Scalable Enantioselective Synthesis of Arthropodicidal Oxadiazine Intermediates for Global Agrochemical Supply Chains
Scalable Enantioselective Synthesis of Arthropodicidal Oxadiazine Intermediates for Global Agrochemical Supply Chains
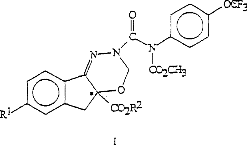
The development of efficient synthetic routes for chiral agrochemical intermediates remains a critical challenge in modern fine chemical manufacturing. Patent CN101391953B discloses a sophisticated methodology for the preparation of arthropodicidal oxadiazines, specifically targeting compounds of Formula I which exhibit potent biological activity. This technology represents a significant advancement over traditional racemic syntheses by integrating enantioselective strategies that ensure high optical purity from the outset. The core innovation lies in the preservation of stereochemistry throughout a four-step sequence, transforming a chiral indanone derivative into a complex heterocyclic system without erosion of enantiomeric excess. For R&D directors and procurement specialists, understanding this pathway is essential for securing reliable sources of high-performance pest control agents.

The target molecule, depicted in the structure above, features a fused indeno-diazine core substituted with a trifluoromethoxy-phenyl urea moiety. The presence of the chiral center at the 4a-position is crucial, as biological assays often demonstrate that one enantiomer possesses significantly higher arthropodicidal activity than its mirror image. Consequently, the ability to manufacture this compound in an enantiomerically enriched form is not merely a regulatory preference but a commercial imperative. The patent outlines a robust process that begins with an enriched precursor and proceeds through hydrazone formation, cyclization, deprotection, and final acylation, offering a streamlined approach to accessing these valuable bioactive scaffolds.
The Limitations of Conventional Methods vs. The Novel Approach
The Limitations of Conventional Methods
Historically, the production of similar oxadiazine derivatives relied heavily on the synthesis of racemic mixtures followed by chiral resolution. This traditional paradigm is inherently inefficient, as it theoretically caps the maximum yield at 50% unless dynamic kinetic resolution is employed, which adds further complexity and cost. Furthermore, resolution processes often require stoichiometric amounts of chiral resolving agents, extensive crystallization cycles, and the recycling of the unwanted enantiomer, all of which inflate the cost of goods sold (COGS). From a supply chain perspective, the generation of large volumes of mother liquor containing the discarded enantiomer creates significant waste disposal burdens and environmental compliance challenges. Additionally, the multiple unit operations required for resolution extend the manufacturing lead time, reducing the agility of the supply chain to respond to market demand fluctuations.
The Novel Approach
In contrast, the methodology described in CN101391953B adopts a 'chiral pool' or 'asymmetric induction' strategy that bypasses the need for late-stage resolution. By initiating the synthesis with an enantiomerically enriched compound of Formula II, the process ensures that the stereochemical information is carried through to the final product.
As illustrated by the structure of Formula II, the chiral center is established early in the synthesis, potentially via an asymmetric oxidation of a prochiral ketone. This upstream control of chirality allows downstream reactions to proceed with substantial retention of configuration. The novel approach utilizes mild acid catalysis for hydrazone formation and Lewis acid-mediated cyclization, conditions that are compatible with sensitive functional groups. This strategic shift from 'make and separate' to 'make correctly the first time' drastically simplifies the process flow, reduces solvent usage, and enhances the overall atom economy of the manufacturing campaign.
Mechanistic Insights into Lewis Acid-Catalyzed Cyclization and Chiral Retention
The transformation of the hydrazone intermediate (Formula IV) into the cyclic diazine (Formula V) is a pivotal step driven by Lewis acid catalysis. The mechanism involves the activation of a bis(alkoxy)methane reagent, such as dimethoxymethane, by a strong Lewis acid like phosphorus pentoxide or sulfur trioxide complexes. This activation generates a highly electrophilic iminium or carbocation species that undergoes intramolecular nucleophilic attack by the hydrazone nitrogen. Crucially, this cyclization occurs distal to the chiral center at the 2-position of the indane ring. The reaction conditions are carefully tuned to avoid epimerization; the use of non-nucleophilic Lewis acids and controlled temperatures (typically 50°C to 60°C) ensures that the acidic protons alpha to the ester group are not abstracted, thereby preserving the stereochemical integrity established in the previous steps.
Following cyclization, the removal of the benzyl protecting group via catalytic hydrogenolysis is another critical operation. This step utilizes palladium on carbon under mild hydrogen pressure to cleave the N-benzyl bond without affecting the newly formed diazine ring or the ester functionality. The resulting amine (Formula VI) is then immediately acylated with a chloroformate derivative (Formula VII) to install the urea linkage. Throughout this sequence, the steric environment around the chiral quaternary carbon provides a protective shield against racemization. The rigorous control of reaction parameters, including pH during workup and temperature during solvent exchange, is essential to maintain the high enantiomeric excess required for biological efficacy. This mechanistic robustness makes the process highly suitable for transfer to large-scale reactors where heat and mass transfer dynamics differ from laboratory flasks.
How to Synthesize Enantiomerically Enriched Oxadiazine Intermediates Efficiently
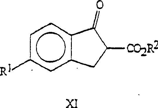
The synthesis protocol detailed in the patent provides a clear roadmap for producing these high-value intermediates with consistent quality. The process is divided into distinct operational stages that can be optimized individually or telescoped for efficiency. The initial preparation of the chiral starting material involves an enantioselective oxidation of a ketone precursor, such as Formula XI, using a chiral base and hydroperoxide.
