not only simplifies the operational workflow but also enhances the overall atom economy of the process. By reducing the number of unit operations, manufacturers can achieve faster cycle times and significantly lower production costs. The versatility of this method allows for the incorporation of diverse purine residues, including guanine, adenine, and chlorinated purines, making it a universal platform for generating a wide library of antiviral candidates. This flexibility is invaluable for procurement teams looking to secure reliable sources for multiple pipeline assets using a single, scalable manufacturing technology.
Mechanistic Insights into Direct Alkylation and Lactone Formation
The mechanistic elegance of this process lies in the precise activation of the primary alcohol on the strained bicyclic system. When converting the hydroxyl group to a leaving group, reagents such as carbon tetrabromide with triphenylphosphine or thionyl chloride are employed. In the case of halogenation, the reaction proceeds via the formation of an oxyphosphonium intermediate which is subsequently displaced by a halide ion, typically bromide or chloride. This transformation must be carefully controlled, usually at temperatures between -20°C and 40°C, to prevent ring opening of the sensitive cyclopropane moiety. The resulting alkyl halide or sulfonate ester serves as a potent electrophile, ready for the subsequent coupling step.
The coupling reaction with the purine base is a classic SN2-type nucleophilic substitution. In the presence of bases like potassium carbonate or sodium hydride, the nitrogen atom of the purine ring attacks the activated methylene carbon. The use of polar aprotic solvents such as dimethylformamide (DMF) or acetonitrile facilitates this reaction by stabilizing the transition state and solubilizing the ionic reagents. Crucially, the stereochemical integrity of the cyclopropane ring is maintained throughout this sequence. If optically active epichlorohydrin is used as the starting material, the chirality is transferred through the malonate condensation and cyclization steps, ensuring that the final product retains the desired absolute configuration. 
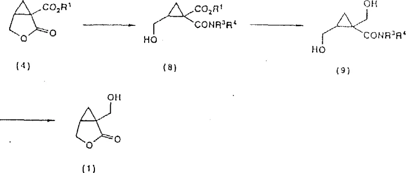
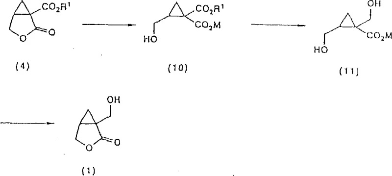
Furthermore, the patent outlines multiple pathways to synthesize the key lactone intermediate itself, offering redundancy and optimization opportunities. One route involves the reaction of dialkyl malonate with epichlorohydrin to form a diester, which is then cyclized under acidic conditions. Another pathway utilizes the reduction of a diester or amide precursor using borohydrides to generate the hydroxymethyl functionality directly. 
These alternative routes provide process chemists with the flexibility to choose the most cost-effective starting materials based on regional availability. The final reduction of the lactone ring to the corresponding diol, which yields the active antiviral agent, can be achieved using sodium borohydride in alcoholic solvents. This step demonstrates the robustness of the scaffold, as the cyclopropane ring remains intact even under reducing conditions. 
How to Synthesize (3-oxa-2-oxobicyclo[3.1.0]hex-1-yl)methanol Efficiently
The synthesis of the core intermediate, (3-oxa-2-oxobicyclo[3.1.0]hex-1-yl)methanol, is the cornerstone of this entire technology platform. The process begins with the condensation of dialkyl malonate and epichlorohydrin in the presence of a strong base like sodium ethoxide. This reaction forms a cyclopropane ring fused with the malonate backbone. Subsequent hydrolysis and acid-catalyzed cyclization convert the diester into the target lactone structure. Alternatively, the diester can be partially reduced to a hydroxy-ester, which then cyclizes to form the lactone. Each step is designed to maximize yield while minimizing impurities, ensuring that the final intermediate meets the stringent quality standards required for pharmaceutical applications. The detailed standardized synthesis steps see the guide below.
- Prepare the key intermediate (3-oxa-2-oxobicyclo[3.1.0]hex-1-yl)methanol by reacting dialkyl malonate with epichlorohydrin, followed by cyclization and reduction.
- Activate the hydroxymethyl group of the intermediate by converting it into a leaving group such as a halogen or sulfonyloxy ester using reagents like carbon tetrabromide or thionyl chloride.
- React the activated intermediate with a purine derivative (e.g., 2-amino-6-chloropurine) in the presence of a base like potassium carbonate in a polar solvent to form the final cyclopropane nucleoside analog.
