Scalable Iron-Catalyzed Synthesis of Pyrrolo[1,2-a]indole Alkaloid Derivatives for Pharma
Scalable Iron-Catalyzed Synthesis of Pyrrolo[1,2-a]indole Alkaloid Derivatives for Pharma
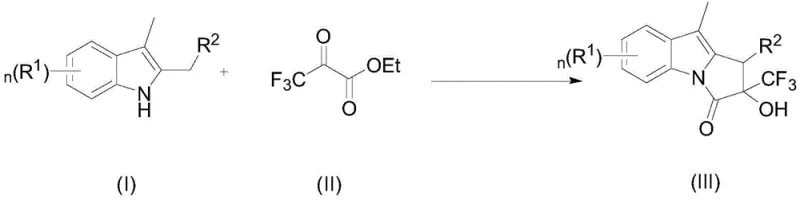
The pharmaceutical industry continuously seeks robust and economically viable pathways for constructing complex heterocyclic scaffolds, particularly those exhibiting potent biological activities such as anti-tumor properties. Patent CN110878099B introduces a groundbreaking preparation method for pyrrolo[1,2-α]indole alkaloid derivatives, utilizing a novel carbon-hydrogen and nitrogen-hydrogen bond tandem reaction strategy. This technology represents a significant leap forward in organic synthesis, replacing traditional noble metal catalysts with an environmentally benign and cost-effective iron catalytic system. By leveraging inexpensive iron sulfate as the catalyst and employing mild reaction conditions, this process addresses critical pain points in the manufacturing of high-value pharmaceutical intermediates. The methodology not only ensures high reproducibility and controllability but also expands the substrate scope to include a wide variety of functionalized indole derivatives. For global procurement and R&D teams, this patent offers a compelling alternative to legacy synthetic routes, promising enhanced supply chain stability and reduced production costs.
The Limitations of Conventional Methods vs. The Novel Approach
The Limitations of Conventional Methods
Historically, the synthesis of pyrrolo[1,2-α]indole alkaloid compounds has relied heavily on methodologies that present substantial operational and economic challenges for large-scale manufacturing. Traditional routes often involve Wittig reaction preparation strategies starting from o-nitrobenzaldehyde, which suffer from poor substrate stability and the inherent difficulties associated with handling phosphine ylides. Furthermore, existing literature describes palladium-catalyzed intra-molecular oxidative coupling reactions that, while effective on a small scale, are plagued by complicated operational procedures and harsh reaction conditions. The reliance on noble metal palladium not only inflates the raw material costs significantly but also introduces stringent requirements for residual metal control in the final active pharmaceutical ingredients. These conventional methods frequently exhibit low yields and limited substrate applicability, making them unsuitable for the rigorous demands of commercial-scale production where consistency and cost-efficiency are paramount. Consequently, the industry has faced a persistent bottleneck in sourcing these valuable alkaloid derivatives reliably and affordably.
The Novel Approach
In stark contrast to these legacy techniques, the novel approach detailed in the patent utilizes a highly efficient iron-catalyzed C-H/N-H bond activation strategy to construct the target pyrrolo[1,2-α]indole skeleton in a one-pot fashion. This method employs readily available 2,3-dimethylindole derivatives and ethyl trifluoropyruvate as starting materials, reacting them under the influence of an iron catalyst followed by the addition of tetramethylguanidine. The transition to an iron-based catalytic system drastically reduces the environmental footprint and eliminates the toxicity concerns associated with heavy metals like palladium. The reaction proceeds under remarkably mild conditions, typically ranging from 10°C to 40°C, which minimizes energy consumption and enhances process safety. This streamlined protocol not only simplifies the operational workflow but also delivers superior yields and purity profiles across a broad range of substrates. By integrating carbon-carbon and carbon-nitrogen bond formation in a single sequence, this approach offers a transformative solution for the cost reduction in pharmaceutical intermediates manufacturing.
