Efficient Palladium-Catalyzed Carbonylation for Scalable 2,3-Dihydroquinolone Production
Efficient Palladium-Catalyzed Carbonylation for Scalable 2,3-Dihydroquinolone Production
The development of robust synthetic routes for nitrogen-containing heterocycles remains a cornerstone of modern medicinal chemistry, particularly for scaffolds exhibiting potent biological activities. Patent CN112239456B discloses a highly efficient preparation method for substituted 2,3-dihydroquinolone compounds, a structural motif prevalent in numerous bioactive molecules ranging from antitumor agents to analgesics. As illustrated in the provided structural examples, these scaffolds serve as critical cores for drugs demonstrating significant anticancer activity against human cells and potent pain-relieving properties. The ability to access these complex architectures through a streamlined, transition-metal catalyzed process represents a significant advancement for reliable pharmaceutical intermediate suppliers seeking to optimize their manufacturing pipelines.

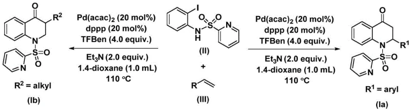
This patented methodology leverages a palladium-catalyzed carbonylation reaction that utilizes N-pyridine sulfonyl-o-iodoaniline and various olefins as primary starting materials. By employing a solid carbon monoxide surrogate rather than hazardous gaseous CO, the process not only enhances operational safety but also improves the practicality of the reaction for large-scale applications. The invention highlights a versatile approach capable of tolerating a wide range of functional groups, thereby enabling the rapid diversification of the chemical library for drug discovery programs. For procurement managers and supply chain heads, this translates to a more resilient sourcing strategy for high-purity heterocyclic compounds essential for next-generation therapeutics.
The Limitations of Conventional Methods vs. The Novel Approach
The Limitations of Conventional Methods
Traditionally, the synthesis of carbonyl-containing heterocycles like 2,3-dihydroquinolones has often relied on direct carbonylation using carbon monoxide gas under high pressure, which poses severe safety risks and requires specialized high-pressure reactor equipment that increases capital expenditure. Furthermore, conventional methods frequently suffer from limited substrate scope, where sensitive functional groups on the aromatic ring or the alkene chain may degrade under harsh thermal or acidic conditions, leading to complex impurity profiles that are difficult to separate. Many existing protocols also struggle with regioselectivity issues when dealing with unsymmetrical olefins, resulting in mixtures of isomers that drastically reduce the overall yield and complicate downstream purification processes. These technical bottlenecks often result in prolonged development timelines and inflated production costs, making it challenging for manufacturers to achieve cost reduction in API manufacturing while maintaining consistent quality standards.
The Novel Approach
In contrast, the novel approach detailed in this patent utilizes a sophisticated palladium catalytic system comprising Pd(acac)₂ and the bidentate ligand dppp (1,3-bis(diphenylphosphino)propane) to facilitate a mild and highly selective carbonylation. A key innovation is the use of 1,3,5-trimethoxyphenyl ester (TFBen) as a safe and efficient solid carbon monoxide surrogate, which releases CO in situ under controlled thermal conditions, thereby eliminating the need for dangerous gas handling infrastructure. The reaction proceeds smoothly in dioxane at 110 °C, demonstrating exceptional compatibility with electron-rich and electron-deficient aryl olefins, as well as aliphatic and silyl-substituted alkenes. As shown in the general reaction scheme, this method allows for the precise construction of the 2,3-dihydroquinolone core with high regiocontrol, ensuring that the substituent R is installed exactly where needed for optimal biological activity.

Mechanistic Insights into Palladium-Catalyzed Carbonylative Cyclization
The mechanistic pathway of this transformation involves a well-defined catalytic cycle initiated by the oxidative addition of the palladium(0) species into the carbon-iodine bond of the N-pyridine sulfonyl-o-iodoaniline substrate. This step generates a reactive aryl-palladium intermediate, which subsequently undergoes migratory insertion of the carbon monoxide molecule released from the TFBen surrogate to form an acyl-palladium species. The coordination and subsequent insertion of the olefin into the acyl-palladium bond is the critical step that establishes the new carbon-carbon bond and defines the stereochemistry of the final product. Finally, an intramolecular nucleophilic attack or reductive elimination closes the ring, releasing the substituted 2,3-dihydroquinolone product and regenerating the active palladium catalyst for the next turnover. This elegant mechanism ensures high atom economy and minimizes the formation of unwanted byproducts, which is crucial for maintaining a clean impurity profile in pharmaceutical intermediates.
From an impurity control perspective, the choice of the pyridine sulfonyl protecting group on the aniline nitrogen plays a vital role in directing the cyclization and preventing polymerization of the olefin or other side reactions. The specific electronic properties of the dppp ligand stabilize the palladium center throughout the cycle, preventing the formation of palladium black which can lead to catalyst deactivation and metal contamination in the final product. By optimizing the molar ratios of the catalyst, ligand, and CO surrogate, the process achieves high conversion rates even with sterically hindered substrates, ensuring that the residual starting materials are minimized. This level of mechanistic control provides R&D directors with the confidence that the process can be reliably scaled without compromising the stringent purity specifications required for clinical grade materials.
