Advanced Manufacturing of Chiral Oxadiazine Intermediates for Global Agrochemical Supply Chains
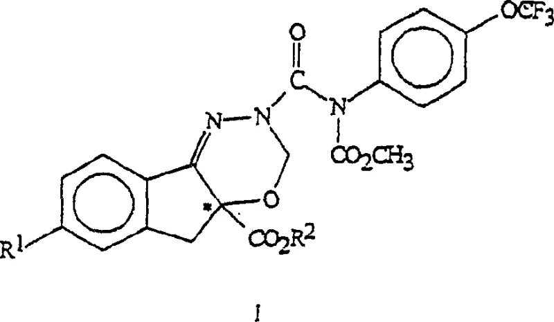
The pharmaceutical and agrochemical industries constantly seek robust synthetic pathways for complex heterocyclic structures, particularly those exhibiting potent biological activity. Patent CN1142922C represents a significant technological advancement in this domain, detailing a sophisticated methodology for the preparation of arthropodicidal oxadiazines and their critical intermediates. This intellectual property outlines a versatile four-step process (steps a-d) capable of producing compounds of Formula I, which serve as pivotal building blocks in the manufacture of next-generation pest control agents. The innovation lies not only in the construction of the oxadiazine core but also in the strategic preservation of stereochemistry at the chiral center, a factor often detrimental to biological efficacy if mishandled. By leveraging specific acid-catalyzed condensations and Lewis acid-mediated cyclizations, this technology offers a reliable pathway that addresses the historical challenges of economic commercial production found in earlier disclosures like WO9211249.

For procurement managers and supply chain directors, understanding the structural integrity of the final product is paramount. The target molecule, Formula I, incorporates a fused indeno-diazine system substituted with a trifluoromethoxy-phenyl carbamate moiety. This specific architectural arrangement is crucial for the compound's interaction with biological targets in arthropods. The ability to synthesize this structure efficiently, whether as a racemate or, more preferably, as an enantiomerically enriched species, directly impacts the cost of goods sold (COGS) and the reliability of the supply chain. As a reliable agrochemical intermediate supplier, recognizing the nuances of this patent allows for better forecasting of raw material requirements and potential bottlenecks in the production of high-value active ingredients.
The Limitations of Conventional Methods vs. The Novel Approach
The Limitations of Conventional Methods
Historically, the synthesis of complex heterocyclic intermediates like those described in this patent faced significant hurdles regarding scalability and stereochemical control. Prior art methods often relied on harsh reaction conditions that could lead to the degradation of sensitive functional groups or the racemization of chiral centers, thereby necessitating costly and wasteful resolution steps post-synthesis. Furthermore, conventional routes frequently utilized stoichiometric amounts of expensive reagents or required multiple isolation and purification stages between each synthetic transformation. These inefficiencies result in substantial increases in processing time, solvent consumption, and waste generation, which are critical pain points for any cost reduction in agrochemical manufacturing strategy. The inability to telescope reactions effectively meant that yield losses compounded at every stage, making the commercial production of these high-purity intermediates economically challenging for large-scale operations.
The Novel Approach
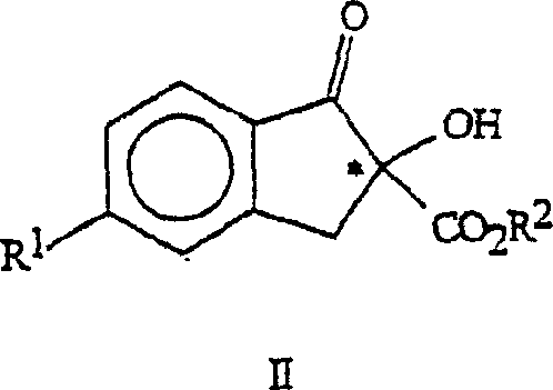
The methodology disclosed in CN1142922C introduces a streamlined, convergent approach that fundamentally alters the production landscape for these compounds. By initiating the synthesis with readily accessible precursors such as substituted 2,3-dihydro-1-indanones (Formula II), the process establishes the carbon framework early on. A key innovation is the use of mild acid catalysts, such as p-toluenesulfonic acid, to form the hydrazone intermediate (Formula IV) under reflux conditions, which minimizes side reactions. Subsequently, the cyclization step utilizes Lewis acids like phosphorus pentoxide or sulfur trioxide complexes to close the diazine ring efficiently. This novel approach allows for the potential telescoping of steps, particularly the hydrogenolysis and acylation phases, which drastically reduces the operational footprint. For a reliable agrochemical intermediate supplier, this translates to a more robust process that is easier to scale from pilot plant to commercial tonnage without sacrificing quality.