This upstream step sets the absolute configuration for the entire molecule. Subsequent steps involve condensation with hydrazine, cyclization using dehydrating agents, and final functionalization. The detailed standardized synthesis steps see the guide below, which outlines the specific reagents, stoichiometry, and isolation techniques required to achieve pharmaceutical-grade purity.
- React enantiomerically enriched formula II with hydrazine derivative III under acid catalysis to form hydrazone IV.
- Cyclize compound IV using bis(alkoxy)methane and a Lewis acid catalyst to generate the diazine ring system V.
- Perform hydrogenolysis on compound V to remove protecting groups, followed by acylation with formula VII to yield the final product I.
Commercial Advantages for Procurement and Supply Chain Teams
For procurement managers and supply chain heads, the adoption of this enantioselective technology offers tangible benefits beyond mere technical elegance. The primary advantage lies in the drastic simplification of the manufacturing workflow. By eliminating the resolution step, the number of unit operations is significantly reduced, leading to shorter cycle times and lower capital expenditure on equipment. The process relies on commodity chemicals such as ethylene, peracids, and common solvents like methyl acetate and methanol, ensuring that raw material availability is not a bottleneck. This reliance on widely available feedstocks enhances supply chain resilience, mitigating the risk of disruptions associated with specialized or scarce reagents.
- Cost Reduction in Manufacturing: The economic impact of avoiding racemic resolution cannot be overstated. Traditional resolution discards half of the synthesized material, effectively doubling the raw material cost for the active isomer. By synthesizing the desired enantiomer directly, this process theoretically doubles the yield from the chiral starting point. Furthermore, the reduction in solvent volume and the elimination of resolving agents lead to substantial savings in waste treatment and disposal costs. The ability to recycle filtrates from the crystallization steps further improves the mass balance, driving down the variable cost per kilogram of the final intermediate.
- Enhanced Supply Chain Reliability: The robustness of the reaction conditions contributes to high batch-to-batch consistency, a key metric for supply chain reliability. The use of heterogeneous catalysts like palladium on carbon allows for easy filtration and potential reuse, minimizing the risk of metal contamination in the final product. Additionally, the process avoids cryogenic conditions or ultra-high vacuum requirements, making it adaptable to standard multipurpose chemical plants. This flexibility allows manufacturers to allocate production capacity more efficiently, ensuring timely delivery even during periods of high demand.
- Scalability and Environmental Compliance: From an environmental perspective, the process aligns well with green chemistry principles. The atom economy is improved by incorporating most of the reactant atoms into the final product. The avoidance of heavy metal catalysts in the chiral induction step (using organic bases instead) reduces the burden of heavy metal clearance testing. Moreover, the solvents used are largely recoverable and recyclable. The scalability is evidenced by the use of standard exothermic control measures and filtration techniques, facilitating a smooth transition from pilot plant to commercial scale production without significant re-engineering.
Frequently Asked Questions (FAQ)
The following questions address common technical and commercial inquiries regarding the production of these oxadiazine intermediates. The answers are derived from the specific embodiments and examples provided in the patent literature, ensuring accuracy and relevance for technical decision-makers. Understanding these nuances helps in evaluating the feasibility of integrating this chemistry into existing supply chains.
Q: How is chiral purity maintained during the synthesis of oxadiazine intermediates?
A: The process utilizes an enantiomerically enriched starting material (Formula II) prepared via asymmetric oxidation. The subsequent reaction steps (a-d) proceed with substantial retention of configuration at the chiral center, ensuring the final product maintains high optical purity without requiring difficult resolution steps.
Q: What are the key advantages of this synthetic route for commercial production?
A: This route eliminates the need for resolving racemic mixtures, which typically wastes 50% of the material. By starting with an enriched enantiomer and using robust Lewis acid catalysis and hydrogenolysis, the process offers higher overall yields, reduced solvent consumption, and simplified purification protocols suitable for large-scale manufacturing.
Q: Can this process be scaled for industrial agrochemical manufacturing?
A: Yes, the reaction conditions utilize standard industrial reagents such as phosphorus pentoxide, palladium on carbon, and common organic solvents. The steps are designed to be telescoped where possible, such as combining hydrogenolysis and acylation, which enhances operational efficiency and scalability for metric-ton production.
Partnering with NINGBO INNO PHARMCHEM: Your Reliable Oxadiazine Intermediate Supplier
At NINGBO INNO PHARMCHEM, we recognize the critical role that high-purity intermediates play in the development of next-generation agrochemicals. Our technical team has extensively analyzed the synthetic pathways described in CN101391953B and possesses the expertise to execute this complex chemistry with precision. We offer comprehensive CDMO services tailored to the unique requirements of chiral synthesis, ensuring that your project moves seamlessly from gram-scale optimization to metric-ton commercial production. Our facilities are equipped with state-of-the-art reactors capable of handling Lewis acid catalysis and hydrogenation under strict safety protocols, guaranteeing both quality and throughput.
We invite you to collaborate with us to optimize your supply chain for arthropodicidal agents. Our engineers can provide a Customized Cost-Saving Analysis to quantify the potential economic benefits of switching to this enantioselective route. By leveraging our scale and expertise, we can help you reduce lead times and secure a stable supply of critical materials. Please contact our technical procurement team to request specific COA data, route feasibility assessments, and a detailed proposal for your upcoming projects. Let us be your partner in turning innovative chemistry into commercial success.
Engineering Bottleneck?
Can't scale up this synthesis? Upload your target structure or CAS, and our CDMO team will evaluate the industrial feasibility within 24 hours. Request Evaluation →