![General reaction scheme showing iron-catalyzed synthesis of pyrrolo[1,2-a]indole derivatives from indole and ethyl trifluoropyruvate](/insights/img/pyrrolo-indole-alkaloid-synthesis-supplier-20260304013655-01.webp)
Mechanistic Insights into Iron-Catalyzed Cyclization
The core of this technological breakthrough lies in the sophisticated mechanistic pathway facilitated by the iron catalyst, which enables the simultaneous activation of inert C-H and N-H bonds. The reaction initiates with the coordination of the iron species to the indole substrate, promoting an electrophilic attack on the ethyl trifluoropyruvate to form a key intermediate. This step is critical as it establishes the carbon-carbon bond necessary for the subsequent cyclization, occurring with high regioselectivity due to the specific electronic properties of the iron center. Following this initial coupling, the addition of tetramethylguanidine acts as a base to deprotonate the nitrogen atom, triggering an intramolecular nucleophilic attack that closes the five-membered ring. This tandem sequence effectively constructs the complex pyrrolo[1,2-α]indole framework without the need for pre-functionalized substrates or protecting groups. The use of iron sulfate ensures that the catalytic cycle remains robust and tolerant to various functional groups, preventing side reactions that often plague transition metal catalysis. Understanding this mechanism is vital for R&D directors aiming to optimize the process further or adapt it for analogous heterocyclic systems.
Impurity control is another critical aspect where this iron-catalyzed mechanism excels, offering a cleaner reaction profile compared to oxidative coupling methods. The mild reaction temperatures prevent thermal degradation of sensitive functional groups, thereby minimizing the formation of decomposition by-products that are difficult to separate. Furthermore, the absence of palladium eliminates the risk of metal-mediated side reactions and simplifies the downstream purification process, as there is no need for expensive scavengers to remove residual noble metals. The high selectivity of the iron catalyst ensures that the desired cyclization product is formed predominantly, leading to crude products with high purity that require minimal refinement. This inherent cleanliness of the reaction translates directly into higher overall yields and reduced waste generation, aligning with green chemistry principles. For quality assurance teams, this means a more predictable impurity spectrum and easier validation of the manufacturing process for regulatory submissions.
![Chemical structure of Compound I-1 representing the core pyrrolo[1,2-a]indole scaffold with trifluoromethyl group](/insights/img/pyrrolo-indole-alkaloid-synthesis-supplier-20260304013655-02.png)
How to Synthesize Pyrrolo[1,2-a]indole Derivatives Efficiently
The practical implementation of this synthesis route is designed for ease of execution, requiring standard laboratory equipment and commercially available reagents. The process begins by charging a reactor with the 2,3-dimethylindole derivative, ethyl trifluoropyruvate, and the iron catalyst in a suitable solvent such as toluene. After stirring the mixture at ambient or slightly elevated temperatures for a defined period to allow the initial coupling, tetramethylguanidine is introduced to drive the cyclization to completion. The detailed standardized synthesis steps, including precise molar ratios and workup procedures, are outlined in the guide below to ensure reproducible results for technical teams.
- Mix 2,3-dimethylindole derivative, ethyl trifluoropyruvate, iron sulfate catalyst, and toluene solvent in a reactor.
- Stir the mixture at mild temperatures between 10-40°C for approximately 12 hours to initiate the C-H activation.
- Add tetramethylguanidine (TMG) to the reaction, continue stirring for 12-24 hours, then purify via distillation.
Commercial Advantages for Procurement and Supply Chain Teams
For procurement managers and supply chain leaders, the adoption of this iron-catalyzed technology offers profound strategic advantages that extend beyond simple chemical efficiency. The shift from noble metal catalysts to abundant iron salts fundamentally alters the cost structure of producing these complex alkaloid derivatives, removing a major variable expense from the bill of materials. Additionally, the mild operating conditions reduce the energy load on manufacturing facilities and lower the safety risks associated with high-temperature or high-pressure reactions. This combination of factors results in a more resilient supply chain capable of delivering high-purity intermediates with greater consistency and reliability. The scalability of the process ensures that production can be ramped up quickly to meet market demand without the bottlenecks typically associated with precious metal sourcing.