Mechanistic Insights into Lewis Acid-Mediated Cyclization and Hydrogenolysis
The core of this synthetic strategy revolves around the precise manipulation of the indane scaffold to construct the fused oxadiazine system. In step (b), the conversion of the hydrazone Formula IV to the cyclic Formula V is a critical mechanistic event. This transformation is driven by the activation of the bis(alkoxy)methane reagent by a strong Lewis acid. The Lewis acid coordinates with the alkoxy groups, generating a highly electrophilic species that attacks the nucleophilic nitrogen of the hydrazone. This intramolecular cyclization proceeds with high fidelity, forming the six-membered diazine ring while maintaining the integrity of the adjacent ester functionality. The choice of solvent, such as 1,2-dichloroethane or chlorobenzene, is engineered to solubilize the intermediates while withstanding the acidic conditions, ensuring that the reaction kinetics favor the desired cyclized product over polymeric byproducts.
Following cyclization, the process employs a catalytic hydrogenolysis in step (c) to remove the benzyl protecting group from the nitrogen atom, yielding Formula VI. This step is mechanistically distinct as it requires a heterogeneous catalyst, typically palladium on carbon, under controlled hydrogen pressure. The mechanism involves the adsorption of hydrogen and the substrate onto the metal surface, facilitating the cleavage of the benzylic C-N bond. Crucially, the reaction conditions (0°C to 30°C) are optimized to prevent the reduction of other sensitive groups, such as the ester or the newly formed diazine ring. The resulting amine (Formula VI) is then immediately available for the final acylation step. This sequence demonstrates a deep understanding of chemoselectivity, ensuring that the final product retains the necessary functional groups for biological activity while removing temporary protecting groups efficiently.

How to Synthesize 7-Chloro-2,5-dihydroindeno[1,2-e][1,3,4]diazine Efficiently
The synthesis of the core diazine structure requires careful attention to reaction parameters to ensure high purity and yield. The process begins with the condensation of the chiral ketone with a hydrazine derivative, followed by the critical Lewis acid cyclization. Operators must maintain strict temperature control during the addition of the Lewis acid to manage exotherms and prevent decomposition. The subsequent hydrogenolysis step requires monitoring of hydrogen uptake to determine the endpoint accurately. For detailed operational protocols, safety data, and specific workup procedures, please refer to the standardized synthesis guide below which outlines the critical control points for each stage of the manufacturing process.
- Condense enantiomerically enriched Formula II ketone with hydrazine derivative to form hydrazone Formula IV.
- Cyclize Formula IV using bis(alkoxy)methane and Lewis acid (P2O5 or SO3) to generate diazine Formula V.
- Perform catalytic hydrogenolysis on Formula V to remove protecting groups, yielding Formula VI.
- Acylate Formula VI with Formula VII carbamoyl chloride to finalize the Formula I structure.
Commercial Advantages for Procurement and Supply Chain Teams
From a commercial perspective, the adoption of the processes described in CN1142922C offers substantial strategic benefits for organizations managing the supply of agrochemical intermediates. The primary advantage lies in the significant simplification of the synthetic route, which directly correlates to reduced operational expenditures. By enabling the telescoping of reaction steps, specifically the combination of hydrogenolysis and acylation, manufacturers can eliminate intermediate isolation stages. This reduction in unit operations leads to a drastic decrease in solvent usage, energy consumption, and labor hours, all of which are major cost drivers in fine chemical manufacturing. Furthermore, the use of commercially available starting materials and standard reagents ensures that the supply chain remains resilient against raw material shortages, providing a stable foundation for long-term production planning.
