Advanced Palladium-Catalyzed Carbonylation for Scalable 2-Trifluoromethyl Quinazolinone Production
Advanced Palladium-Catalyzed Carbonylation for Scalable 2-Trifluoromethyl Quinazolinone Production
The pharmaceutical and fine chemical industries are constantly seeking robust methodologies to access complex heterocyclic scaffolds that serve as critical building blocks for next-generation therapeutics. Patent CN112125856A introduces a groundbreaking preparation method for 2-trifluoromethyl substituted quinazolinone derivatives, addressing long-standing challenges in safety and efficiency. This technology leverages a transition metal palladium-catalyzed carbonylation tandem reaction, utilizing readily available o-iodoaniline and trifluoroethylimidoyl chloride as starting materials. The strategic incorporation of the trifluoromethyl group is paramount, as it significantly enhances the metabolic stability, lipophilicity, and bioavailability of the parent molecule, making these derivatives highly desirable candidates for drug discovery programs targeting inflammation, viral infections, and cancer.
Furthermore, the innovation lies not just in the product structure but in the operational safety and scalability of the process. By replacing toxic gaseous carbon monoxide with a solid surrogate, specifically 1,3,5-tricarboxylate phenol ester (TFBen), the method mitigates severe safety risks associated with high-pressure gas handling. This shift represents a pivotal advancement for reliable pharmaceutical intermediate suppliers aiming to streamline production while adhering to stringent environmental and safety regulations. The protocol operates under relatively mild conditions at 90°C in tetrahydrofuran (THF), demonstrating exceptional substrate tolerance and yielding high-purity products suitable for downstream applications.
The Limitations of Conventional Methods vs. The Novel Approach
The Limitations of Conventional Methods
Historically, the synthesis of quinazolinone derivatives has relied on methodologies that present significant operational hurdles and safety concerns. Traditional routes often involve the cyclization of anthranilamide with ethyl trifluoroacetate or trifluoroacetic anhydride, which can require harsh reaction conditions and expensive, pre-activated substrates. Other common approaches utilize isatoic anhydride or T3P-promoted tandem reactions, which frequently suffer from narrow substrate scopes and inconsistent yields. A critical bottleneck in many existing carbonylation strategies is the direct use of carbon monoxide gas. Handling toxic, colorless CO gas requires specialized high-pressure equipment and rigorous safety protocols, creating substantial barriers to commercial scale-up and increasing the overall cost of goods sold due to infrastructure requirements.
The Novel Approach
The methodology disclosed in the patent offers a transformative solution by employing a palladium-catalyzed system that utilizes solid carbon monoxide equivalents. This approach allows for the efficient construction of the quinazolinone core through a tandem reaction sequence that integrates C-N bond formation and carbonylation in a single pot. The use of TFBen as a CO source ensures a controlled release of carbon monoxide in situ, facilitating the reaction without the dangers of gas leakage or pressure buildup. This novel pathway not only simplifies the operational workflow but also expands the chemical space accessible to chemists, allowing for the introduction of diverse functional groups that were previously difficult to accommodate.

