Scalable Iron-Catalyzed Synthesis of Pyrrolo[1,2-a]indole Alkaloid Derivatives for Pharmaceutical Applications
Scalable Iron-Catalyzed Synthesis of Pyrrolo[1,2-a]indole Alkaloid Derivatives for Pharmaceutical Applications
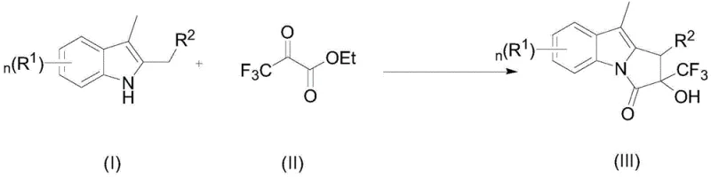
The pharmaceutical industry continuously seeks efficient, cost-effective, and environmentally sustainable pathways for synthesizing complex heterocyclic scaffolds, particularly those exhibiting potent biological activity. A significant breakthrough in this domain is detailed in patent CN110878099B, which discloses a novel preparation method for pyrrolo[1,2-α]indole alkaloid derivatives. These compounds are of immense interest due to their potential anti-tumor properties and presence in bioactive natural products. The disclosed technology leverages a tandem carbon-hydrogen (C-H) and nitrogen-hydrogen (N-H) bond activation strategy, utilizing an inexpensive iron catalyst to drive the transformation. This approach represents a paradigm shift from traditional noble-metal catalysis, offering a robust platform for the commercial scale-up of complex pharmaceutical intermediates. By operating under mild conditions and employing readily available reagents such as ethyl trifluoropyruvate and 2,3-dimethylindole derivatives, this methodology addresses critical pain points in modern drug substance manufacturing, including cost volatility and supply chain fragility.
The Limitations of Conventional Methods vs. The Novel Approach
The Limitations of Conventional Methods
Historically, the construction of the pyrrolo[1,2-α]indole core has relied on synthetic routes that are fraught with operational challenges and economic inefficiencies. Prior art methods, such as the Wittig reaction pathway utilizing o-nitrobenzaldehyde, suffer from inherent instability of the phosphine ylide intermediates, leading to poor reproducibility and difficult handling on a large scale. Furthermore, alternative strategies involving palladium-catalyzed intramolecular oxidative coupling, while effective in small-scale laboratory settings, impose severe constraints on industrial adoption. The reliance on expensive noble metal catalysts like palladium not only inflates raw material costs but also necessitates rigorous and costly downstream processing to remove trace metal residues to meet regulatory limits for high-purity pharmaceutical intermediates. Additionally, these conventional routes often require harsh reaction conditions, including elevated temperatures and strong bases, which can compromise substrate stability and limit the scope of compatible functional groups, thereby restricting the diversity of analogues available for medicinal chemistry optimization.
The Novel Approach
In stark contrast, the methodology described in patent CN110878099B introduces a streamlined, one-pot protocol that circumvents these historical bottlenecks. The process initiates with the reaction of a 2,3-dimethylindole derivative and ethyl trifluoropyruvate in the presence of an iron catalyst, followed by the addition of tetramethylguanidine (TMG) to effect cyclization. This tandem sequence constructs the requisite carbon-carbon and carbon-nitrogen bonds with remarkable efficiency. The use of iron sulfate as the catalyst is a strategic masterstroke, replacing precious metals with an earth-abundant, non-toxic alternative. The reaction proceeds smoothly at temperatures ranging from 10°C to 40°C, eliminating the need for energy-intensive heating or cryogenic cooling. This mildness preserves the integrity of sensitive functional groups, allowing for a broader substrate scope that includes halogenated and alkoxy-substituted indoles. The result is a versatile synthetic platform that delivers high yields—often exceeding 80%—with minimal byproduct formation, establishing a new benchmark for cost reduction in pharmaceutical intermediate manufacturing.
