Optimizing Fipronil Intermediate Production: A Novel Bromine-Free Synthetic Route for Global Supply Chains
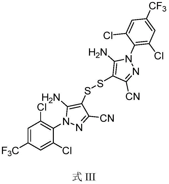
The global demand for high-efficiency broad-spectrum pesticides continues to drive innovation in the synthesis of key agrochemical building blocks. Specifically, the production of 5-amino-3-cyano-1-(2,6-dichloro-4-trifluoromethyl-phenyl) pyrazole disulfide, a critical precursor for the veterinary insecticide fipronil, requires rigorous attention to purity and process safety. Recent advancements detailed in patent CN113480482B introduce a transformative synthetic methodology that addresses long-standing environmental and efficiency challenges in this sector. This novel approach replaces hazardous halogenating agents with a greener oxidative coupling system, ensuring that the resulting intermediate meets the stringent quality specifications required for downstream pharmaceutical and agrochemical applications. By leveraging ammonium thiocyanate and hydrogen peroxide, manufacturers can achieve external standard contents exceeding 98.5%, thereby securing a reliable supply chain for high-purity agrochemical intermediates.
The Limitations of Conventional Methods vs. The Novel Approach
The Limitations of Conventional Methods
Historically, the industrial preparation of pyrazole disulfide derivatives has relied heavily on processes involving sulfur monochloride or elemental bromine, both of which present significant operational and environmental liabilities. When sulfur monochloride is employed, the reaction system is prone to generating a complex mixture of mono-, tri-, tetra-, and penta-sulfur impurities, alongside elemental sulfur, which complicates the purification landscape immensely. Furthermore, these conventional routes often necessitate rigorous water removal treatments because the presence of moisture leads to the formation of hydrogen chloride gas, requiring complex nitrogen purging systems to maintain reaction integrity. Alternatively, methods utilizing bromine in acetic acid and 1,2-dichloroethane solvents generate substantial volumes of toxic bromine-containing wastewater, imposing heavy costs on waste treatment facilities and posing severe corrosion risks to standard stainless steel reactor infrastructure. These legacy processes not only increase the cost reduction barriers in agrochemical manufacturing but also introduce variability in product quality that can jeopardize subsequent synthetic steps.
The Novel Approach
In stark contrast, the innovative pathway disclosed in the reference patent utilizes a two-step sequence initiated by the reaction of the pyrazole substrate with ammonium thiocyanate and hydrogen peroxide. This method fundamentally alters the reaction landscape by avoiding the use of volatile and corrosive bromine entirely, thereby eliminating the generation of halogenated waste streams and reducing the environmental footprint of the manufacturing process. The transition to an oxidative coupling mechanism using hydrogen peroxide allows for milder reaction conditions and significantly simplifies the workup procedure, as the byproducts are primarily water and benign salts. This shift not only enhances the safety profile of the operation but also streamlines the production workflow, making it highly suitable for the commercial scale-up of complex agrochemical intermediates. By adopting this greener chemistry, producers can achieve higher yields and purity levels while simultaneously mitigating the regulatory and disposal costs associated with traditional halogenation techniques.
Mechanistic Insights into Oxidative Thiocyanation and Condensation
The core of this synthetic breakthrough lies in the precise control of the oxidative thiocyanation followed by an alkaline condensation. In the first stage, the 5-amino-3-cyano-1-(2,6-dichloro-4-trifluoromethylphenyl) pyrazole reacts with ammonium thiocyanate in the presence of hydrogen peroxide at temperatures ranging from -20°C to 10°C. This low-temperature environment is critical for stabilizing the transient thiocyanide intermediate (II), preventing premature decomposition or side reactions that could lead to impurity formation. The hydrogen peroxide acts as a clean oxidant, facilitating the introduction of the thiocyanate group without introducing heavy metal contaminants or persistent organic pollutants. Following the formation of intermediate II, the system undergoes a condensation reaction under strictly controlled alkaline conditions, where the pH is maintained between 9.0 and 11.0 using ammonia or sodium hydroxide. This specific pH window is vital; deviations below 9.0 result in incomplete conversion of the thiocyanide, while values above 11.0 trigger degradation of the disulfide bond, underscoring the need for precise process analytical technology during manufacturing.
Impurity control is inherently built into this mechanism through the selection of reagents and the optimization of solvent systems. The use of acetonitrile or DMF as solvents in the first step ensures excellent solubility of the reactants, promoting homogeneous reaction kinetics that minimize the formation of localized hot spots which often lead to byproduct generation. Furthermore, the subsequent addition of water in the second step not only serves as a medium for the alkaline condensation but also facilitates the precipitation of the final product upon cooling, allowing for easy filtration and isolation. The process demonstrates exceptional robustness, with HPLC purity consistently exceeding 99.35% and external standard content surpassing 98.5% across various scales. This high level of chemical fidelity is essential for R&D directors who require materials with defined impurity profiles to ensure the efficacy and safety of the final veterinary drug product, fipronil.
How to Synthesize 5-amino-3-cyano-1-(2,6-dichloro-4-trifluoromethyl-phenyl) pyrazole disulfide Efficiently
Implementing this synthesis route requires adherence to specific operational parameters to maximize yield and safety. The process begins with the careful addition of hydrogen peroxide to a mixture of the pyrazole substrate and ammonium thiocyanate, maintaining strict temperature control to manage the exotherm. Once the thiocyanide intermediate is formed, the reaction mixture is treated with an alkaline solution and heated to promote dimerization. The detailed standardized synthetic steps, including precise molar ratios, stirring rates, and quenching procedures, are outlined in the technical guide below to ensure reproducibility and compliance with Good Manufacturing Practices (GMP).