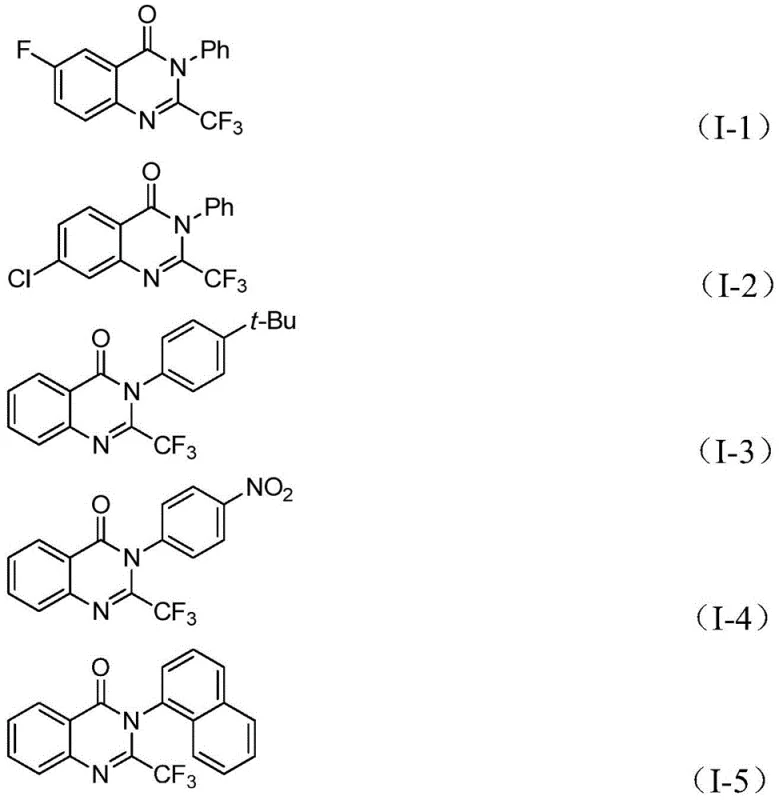
As illustrated in the reaction scheme, the convergence of o-iodoaniline and trifluoroethylimidoyl chloride under palladium catalysis leads to the formation of the target scaffold with high atom economy. The process is compatible with a wide range of substituents, enabling the rapid generation of diverse libraries for structure-activity relationship (SAR) studies. This flexibility is crucial for R&D teams looking to optimize lead compounds quickly without being constrained by synthetic limitations.
Mechanistic Insights into Palladium-Catalyzed Carbonylation Cyclization
Understanding the mechanistic underpinnings of this transformation is essential for optimizing reaction parameters and ensuring consistent quality in large-scale manufacturing. The reaction likely initiates with a base-promoted intermolecular carbon-nitrogen bond coupling between the amine and the imidoyl chloride, generating a trifluoroacetamidine intermediate. Subsequently, the palladium catalyst, typically Pd(PPh3)2Cl2 coordinated with a bidentate ligand like dppp, undergoes oxidative addition into the carbon-iodine bond of the aromatic ring. This step forms a key divalent palladium species that is primed for the next stage of the catalytic cycle.
Under the thermal conditions of 90°C, the solid CO surrogate TFBen decomposes to release carbon monoxide, which then inserts into the carbon-palladium bond to form an acyl-palladium intermediate. This insertion is the critical step that introduces the carbonyl functionality required for the lactam ring closure. Following CO insertion, the base facilitates the formation of a palladium-nitrogen bond, leading to a seven-membered ring palladium intermediate. The cycle concludes with a reductive elimination step that releases the final 2-trifluoromethyl substituted quinazolinone derivative and regenerates the active palladium catalyst. This intricate dance of organometallic steps ensures high selectivity and minimizes the formation of side products.

The structural diversity achievable through this mechanism is evident in the range of derivatives produced, as shown in the examples. From simple phenyl substitutions to more complex naphthyl and nitro-substituted variants, the catalytic system maintains robust performance. For R&D directors, this implies a high degree of confidence in the reproducibility of the synthesis across different analogues, reducing the risk of project delays due to synthetic failures. The ability to tolerate electron-withdrawing and electron-donating groups alike suggests that the electronic nature of the substrate does not drastically inhibit the catalytic turnover, a hallmark of a well-optimized industrial process.
How to Synthesize 2-Trifluoromethyl Quinazolinone Efficiently
Implementing this synthesis in a laboratory or pilot plant setting requires careful attention to reagent stoichiometry and reaction monitoring to maximize yield and purity. The standardized protocol involves charging a reactor with the palladium catalyst, ligand, base, CO source, and substrates in an aprotic solvent such as THF. Maintaining the temperature at 90°C for a duration of 16 to 30 hours is critical to ensure full conversion of the starting materials. Detailed standard operating procedures regarding the specific molar ratios and workup techniques are essential for achieving the reported high yields.