![General reaction scheme for the synthesis of pyrrolo[1,2-a]indole alkaloid derivatives using iron catalysis](/insights/img/pyrrolo-indole-alkaloid-iron-catalysis-pharma-supplier-20260303095950-01.webp)
Mechanistic Insights into Iron-Catalyzed C-H/N-H Activation
The success of this transformation hinges on the unique ability of the iron catalyst to facilitate sequential bond activations under mild conditions. Mechanistically, the reaction likely proceeds through an initial Lewis acid-mediated activation of the ethyl trifluoropyruvate by the iron species, enhancing its electrophilicity towards the nucleophilic C3 position of the indole ring. This step forms a crucial intermediate that sets the stage for the subsequent cyclization. The introduction of tetramethylguanidine, a strong organic base, then triggers the intramolecular nucleophilic attack of the indole nitrogen onto the activated carbonyl or imine species, closing the five-membered ring to form the pyrrolo[1,2-α]fused system. The trifluoromethyl group plays a dual role: it acts as a strong electron-withdrawing group to stabilize the intermediate anions and serves as a valuable pharmacophore in the final drug candidate, enhancing metabolic stability and lipophilicity. This intricate interplay between the iron catalyst and the organic base ensures high regioselectivity, preventing the formation of unwanted isomers that often plague Friedel-Crafts type alkylations.
From an impurity control perspective, this mechanism offers distinct advantages over radical-based or high-temperature thermal processes. The mild reaction window (10-40°C) significantly suppresses thermal degradation pathways and polymerization side reactions that are common with reactive indole substrates. Furthermore, the stoichiometric control afforded by the specific molar ratios—typically 1:3:0.1 for indole, ester, and catalyst respectively—ensures that the reaction kinetics are tightly managed. The use of toluene as a preferred solvent further aids in impurity management; its moderate polarity and high boiling point allow for effective heat dissipation and easy removal of volatile byproducts during the workup. The final purification via reduced pressure distillation is highly effective because the product profile is clean, with the major impurities being unreacted starting materials that are easily separated. This level of control is critical for a reliable pharmaceutical intermediate supplier aiming to deliver materials that meet the stringent purity specifications required for clinical trial applications.
How to Synthesize Pyrrolo[1,2-a]indole Derivatives Efficiently
Implementing this synthesis in a production environment requires strict adherence to the optimized parameters defined in the patent to ensure consistent quality and yield. The process is designed as a telescoped one-pot operation, which minimizes material handling and reduces the overall cycle time. Operators must first establish the correct stoichiometric balance, specifically maintaining the molar ratio of the indole derivative to tetramethylguanidine between 1:10 and 1:12 to drive the cyclization to completion without excessive base usage. The reaction temperature should be carefully monitored, as deviations outside the 10-40°C range could impact the reaction rate or selectivity. The following guide outlines the standardized operational procedure derived from the patent examples, serving as a foundational protocol for process chemists looking to adopt this technology.
- Mix 2,3-dimethylindole derivative, ethyl trifluoropyruvate, iron sulfate catalyst, and toluene solvent in a reactor.
- Stir the mixture at 10-40°C for 12 hours to allow the initial addition reaction to proceed.
- Add tetramethylguanidine to the reaction mixture and continue stirring at 10-40°C for 12-24 hours to complete cyclization.
- Purify the final product via reduced pressure distillation to obtain the target pyrrolo[1,2-a]indole derivative.
Commercial Advantages for Procurement and Supply Chain Teams
For procurement managers and supply chain directors, the transition to this iron-catalyzed methodology represents a strategic opportunity to optimize the cost structure and resilience of the supply chain for oncology-related intermediates. The elimination of palladium removes a significant variable cost driver, as noble metal prices are subject to extreme market volatility and geopolitical supply risks. Moreover, the simplified workflow reduces the number of unit operations, directly translating to lower labor and utility costs per kilogram of output. The robustness of the reaction conditions means that production schedules are less likely to be disrupted by equipment limitations or safety incidents associated with hazardous reagents. This reliability is paramount for maintaining continuous supply to downstream API manufacturers who operate on just-in-time inventory models.
- Cost Reduction in Manufacturing: The substitution of expensive palladium catalysts with inexpensive iron sulfate results in a drastic reduction in direct material costs. Beyond the catalyst itself, the economic benefits extend to the purification stage; the absence of heavy metal contaminants eliminates the need for specialized scavenger resins or complex chromatography steps often required to meet ppm-level metal specifications. This simplification of the downstream processing train significantly lowers the cost of goods sold (COGS). Additionally, the high atom economy of the tandem reaction minimizes waste generation, reducing the costs associated with solvent recovery and waste disposal. The overall process efficiency allows for competitive pricing strategies without compromising margin, making it an attractive option for generic drug manufacturers seeking to optimize their production economics.