- Cost Reduction in Manufacturing: The elimination of expensive transition metal catalysts in certain variations of this process, or the ability to recycle catalysts like palladium on carbon, contributes to a leaner cost structure. Additionally, the high selectivity of the Lewis acid cyclization minimizes the formation of difficult-to-remove impurities, thereby reducing the burden on downstream purification processes such as chromatography or extensive recrystallization. This efficiency translates into substantial cost savings without compromising the stringent purity specifications required for agrochemical applications.
- Enhanced Supply Chain Reliability: The reliance on robust, well-understood chemical transformations enhances the predictability of the manufacturing timeline. Unlike processes that depend on exotic reagents or unstable intermediates, this route utilizes stable compounds that can be sourced from multiple vendors globally. This diversification of the supply base mitigates the risk of disruption, ensuring that delivery schedules for high-purity intermediates can be met consistently. The scalability of the process from kilogram to multi-ton scales further reinforces supply continuity for downstream formulators.
- Scalability and Environmental Compliance: The process is designed with environmental considerations in mind, utilizing solvents that are easier to recover and recycle, such as methyl acetate and methanol. The reduction in waste generation through improved atom economy and step telescoping aligns with modern green chemistry principles. This not only lowers waste disposal costs but also simplifies regulatory compliance regarding environmental emissions. The ability to scale this process commercially ensures that demand surges can be accommodated without the need for complex process re-engineering.
Frequently Asked Questions (FAQ)
The following questions address common technical and commercial inquiries regarding the production of these oxadiazine intermediates. The answers are derived directly from the technical specifications and experimental data provided in the patent literature, ensuring accuracy and relevance for industry professionals. Understanding these details is essential for evaluating the feasibility of integrating this technology into existing manufacturing portfolios.
Q: How is chirality preserved during the oxadiazine ring formation?
A: The process utilizes mild acid catalysts and specific temperature controls (65-85°C) during the hydrazone formation and subsequent cyclization steps, ensuring the chiral center at the indane ring remains intact without racemization.
Q: What are the advantages of the enantioselective oxidation route (Steps i-v)?
A: This route allows for the generation of enantiomerically enriched Formula II directly from prochiral precursors using cinchona alkaloids, avoiding the waste associated with traditional racemic resolution methods.
Q: Can the hydrogenolysis and acylation steps be combined?
A: Yes, the patent describes a telescoped procedure where Formula VI is generated in situ and immediately reacted with Formula VII in the same vessel, significantly reducing processing time and solvent usage.
Partnering with NINGBO INNO PHARMCHEM: Your Reliable 7-Chloro-2,5-dihydroindeno[1,2-e][1,3,4]diazine Supplier
At NINGBO INNO PHARMCHEM, we recognize the critical role that high-quality intermediates play in the success of your final agrochemical products. Our team possesses extensive experience scaling diverse pathways from 100 kgs to 100 MT/annual commercial production, ensuring that we can meet your volume requirements with precision and consistency. We are committed to maintaining stringent purity specifications through our rigorous QC labs, which utilize advanced analytical techniques to verify the identity and enantiomeric excess of every batch. Our facility is equipped to handle the specific reaction conditions required for this synthesis, including low-temperature hydrogenolysis and moisture-sensitive Lewis acid chemistry, guaranteeing a product that meets the highest industry standards.
We invite you to collaborate with us to optimize your supply chain for these valuable intermediates. Our technical procurement team is ready to provide a Customized Cost-Saving Analysis tailored to your specific volume needs and quality requirements. By partnering with us, you gain access to specific COA data and route feasibility assessments that can help streamline your development timeline. Contact us today to discuss how our manufacturing capabilities can support your project goals and ensure a reliable supply of these complex chemical building blocks.
