Advanced One-Pot Synthesis of 2-Trifluoromethyl Quinazolinones for Scalable Pharmaceutical Intermediate Production
Advanced One-Pot Synthesis of 2-Trifluoromethyl Quinazolinones for Scalable Pharmaceutical Intermediate Production
The development of efficient synthetic routes for nitrogen-containing heterocycles remains a cornerstone of modern medicinal chemistry, particularly for scaffolds exhibiting potent biological activity. Patent CN112480015B introduces a groundbreaking multi-component one-pot method for synthesizing 2-trifluoromethyl substituted quinazolinones, a structural motif prevalent in numerous therapeutic agents ranging from antifungals to anticancer drugs. This technology leverages a palladium-catalyzed carbonylation cascade that transforms inexpensive nitro compounds and trifluoroethylimidoyl chlorides into high-value intermediates without the need for hazardous high-pressure carbon monoxide gas. For R&D directors and procurement specialists, this represents a paradigm shift towards safer, more cost-effective manufacturing processes that maintain high purity standards while drastically simplifying the operational workflow. The ability to introduce the trifluoromethyl group efficiently enhances the metabolic stability and lipophilicity of the final drug candidates, addressing key pharmacokinetic challenges early in the development pipeline.
The Limitations of Conventional Methods vs. The Novel Approach
The Limitations of Conventional Methods
Traditional synthetic pathways for constructing the quinazolinone core often rely on harsh reaction conditions that pose significant safety and scalability challenges for industrial applications. Conventional methods frequently necessitate the use of high-pressure carbon monoxide gas, requiring specialized autoclaves and rigorous safety protocols that increase capital expenditure and operational complexity. Furthermore, many existing routes depend on pre-activated substrates such as 2-bromoformylanilines or acid anhydrides, which are not only expensive to procure but also generate substantial chemical waste during their preparation. These legacy processes often suffer from narrow substrate scope, limiting the ability of chemists to explore diverse chemical space for structure-activity relationship studies. The reliance on stoichiometric amounts of toxic reagents and the generation of heavy metal waste further complicate the environmental compliance profile, making these methods less attractive for green chemistry initiatives and large-scale commercial production.
The Novel Approach
In stark contrast, the methodology disclosed in CN112480015B utilizes a clever tandem reaction sequence that operates under atmospheric pressure using solid surrogates for carbon monoxide. By employing molybdenum hexacarbonyl as a safe, solid CO source, the process eliminates the risks associated with handling toxic gases, thereby enhancing workplace safety and reducing infrastructure costs. The reaction initiates with the reduction of readily available nitro compounds to amines in situ, which then undergo condensation with trifluoroethylimidoyl chloride to form the necessary amidine intermediate. This one-pot strategy consolidates multiple synthetic steps into a single operation, significantly reducing solvent consumption, purification time, and overall processing costs. The use of cheap and abundant nitro compounds as starting materials provides a robust economic advantage, ensuring a stable supply chain for critical pharmaceutical intermediates while maintaining high reaction efficiency and excellent functional group tolerance.

Mechanistic Insights into Pd-Catalyzed Carbonylation Cascade
The catalytic cycle driving this transformation is a sophisticated interplay of reduction, condensation, and carbonylation events orchestrated by a palladium catalyst system. Initially, the molybdenum hexacarbonyl serves a dual purpose: it acts as the carbon monoxide source for the carbonylation step and potentially facilitates the reduction of the nitro group to the corresponding amine under the thermal conditions provided. Once the amine is generated, it reacts with the trifluoroethylimidoyl chloride in the presence of a base to form a trifluoroacetamidine derivative. The palladium catalyst, coordinated with the dppp ligand, then inserts into the carbon-iodine bond of the imidoyl chloride moiety, forming a reactive organopalladium species. Subsequent insertion of the carbon monoxide released from the molybdenum complex generates an acyl-palladium intermediate, which is poised for the final cyclization event.
The final stage of the mechanism involves an intramolecular nucleophilic attack where the nitrogen atom of the amidine moiety attacks the acyl-palladium center, facilitated by the base. This step forms a seven-membered palladacycle intermediate, which subsequently undergoes reductive elimination to release the desired 2-trifluoromethyl substituted quinazolinone product and regenerate the active palladium catalyst. This mechanistic pathway is highly advantageous because it avoids the isolation of unstable intermediates, thereby minimizing decomposition and side reactions that could lead to impurities. The robustness of this catalytic system allows for the accommodation of various electronic and steric environments on the aromatic rings, as evidenced by the successful synthesis of derivatives with electron-withdrawing halogens and electron-donating alkyl groups. Understanding this mechanism is crucial for process chemists aiming to optimize reaction parameters for specific substrates to ensure maximum yield and purity.

How to Synthesize 2-Trifluoromethyl Quinazolinone Efficiently
Implementing this synthesis requires precise control over reaction parameters to maximize the efficiency of the multi-component cascade. The protocol involves charging a reaction vessel with the palladium catalyst, ligand, base, CO surrogate, and the two primary organic substrates in an aprotic solvent such as 1,4-dioxane. The detailed standardized synthesis steps see the guide below.
- Combine palladium chloride, dppp ligand, sodium carbonate, Mo(CO)6, trifluoroethylimidoyl chloride, and nitro compound in an organic solvent like dioxane.
- Heat the reaction mixture to 120°C and maintain stirring for 16 to 30 hours to allow the carbonylation cascade to complete.