- Enhanced Supply Chain Reliability: The starting materials for this synthesis, specifically 2,3-dimethylindole derivatives and ethyl trifluoropyruvate, are commodity chemicals available from multiple global suppliers. This diversification of the raw material base mitigates the risk of single-source dependency, a common vulnerability in fine chemical supply chains. The mild reaction conditions also imply that the process can be executed in standard glass-lined or stainless steel reactors without requiring exotic metallurgy or specialized high-pressure equipment. This flexibility allows for production to be easily shifted between different manufacturing sites or contract manufacturing organizations (CMOs) in the event of regional disruptions, ensuring business continuity and reducing lead time for high-purity pharmaceutical intermediates.
- Scalability and Environmental Compliance: Scaling chemical processes from the bench to the plant often introduces unforeseen thermal and mixing challenges, but this protocol is inherently scalable due to its low exothermicity and ambient temperature operation. The use of toluene, a solvent with well-established recovery and recycling protocols in the industry, aligns with green chemistry principles by facilitating solvent reuse. Furthermore, the iron catalyst is environmentally benign, simplifying the regulatory compliance landscape regarding heavy metal discharge in wastewater. The high yields reported (up to 90% in optimized examples) mean that less raw material is consumed per unit of product, reducing the overall environmental footprint of the manufacturing process. This sustainability profile is increasingly important for pharmaceutical companies aiming to meet corporate social responsibility (CSR) goals and regulatory expectations for green manufacturing practices.
Frequently Asked Questions (FAQ)
The following questions address common technical and commercial inquiries regarding the implementation of this iron-catalyzed synthesis route. These insights are derived directly from the experimental data and technical specifications provided in patent CN110878099B, offering clarity for R&D teams evaluating the feasibility of this technology for their specific pipeline projects. Understanding these nuances is essential for making informed decisions about process adoption and vendor selection.
Q: What are the advantages of using an iron catalyst over palladium for this synthesis?
A: Iron catalysts are significantly cheaper and more environmentally friendly than noble metals like palladium. Furthermore, iron residues are easier to remove, reducing downstream purification costs and meeting stringent pharmaceutical purity standards without complex heavy metal scavenging steps.
Q: What is the substrate scope for this pyrrolo[1,2-a]indole synthesis method?
A: The method demonstrates excellent versatility, accommodating various substituents on the indole ring including halogens (Cl, Br), alkyl groups (methyl, isopropyl), and electron-withdrawing groups like trifluoromethoxy, yielding products with high efficiency.
Q: Is this process suitable for large-scale commercial manufacturing?
A: Yes, the reaction operates under mild conditions (10-40°C) and uses common solvents like toluene. The absence of sensitive reagents and the robustness of the iron catalyst make it highly scalable for industrial production from kilograms to tons.
Partnering with NINGBO INNO PHARMCHEM: Your Reliable Pyrrolo[1,2-a]indole Derivative Supplier
At NINGBO INNO PHARMCHEM, we recognize the critical importance of robust synthetic routes in the development of next-generation therapeutics. Our team of expert process chemists has thoroughly analyzed the technology disclosed in CN110878099B and is fully equipped to translate this laboratory-scale innovation into commercial reality. We possess extensive experience scaling diverse pathways from 100 kgs to 100 MT/annual commercial production, ensuring that your project transitions smoothly from clinical supply to full-scale manufacturing. Our state-of-the-art facilities are designed to handle sensitive organometallic reactions with precision, and our rigorous QC labs enforce stringent purity specifications to guarantee that every batch meets the highest industry standards. We understand that consistency is key in the pharmaceutical supply chain, and our quality management systems are certified to provide the traceability and reliability you demand.
We invite you to collaborate with us to leverage this advanced iron-catalyzed technology for your specific drug development needs. Whether you require custom synthesis of novel analogues or bulk production of established intermediates, our technical procurement team is ready to assist. Contact us today to request a Customized Cost-Saving Analysis tailored to your project volume. We encourage you to reach out to our technical procurement team to obtain specific COA data and comprehensive route feasibility assessments that demonstrate how we can optimize your supply chain for efficiency and cost-effectiveness.