- Cost Reduction in Manufacturing: The elimination of expensive palladium catalysts serves as a primary driver for significant cost optimization in the production of these pharmaceutical intermediates. By substituting noble metals with inexpensive iron sulfate, the raw material costs are drastically lowered, and the downstream processing expenses related to metal removal are virtually eliminated. This economic efficiency allows for more competitive pricing strategies without compromising on the quality or purity of the final product. Furthermore, the high yields reported in the patent examples indicate a maximized utilization of starting materials, reducing waste disposal costs and improving the overall atom economy of the process. These cumulative savings create a substantial financial advantage for manufacturers looking to optimize their production budgets.
- Enhanced Supply Chain Reliability: Relying on iron-based catalysis mitigates the supply chain risks associated with the volatility of precious metal markets and geopolitical constraints on palladium availability. Iron sulfate is a commodity chemical with a stable and abundant global supply, ensuring that production schedules are not disrupted by raw material shortages. The robustness of the reaction conditions also means that the process is less sensitive to minor variations in utility supplies or environmental conditions, further enhancing operational continuity. This reliability is crucial for maintaining consistent inventory levels and meeting the just-in-time delivery requirements of major pharmaceutical clients. Consequently, partners adopting this technology can offer a more secure and dependable supply of critical intermediates.
- Scalability and Environmental Compliance: The mild nature of this synthesis, operating at temperatures between 10°C and 40°C, facilitates straightforward scale-up from laboratory benchtop to industrial tonnage production. The reduced energy requirements and the absence of toxic heavy metals align perfectly with increasingly stringent environmental regulations and corporate sustainability goals. Waste streams generated from this process are easier to treat and dispose of, lowering the environmental compliance burden and associated costs. The simplicity of the one-pot procedure minimizes the number of unit operations required, reducing the physical footprint of the manufacturing plant and capital expenditure. This scalability ensures that the technology can grow alongside market demand, supporting long-term business expansion.
Frequently Asked Questions (FAQ)
The following questions address common technical and commercial inquiries regarding the implementation of this patented synthesis method. These answers are derived directly from the experimental data and beneficial effects described in the patent documentation to provide clarity for potential partners. Understanding these details is essential for evaluating the feasibility of integrating this technology into existing production lines.
Q: Why is the iron-catalyzed method superior to palladium-catalyzed routes for indole alkaloids?
A: The iron-catalyzed method eliminates the need for expensive and toxic noble metal palladium catalysts, significantly reducing raw material costs and simplifying heavy metal removal processes required for pharmaceutical compliance.
Q: What are the typical reaction conditions for this synthesis?
A: The process operates under remarkably mild conditions, typically between 10-40°C, using common solvents like toluene, which enhances operational safety and energy efficiency compared to harsh traditional methods.
Q: Does this method support diverse substrate modifications?
A: Yes, the protocol demonstrates excellent substrate tolerance, accommodating various substituents such as halogens, alkyl groups, and alkoxy groups on the indole ring without compromising yield or selectivity.
Partnering with NINGBO INNO PHARMCHEM: Your Reliable Pyrrolo[1,2-a]indole Derivative Supplier
At NINGBO INNO PHARMCHEM, we recognize the transformative potential of this iron-catalyzed synthesis route for the global pharmaceutical market. As a leading CDMO expert, we possess extensive experience scaling diverse pathways from 100 kgs to 100 MT/annual commercial production, ensuring that your project transitions smoothly from development to full-scale manufacturing. Our state-of-the-art facilities are equipped with rigorous QC labs capable of meeting stringent purity specifications required for advanced drug substances. We are committed to leveraging this innovative technology to deliver high-quality pyrrolo[1,2-a]indole derivatives that meet the exacting standards of the international healthcare industry.
We invite you to collaborate with us to explore how this cost-effective and sustainable synthesis method can enhance your product portfolio. Our technical procurement team is ready to provide a Customized Cost-Saving Analysis tailored to your specific volume requirements and quality needs. Please contact us today to request specific COA data and route feasibility assessments, and let us demonstrate how our expertise can drive value and efficiency in your supply chain.