- Upon completion, filter the mixture, mix with silica gel, and purify via column chromatography to isolate the target quinazolinone.
Commercial Advantages for Procurement and Supply Chain Teams
From a commercial perspective, this patented technology offers compelling advantages that directly address the pain points of procurement managers and supply chain heads in the fine chemical industry. The shift from high-pressure gas reactions to solid-state reagents fundamentally alters the risk profile of the manufacturing process, allowing for production in standard glass-lined reactors rather than expensive high-pressure vessels. This transition not only lowers the barrier to entry for contract manufacturing organizations but also significantly reduces the lead time associated with equipment qualification and safety audits. Furthermore, the reliance on nitro compounds, which are commodity chemicals produced on a massive global scale, ensures a resilient supply chain that is less susceptible to the volatility seen with specialized, custom-synthesized building blocks. The simplicity of the workup procedure, involving basic filtration and chromatography, streamlines the downstream processing, leading to faster batch turnover and improved asset utilization.
- Cost Reduction in Manufacturing: The economic benefits of this process are driven primarily by the substitution of expensive, pre-activated substrates with low-cost nitro compounds and the elimination of high-pressure infrastructure. By removing the need for specialized CO gas handling systems, manufacturers can avoid significant capital expenditures on safety equipment and maintenance, resulting in substantial overhead savings. Additionally, the one-pot nature of the reaction reduces solvent usage and energy consumption associated with multiple isolation and purification steps, contributing to a lower cost of goods sold. The high atom economy of the cascade reaction minimizes waste disposal costs, further enhancing the overall profitability of the manufacturing campaign without compromising on product quality.
- Enhanced Supply Chain Reliability: Utilizing widely available starting materials like nitrobenzenes and simple imidoyl chlorides mitigates the risk of supply disruptions that often plague the pharmaceutical intermediate market. Unlike complex chiral building blocks or rare earth catalysts, the reagents for this process are sourced from established bulk chemical suppliers, ensuring consistent availability and price stability. This reliability allows procurement teams to negotiate better long-term contracts and secure inventory buffers against market fluctuations. Moreover, the robustness of the reaction conditions means that the process is less sensitive to minor variations in raw material quality, reducing the frequency of batch failures and ensuring a steady flow of material to downstream API synthesis units.
- Scalability and Environmental Compliance: The process is inherently designed for scalability, having been demonstrated to work effectively from milligram to gram scales with consistent results. The use of solid Mo(CO)6 instead of gaseous CO simplifies the scale-up process, as it removes the mass transfer limitations and safety hazards associated with gas-liquid reactions in large reactors. From an environmental standpoint, the method aligns with green chemistry principles by reducing the use of hazardous reagents and minimizing waste generation. The ability to operate at atmospheric pressure and use common organic solvents facilitates easier regulatory approval and compliance with increasingly stringent environmental protection laws, making it a sustainable choice for long-term production strategies.
Frequently Asked Questions (FAQ)
The following questions address common technical inquiries regarding the implementation and optimization of this synthesis method. These insights are derived directly from the experimental data and scope defined in the patent documentation, providing clarity on reaction conditions and substrate compatibility. Understanding these details is essential for technical teams evaluating the feasibility of adopting this route for their specific project needs.
Q: What are the advantages of using nitro compounds over amines in this synthesis?
A: Nitro compounds are significantly cheaper and more readily available than their amine counterparts. Furthermore, they serve as both the nitrogen source and the precursor for the ring closure, simplifying the starting material procurement and reducing overall raw material costs.
Q: Why is Mo(CO)6 preferred over gaseous carbon monoxide in this process?
A: Using solid Mo(CO)6 eliminates the need for high-pressure gas equipment and specialized safety infrastructure required for handling toxic CO gas. This solid surrogate releases CO in situ under heating, making the process much safer and easier to scale in standard laboratory or pilot plant reactors.
Q: What is the substrate scope for the R2 group in the nitro compound?
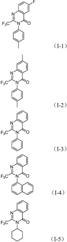
A: The method demonstrates excellent compatibility with various substituents. The R2 group can be C1-C10 alkyl, cycloalkyl, or substituted/unsubstituted aryl groups, including those with electron-donating or electron-withdrawing groups like methyl, methoxy, halogens, and trifluoromethyl.
Partnering with NINGBO INNO PHARMCHEM: Your Reliable 2-Trifluoromethyl Quinazolinone Supplier
At NINGBO INNO PHARMCHEM, we recognize the critical importance of robust synthetic methodologies in accelerating drug discovery and development timelines. Our team of expert process chemists has extensive experience scaling diverse pathways from 100 kgs to 100 MT/annual commercial production, ensuring that promising laboratory discoveries can be seamlessly translated into reliable industrial supply. We are committed to delivering high-purity pharmaceutical intermediates that meet stringent purity specifications, supported by our rigorous QC labs equipped with state-of-the-art analytical instrumentation. By leveraging advanced catalytic technologies like the one described in CN112480015B, we can offer our partners a competitive edge through cost-effective and scalable manufacturing solutions tailored to their unique molecular requirements.
We invite you to collaborate with us to explore how this innovative synthesis route can optimize your supply chain and reduce your overall development costs. Please contact our technical procurement team to request a Customized Cost-Saving Analysis specific to your project. We are ready to provide specific COA data and comprehensive route feasibility assessments to demonstrate how our capabilities align with your strategic goals for high-quality intermediate sourcing.