- React 5-amino-3-cyano-1-(2,6-dichloro-4-trifluoromethylphenyl) pyrazole with ammonium thiocyanate and hydrogen peroxide at -20°C to 10°C to form the thiocyanide intermediate.
- Adjust the reaction mixture to pH 9.0-11.0 using ammonia or sodium hydroxide and heat to 50-80°C to induce condensation into the final disulfide product.
- Cool the reaction to 0-20°C, filter the precipitate, and dry to obtain the final product with over 98.5% external standard content.
Commercial Advantages for Procurement and Supply Chain Teams
For procurement managers and supply chain heads, the adoption of this bromine-free synthesis route offers substantial strategic advantages beyond mere technical performance. By eliminating the need for hazardous bromine and complex sulfur chlorides, the process drastically simplifies the raw material sourcing landscape, reducing dependency on volatile halogen markets and enhancing supply continuity. The removal of corrosive reagents also extends the lifespan of reactor vessels and piping, leading to significant capital expenditure savings on equipment maintenance and replacement over the long term. Moreover, the simplified waste profile means that effluent treatment becomes more straightforward and cost-effective, aligning with increasingly stringent global environmental regulations and reducing the risk of production shutdowns due to compliance issues.
- Cost Reduction in Manufacturing: The elimination of expensive and hazardous bromine reagents directly lowers the bill of materials, while the simplified purification process reduces solvent consumption and energy usage during distillation and drying phases. By avoiding the generation of difficult-to-treat bromine-containing wastewater, facilities can achieve substantial cost savings in waste management and environmental compliance fees. Additionally, the higher yield and purity reduce the need for re-processing or recycling off-spec material, further optimizing the overall cost structure of the manufacturing campaign.
- Enhanced Supply Chain Reliability: Utilizing widely available and stable reagents like ammonium thiocyanate and hydrogen peroxide mitigates the risk of supply disruptions often associated with specialized halogenating agents. The robustness of the reaction conditions allows for flexible scheduling and faster turnaround times between batches, ensuring that delivery commitments to downstream formulators are met consistently. This reliability is crucial for maintaining the production schedules of finished veterinary products, preventing stockouts in the market.
- Scalability and Environmental Compliance: The process is designed for seamless transition from laboratory scale to multi-ton commercial production, with inherent safety features that minimize the risk of runaway reactions. The eco-friendly nature of the reagents and byproducts facilitates easier permitting and regulatory approval in various jurisdictions, accelerating the time-to-market for new production lines. This scalability ensures that the supply chain can respond dynamically to fluctuations in global demand for fipronil and related agrochemicals.
Frequently Asked Questions (FAQ)
The following questions address common technical and commercial inquiries regarding the production of this critical fipronil intermediate. These answers are derived directly from the patented methodology and reflect the practical considerations necessary for successful industrial implementation. Understanding these nuances helps stakeholders make informed decisions regarding process adoption and vendor qualification.
Q: Why is the bromine-free method superior for fipronil intermediate production?
A: Conventional methods utilize elemental bromine or sulfur monochloride, which generate hazardous bromine-containing wastewater and complex sulfur impurities. The novel route uses hydrogen peroxide and ammonium thiocyanate, eliminating toxic halogen waste and simplifying purification.
Q: What is the critical pH range for the condensation step?
A: Maintaining a pH between 9.0 and 11.0 is crucial. Below pH 9.0, the thiocyanide intermediate does not fully condense, while above pH 11.0, product degradation occurs, significantly reducing yield and purity below the required 95% threshold.
Q: How does this process impact industrial scalability?
A: By removing the need for strict water control associated with sulfur monochloride and avoiding corrosive bromine handling, the process reduces equipment maintenance and safety protocols, facilitating easier commercial scale-up from kilogram to metric ton quantities.
Partnering with NINGBO INNO PHARMCHEM: Your Reliable 5-amino-3-cyano-1-(2,6-dichloro-4-trifluoromethyl-phenyl) pyrazole disulfide Supplier
At NINGBO INNO PHARMCHEM, we recognize the critical role that high-quality intermediates play in the global agrochemical supply chain. As a seasoned CDMO partner, we possess extensive experience scaling diverse pathways from 100 kgs to 100 MT/annual commercial production, ensuring that your project transitions smoothly from development to full-scale manufacturing. Our facilities are equipped with rigorous QC labs and adhere to stringent purity specifications, guaranteeing that every batch of 5-amino-3-cyano-1-(2,6-dichloro-4-trifluoromethyl-phenyl) pyrazole disulfide meets the exacting standards required for veterinary drug registration. We are committed to delivering consistency, quality, and technical excellence in every shipment.
We invite you to collaborate with us to optimize your supply chain and reduce manufacturing costs through advanced process chemistry. Our technical procurement team is ready to provide a Customized Cost-Saving Analysis tailored to your specific volume requirements and quality targets. Please contact us to request specific COA data and route feasibility assessments, and let us demonstrate how our expertise can support your long-term strategic goals in the agrochemical sector.
Engineering Bottleneck?
Can't scale up this synthesis? Upload your target structure or CAS, and our CDMO team will evaluate the industrial feasibility within 24 hours. Request Evaluation →
