Advanced One-Pot Synthesis of 2-Trifluoromethyl Quinazolinones for Scalable Pharmaceutical Production
Advanced One-Pot Synthesis of 2-Trifluoromethyl Quinazolinones for Scalable Pharmaceutical Production
The landscape of pharmaceutical intermediate manufacturing is constantly evolving, driven by the need for safer, more efficient, and cost-effective synthetic routes. A significant breakthrough in this domain is documented in patent CN112480015B, which discloses a robust multi-component one-pot method for synthesizing 2-trifluoromethyl substituted quinazolinones. These heterocyclic scaffolds are ubiquitous in medicinal chemistry, serving as the core structure for numerous bioactive molecules ranging from antifungal agents to anticancer drugs. As illustrated in the structural diversity of known quinazolinone-based pharmaceuticals such as Methaqualone and Afloqualone, the incorporation of a trifluoromethyl group can drastically enhance metabolic stability and lipophilicity. This patent presents a transformative approach that leverages palladium catalysis to construct these valuable cores from inexpensive nitro compounds, offering a compelling alternative to traditional, hazard-prone methodologies.

For research and development directors overseeing process chemistry, the introduction of this technology represents a pivotal shift towards more streamlined synthesis. The ability to generate complex fluorinated heterocycles in a single operational step reduces the cumulative loss of material often associated with multi-step sequences. Furthermore, the use of nitro compounds as starting materials opens up a vast chemical space, allowing for the rapid generation of analog libraries essential for structure-activity relationship (SAR) studies. By adopting this methodology, organizations can accelerate their drug discovery timelines while maintaining rigorous control over impurity profiles, ensuring that the resulting high-purity pharmaceutical intermediates meet the stringent quality standards required for downstream clinical applications.
The Limitations of Conventional Methods vs. The Novel Approach
The Limitations of Conventional Methods
Historically, the construction of the quinazolinone ring system has been fraught with significant technical and safety challenges that hinder efficient commercial scale-up of complex heterocycles. Conventional synthetic strategies often rely on the use of high-pressure carbon monoxide gas, which necessitates specialized autoclave equipment and rigorous safety protocols to prevent leakage and exposure. Additionally, many established routes require pre-activated substrates, such as 2-bromoformylanilines or acid anhydrides, which are not only expensive to procure but also generate substantial amounts of stoichiometric waste during the activation steps. These factors collectively contribute to elevated production costs and extended lead times, creating bottlenecks for procurement managers seeking reliable sources of key building blocks. Moreover, the narrow substrate scope of older methods often fails to accommodate sensitive functional groups, limiting the structural diversity accessible to medicinal chemists.
The Novel Approach
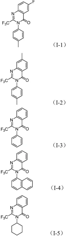
In stark contrast, the methodology outlined in patent CN112480015B introduces a paradigm shift by utilizing a palladium-catalyzed carbonylation cascade that operates under much milder and safer conditions. This innovative route employs molybdenum hexacarbonyl [Mo(CO)6] as a solid carbon monoxide surrogate, effectively bypassing the need for handling toxic high-pressure CO gas while still delivering the necessary carbonyl unit for ring closure. The reaction seamlessly integrates trifluoroethylimidoyl chloride and various nitro compounds in a one-pot fashion, demonstrating exceptional functional group tolerance across a wide range of substituents including halogens, alkyls, and alkoxy groups. As shown in the specific product examples, this versatility allows for the precise engineering of molecular properties, enabling the synthesis of tailored derivatives like compounds I-1 through I-5 with high efficiency. This approach not only simplifies the operational workflow but also significantly enhances the economic viability of producing these high-value intermediates.

Mechanistic Insights into Pd-Catalyzed Carbonylation Cascade
Understanding the mechanistic underpinnings of this transformation is crucial for optimizing reaction parameters and ensuring reproducibility at scale. The proposed catalytic cycle initiates with the reduction of the nitro group to the corresponding amine by Mo(CO)6, which simultaneously serves as the source of carbon monoxide upon thermal decomposition. This generated amine then undergoes a base-promoted nucleophilic attack on the trifluoroethylimidoyl chloride to form a trifluoroacetamidine intermediate in situ. Subsequently, the palladium catalyst, coordinated by the dppp ligand, inserts into the carbon-iodine bond of the imidoyl chloride moiety, generating a reactive organopalladium species. The released carbon monoxide then inserts into the carbon-palladium bond to form an acyl-palladium intermediate, setting the stage for the final cyclization event.