Commercial Advantages for Procurement and Supply Chain Teams
For procurement managers and supply chain heads, the adoption of this patented technology offers substantial strategic benefits beyond mere technical feasibility. The elimination of protection and deprotection steps translates directly into a leaner manufacturing process with fewer raw material inputs and reduced waste generation. This simplification lowers the barrier to entry for scale-up, allowing suppliers to ramp up production volumes more rapidly in response to market demand. The reliance on commodity chemicals such as epichlorohydrin, malonates, and common halogenating agents ensures a stable and resilient supply chain, mitigating the risks associated with sourcing exotic or specialized reagents.
- Cost Reduction in Manufacturing: The streamlined nature of this synthesis route drives significant cost reductions by removing entire classes of reagents associated with protecting group chemistry. By avoiding the purchase of silyl chlorides, benzyl halides, or other masking agents, along with the acids or fluorides needed to remove them, the overall material cost per kilogram of product is drastically lowered. Additionally, the reduction in processing time means lower utility costs and higher equipment utilization rates, further enhancing the economic viability of the process for commercial scale-up of complex pharmaceutical intermediates.
- Enhanced Supply Chain Reliability: The use of widely available starting materials ensures that production is not bottlenecked by the supply of niche precursors. Epichlorohydrin and dialkyl malonates are produced globally in massive quantities for various industries, guaranteeing a consistent supply even during market fluctuations. This reliability is critical for maintaining continuous manufacturing operations and meeting the just-in-time delivery requirements of major pharmaceutical clients. The robustness of the reaction conditions also reduces the likelihood of batch failures, ensuring a steady flow of high-quality intermediates to downstream customers.
- Scalability and Environmental Compliance: The process is inherently scalable, having been designed with plant-scale production in mind from the outset. The reaction conditions are mild, typically operating between 0°C and 80°C, which reduces the energy burden associated with extreme heating or cooling. Furthermore, the reduction in solvent usage and waste generation aligns with modern green chemistry principles, facilitating easier regulatory approval and environmental compliance. This sustainability profile is increasingly important for multinational corporations aiming to reduce their carbon footprint and adhere to strict environmental, social, and governance (ESG) mandates.
Frequently Asked Questions (FAQ)
The following questions address common technical and commercial inquiries regarding the implementation of this cyclopropane derivative synthesis technology. These answers are derived directly from the experimental data and claims presented in the patent documentation, providing a factual basis for decision-making. Understanding these nuances helps stakeholders evaluate the feasibility of integrating this route into their existing manufacturing portfolios.
Q: What is the primary advantage of this synthesis route over conventional methods?
A: The primary advantage is the elimination of tedious protection and deprotection steps required in prior art methods (such as JP-A-5/78357). This novel approach allows for direct substitution of the hydroxyl group, significantly simplifying the workflow and improving suitability for plant-scale production.
Q: Can this process produce optically active isomers?
A: Yes, the process preserves stereochemistry. By starting with optically active epichlorohydrin, the absolute structure is retained throughout the synthesis of the intermediate and the final cyclopropane derivative, allowing for the production of specific optical isomers required for biological activity.
Q: What types of purine bases are compatible with this alkylation method?
A: The method is highly versatile and compatible with various purine residues including guanine, adenine (Vitamin B4), xanthine, and chlorinated purines like 2-amino-6-chloropurine. The reaction conditions are mild enough to accommodate these diverse heterocyclic bases.
Partnering with NINGBO INNO PHARMCHEM: Your Reliable Cyclopropane Derivatives Supplier
At NINGBO INNO PHARMCHEM, we recognize the transformative potential of the synthetic routes described in CN1046728C for the production of high-value antiviral intermediates. As a leading CDMO partner, we possess extensive experience scaling diverse pathways from 100 kgs to 100 MT/annual commercial production, ensuring that your project transitions smoothly from the laboratory to the marketplace. Our state-of-the-art facilities are equipped to handle the specific reagents and conditions required for this chemistry, including the safe handling of halogenating agents and the precise temperature control needed for stereoselective transformations. We adhere to stringent purity specifications and operate rigorous QC labs to guarantee that every batch of cyclopropane derivatives meets the highest international standards.
We invite you to collaborate with us to optimize your supply chain and achieve substantial cost savings in pharmaceutical manufacturing. Our technical team is ready to conduct a Customized Cost-Saving Analysis tailored to your specific volume requirements and quality targets. By leveraging our expertise in process optimization and scale-up, we can help you reduce lead time for high-purity antiviral intermediates and secure a competitive advantage in the global market. Please contact our technical procurement team today to request specific COA data and route feasibility assessments for your next project.
Engineering Bottleneck?
Can't scale up this synthesis? Upload your target structure or CAS, and our CDMO team will evaluate the industrial feasibility within 24 hours. Request Evaluation →