- Combine palladium catalyst, dppp ligand, potassium tert-butoxide, TFBen (solid CO source), trifluoroethylimidoyl chloride, and o-iodoaniline in an organic solvent like THF.
- Heat the reaction mixture to 90°C and maintain stirring for 16 to 30 hours to ensure complete conversion.
- Upon completion, filter the mixture, mix with silica gel, and purify via column chromatography to isolate the target derivative.
Commercial Advantages for Procurement and Supply Chain Teams
For procurement managers and supply chain heads, the adoption of this synthetic route offers tangible benefits that extend beyond mere chemical elegance. The shift from hazardous gaseous reagents to stable solid surrogates fundamentally alters the risk profile of the manufacturing process, leading to lower insurance premiums and reduced regulatory compliance burdens. Furthermore, the reliance on commercially available starting materials like o-iodoaniline derivatives and trifluoroethylimidoyl chlorides ensures a stable supply chain, minimizing the risk of raw material shortages that can disrupt production schedules.
- Cost Reduction in Manufacturing: The elimination of high-pressure gas handling equipment significantly lowers capital expenditure (CAPEX) requirements for new production lines. Additionally, the use of earth-abundant palladium catalysts in conjunction with efficient ligands allows for effective turnover numbers, reducing the cost per kilogram of the active pharmaceutical ingredient. The simplified workup procedure, involving filtration and standard chromatography, further reduces labor costs and solvent consumption compared to multi-step traditional syntheses.
- Enhanced Supply Chain Reliability: By utilizing solid reagents that are easy to store and transport, the logistics of raw material management become significantly more straightforward. There is no need for specialized gas cylinders or continuous supply lines for carbon monoxide, which enhances the resilience of the supply chain against external disruptions. This reliability is crucial for maintaining consistent delivery timelines to downstream pharmaceutical clients who depend on just-in-time inventory models.
- Scalability and Environmental Compliance: The process is inherently scalable, moving seamlessly from gram-scale laboratory experiments to multi-kilogram pilot runs without significant re-optimization. The avoidance of toxic gas emissions aligns with modern green chemistry principles and strict environmental regulations, reducing the burden on waste treatment facilities. This environmental compatibility ensures long-term operational sustainability and protects the manufacturer from potential regulatory fines or shutdowns.
Frequently Asked Questions (FAQ)
The following questions address common technical and commercial inquiries regarding the implementation of this patented technology. These insights are derived directly from the experimental data and process descriptions provided in the patent documentation, offering clarity on the practical aspects of the synthesis.
Q: What is the primary safety advantage of this synthesis method?
A: The method utilizes TFBen (1,3,5-tricarboxylate phenol ester) as a solid carbon monoxide substitute, eliminating the need for handling toxic and hazardous gaseous carbon monoxide directly.
Q: What is the substrate scope for this reaction?
A: The process demonstrates excellent compatibility with various substituents on both the o-iodoaniline and the imidoyl chloride components, including halogens, alkyl groups, and nitro groups.
Q: Why is the trifluoromethyl group significant in these derivatives?
A: Introducing a trifluoromethyl group significantly improves physicochemical properties such as metabolic stability, lipophilicity, and bioavailability, which are critical for drug efficacy.
Partnering with NINGBO INNO PHARMCHEM: Your Reliable 2-Trifluoromethyl Quinazolinone Supplier
At NINGBO INNO PHARMCHEM, we recognize the critical role that high-quality intermediates play in the success of drug development pipelines. Our team possesses extensive experience scaling diverse pathways from 100 kgs to 100 MT/annual commercial production, ensuring that we can meet the demands of both early-stage research and late-stage clinical manufacturing. We are committed to delivering products with stringent purity specifications, supported by our rigorous QC labs that utilize state-of-the-art analytical instrumentation to verify every batch.
We invite you to collaborate with us to leverage this advanced synthetic technology for your specific project needs. Our technical procurement team is ready to provide a Customized Cost-Saving Analysis tailored to your volume requirements. Please contact us to request specific COA data and route feasibility assessments, and let us demonstrate how our expertise can accelerate your path to market while optimizing your overall production costs.