Following the carbonyl insertion, the intramolecular nucleophilic attack by the nitrogen atom onto the acyl-palladium center facilitates the formation of a seven-membered palladacycle, which subsequently undergoes reductive elimination to release the desired 2-trifluoromethyl quinazolinone product and regenerate the active catalyst. This intricate cascade is meticulously balanced by the choice of base, typically sodium carbonate, which neutralizes the hydrochloric acid byproduct and drives the equilibrium forward. For R&D teams, grasping these mechanistic details is vital for troubleshooting potential issues such as incomplete conversion or the formation of side products. The robustness of this mechanism ensures that even with varying electronic properties of the substrates, the reaction proceeds with high fidelity, thereby guaranteeing a consistent and clean impurity profile that simplifies downstream purification processes.
How to Synthesize 2-Trifluoromethyl Quinazolinone Efficiently
Implementing this synthesis in a laboratory or pilot plant setting requires strict adherence to the optimized conditions to maximize yield and purity. The process is designed to be operationally simple, involving the mixing of all reagents in a suitable aprotic solvent followed by heating. Detailed standard operating procedures regarding stoichiometry, temperature control, and workup protocols are essential for achieving the reported efficiencies. For a comprehensive guide on the exact experimental steps and safety precautions, please refer to the standardized synthesis instructions below.
- Combine palladium chloride, dppp ligand, sodium carbonate, Mo(CO)6, trifluoroethylimidoyl chloride, and nitro compound in an organic solvent like 1,4-dioxane.
- Heat the reaction mixture to 120°C and stir for 16 to 30 hours to allow the carbonylation cascade and cyclization to proceed.
- Upon completion, filter the mixture, mix with silica gel, and purify via column chromatography to isolate the target quinazolinone.
Commercial Advantages for Procurement and Supply Chain Teams
From a strategic sourcing perspective, this patented methodology offers profound advantages that directly address the pain points of modern supply chain management and cost control. By shifting away from hazardous high-pressure gases and expensive pre-functionalized starting materials, manufacturers can achieve substantial cost savings in raw material procurement and infrastructure maintenance. The reliance on commodity chemicals like nitro compounds, which are abundantly available in the global market, mitigates the risk of supply disruptions and price volatility often associated with specialty reagents. Furthermore, the simplified one-pot nature of the reaction reduces the number of unit operations, leading to lower energy consumption and reduced labor costs per kilogram of product. These factors combine to create a highly competitive cost structure that allows suppliers to offer more attractive pricing without compromising on quality or delivery reliability.
- Cost Reduction in Manufacturing: The elimination of high-pressure carbon monoxide equipment removes a significant capital expenditure barrier, allowing for production in standard glass-lined or stainless steel reactors. Additionally, the use of inexpensive nitro compounds as precursors instead of costly activated anilines drastically lowers the bill of materials. The high atom economy of the one-pot cascade minimizes waste generation, reducing the costs associated with waste disposal and environmental compliance. Consequently, the overall manufacturing overhead is significantly reduced, enabling more competitive pricing strategies for the final API intermediates.
- Enhanced Supply Chain Reliability: Sourcing nitro compounds and trifluoroethylimidoyl chlorides is straightforward due to their widespread availability from multiple global vendors, reducing dependency on single-source suppliers. The robustness of the reaction conditions means that production schedules are less likely to be impacted by minor variations in raw material quality or environmental fluctuations. This stability ensures a consistent flow of goods, allowing procurement managers to maintain leaner inventory levels while confidently meeting production deadlines. The ability to scale this process from gram to multi-kilogram quantities without re-optimization further secures the supply chain against demand spikes.
- Scalability and Environmental Compliance: The use of Mo(CO)6 as a solid CO source inherently improves workplace safety by eliminating the risks of gas leaks, aligning with increasingly stringent occupational health and safety regulations. The reaction generates minimal hazardous byproducts, primarily inorganic salts that are easily separated and disposed of, simplifying the environmental permitting process for new facilities. The high conversion rates observed reduce the burden on purification systems, lowering solvent usage and energy requirements for distillation. This green chemistry profile not only enhances corporate sustainability metrics but also future-proofs the manufacturing process against tightening environmental legislation.
Frequently Asked Questions (FAQ)
To assist technical decision-makers in evaluating the feasibility of this technology for their specific projects, we have compiled answers to common inquiries based on the patent data. These questions address critical aspects such as safety, substrate scope, and scalability, providing a clear picture of what to expect during technology transfer. Understanding these nuances is key to integrating this synthesis into existing production pipelines effectively.
Q: What is the advantage of using Mo(CO)6 over gaseous CO in this synthesis?
A: Using Mo(CO)6 as a solid carbon monoxide substitute eliminates the need for high-pressure gas equipment, significantly enhancing operational safety and simplifying the reaction setup for scale-up.
Q: Can this method tolerate diverse functional groups on the nitro compound?
A: Yes, the protocol demonstrates excellent substrate compatibility, successfully accommodating halogens, alkyl groups, and trifluoromethyl groups on the aromatic ring without compromising yield.
Q: Is this process suitable for large-scale industrial production?
A: The method is designed for scalability, utilizing cheap and readily available starting materials like nitro compounds and operating under standard heating conditions, making it ideal for commercial manufacturing.
Partnering with NINGBO INNO PHARMCHEM: Your Reliable 2-Trifluoromethyl Quinazolinone Supplier
At NINGBO INNO PHARMCHEM, we recognize the critical role that advanced synthetic methodologies play in accelerating drug development and commercialization. Our team of expert chemists possesses extensive experience scaling diverse pathways from 100 kgs to 100 MT/annual commercial production, ensuring that promising laboratory discoveries are seamlessly translated into industrial reality. We are committed to delivering high-purity pharmaceutical intermediates that adhere to stringent purity specifications, supported by our rigorous QC labs equipped with state-of-the-art analytical instrumentation. By leveraging technologies like the one described in CN112480015B, we can offer our partners a distinct competitive advantage through superior process efficiency and product quality.
We invite you to engage with our technical procurement team to discuss how this innovative synthesis can be tailored to your specific project needs. Whether you require a Customized Cost-Saving Analysis for your current supply chain or need to evaluate the feasibility of new analogs, we are ready to provide the data-driven insights you need. Please contact us today to request specific COA data and route feasibility assessments, and let us demonstrate how our expertise can drive value for your organization.