How to Synthesize Substituted 2,3-Dihydroquinolone Efficiently
The synthesis protocol outlined in the patent offers a straightforward procedure that balances reaction efficiency with operational simplicity, making it ideal for both laboratory optimization and pilot plant campaigns. The process begins with the careful charging of the palladium catalyst, ligand, base, and CO surrogate into a reaction vessel containing the organic solvent, followed by the addition of the iodoaniline derivative and the specific olefin of interest. The reaction mixture is then heated to the optimized temperature and maintained for a sufficient duration to drive the equilibrium towards the product, after which standard workup procedures involving filtration and chromatography yield the target compound. For detailed standardized operating procedures and specific stoichiometric ratios tailored to your specific substrate, please refer to the technical guide below.
- Charge a reaction vessel with palladium bis(acetylacetonate), dppp ligand, triethylamine, TFBen CO surrogate, N-pyridine sulfonyl-o-iodoaniline, and the desired olefin in dioxane.
- Heat the reaction mixture to 110 °C and stir continuously for 48 hours to ensure complete conversion of the starting materials.
- Upon completion, filter the mixture, load onto silica gel, and purify via column chromatography to isolate the high-purity substituted 2,3-dihydroquinolone product.
Commercial Advantages for Procurement and Supply Chain Teams
For procurement managers and supply chain leaders, the adoption of this synthetic route offers tangible strategic benefits that extend beyond mere chemical yield, addressing critical pain points related to safety, cost, and scalability. The shift from gaseous carbon monoxide to a solid surrogate fundamentally alters the risk profile of the manufacturing process, removing the need for specialized high-pressure containment systems and reducing the regulatory burden associated with handling toxic gases. This simplification of the process infrastructure directly contributes to significant cost savings by lowering capital investment requirements and minimizing the need for extensive safety monitoring systems during production runs. Furthermore, the use of commercially available and inexpensive starting materials, such as simple olefins and readily synthesized iodoanilines, ensures a stable and predictable supply chain that is less susceptible to market volatility.
- Cost Reduction in Manufacturing: The elimination of high-pressure CO gas cylinders and the associated safety infrastructure leads to a drastic reduction in operational overhead and equipment maintenance costs. Additionally, the high efficiency of the palladium catalyst system means that lower catalyst loadings can potentially be used while maintaining high yields, further reducing the cost of goods sold for the final intermediate. The simplified post-treatment process, which involves basic filtration and standard chromatography, reduces solvent consumption and labor hours compared to more complex multi-step syntheses, resulting in substantial overall cost optimization.
- Enhanced Supply Chain Reliability: The reliance on commodity chemicals like dioxane, triethylamine, and various olefins ensures that raw material sourcing is robust and not dependent on niche suppliers with long lead times. The versatility of the method to accept a wide range of olefin substrates allows for flexible manufacturing planning, enabling producers to switch between different product variants without major retooling or process redevelopment. This flexibility is crucial for maintaining supply continuity in the face of fluctuating demand for specific pharmaceutical intermediates.
- Scalability and Environmental Compliance: The reaction conditions are mild enough to be safely scaled from gram to kilogram and eventually to tonnage levels without encountering the exponential safety risks associated with exothermic high-pressure gas reactions. The use of a solid CO surrogate minimizes the release of volatile organic compounds and toxic gases into the environment, aligning with increasingly strict global environmental regulations and sustainability goals. The clean reaction profile reduces the volume of hazardous waste generated during purification, simplifying waste disposal logistics and lowering environmental compliance costs.
Frequently Asked Questions (FAQ)
The following questions address common technical and commercial inquiries regarding the implementation of this palladium-catalyzed carbonylation technology, providing clarity on its practical application and benefits. These insights are derived directly from the experimental data and technical specifications disclosed in the patent documentation, ensuring accuracy and relevance for industry professionals. Understanding these details is essential for evaluating the feasibility of integrating this method into existing production workflows.
Q: What are the safety advantages of using TFBen over carbon monoxide gas?
A: Using 1,3,5-trimethoxyphenyl ester (TFBen) as a solid carbon monoxide surrogate eliminates the need for high-pressure CO gas cylinders, significantly reducing operational hazards and simplifying reactor requirements for industrial scale-up.
Q: What is the substrate scope for the olefin component in this synthesis?
A: The method demonstrates excellent compatibility with various olefins, including substituted aryl alkenes (with methyl, chloro, fluoro groups), linear and branched alkyl alkenes, and even silyl-substituted alkenes, yielding products with high efficiency.
Q: How does this method impact the purity profile of the final intermediate?
A: The catalytic system utilizes a specific ligand (dppp) and mild conditions that minimize side reactions, resulting in a clean crude reaction mixture that allows for straightforward purification to meet stringent pharmaceutical purity specifications.
Partnering with NINGBO INNO PHARMCHEM: Your Reliable Substituted 2,3-Dihydroquinolone Supplier
At NINGBO INNO PHARMCHEM, we recognize the critical importance of accessing high-quality intermediates for the development of life-saving medications, and we are uniquely positioned to support your needs with our advanced synthetic capabilities. Our team possesses extensive experience scaling diverse pathways from 100 kgs to 100 MT/annual commercial production, ensuring that we can meet your volume requirements whether you are in the early stages of drug discovery or preparing for market launch. We adhere to stringent purity specifications and operate rigorous QC labs to guarantee that every batch of substituted 2,3-dihydroquinolone we deliver meets the highest international standards for pharmaceutical applications.
We invite you to collaborate with us to leverage this innovative synthetic route for your specific project needs, unlocking new possibilities for your drug development pipeline. Please contact our technical procurement team today to request a Customized Cost-Saving Analysis tailored to your volume requirements. We are ready to provide specific COA data and comprehensive route feasibility assessments to demonstrate how our expertise can accelerate your timeline and optimize your budget.
