Revolutionizing Organosilicon Synthesis: A Green Heterogeneous Catalysis Approach for Commercial Scale
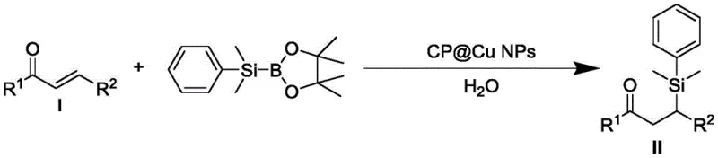
The landscape of organosilicon compound synthesis is undergoing a transformative shift driven by the urgent need for greener, more cost-effective manufacturing processes. Patent CN111995635A introduces a groundbreaking methodology utilizing a chitosan-loaded copper film material (CP@Cu NPs) to catalyze the 1,4-silyl addition of (dimethylphenylsilyl)pinacol borate to alpha,beta-unsaturated carbonyl compounds. This innovation addresses critical bottlenecks in the production of high-value pharmaceutical and agrochemical intermediates by replacing expensive noble metals and toxic homogeneous systems with a robust, heterogeneous nanocatalyst. The process operates under exceptionally mild conditions, utilizing water as the sole solvent at room temperature, which represents a paradigm shift from the energy-intensive and hazardous protocols currently dominating the industry. For global procurement and R&D teams, this technology offers a viable pathway to cost reduction in pharmaceutical intermediate manufacturing while adhering to increasingly stringent environmental regulations.
The Limitations of Conventional Methods vs. The Novel Approach
The Limitations of Conventional Methods
Historically, the construction of C(sp3)-Si bonds, a cornerstone in the synthesis of advanced materials and drug candidates, has relied heavily on precious metal catalysts such as palladium and rhodium. While effective, these metals impose prohibitive costs and supply chain vulnerabilities due to their scarcity and geopolitical concentration. Even when transitioning to cheaper copper-based systems, the industry has been plagued by significant operational drawbacks. Conventional monovalent copper catalysis typically demands rigorous anhydrous and oxygen-free environments, often requiring cryogenic temperatures as low as -78°C and the use of expensive, air-sensitive nitrogen carbene ligands. Furthermore, divalent copper systems frequently necessitate the addition of toxic auxiliary ligands like 4-picoline to achieve acceptable conversion rates. These requirements not only escalate the operational expenditure through specialized equipment and reagent costs but also complicate downstream processing, as removing residual toxic ligands and metal contaminants from the final product is a laborious and waste-generating endeavor.
The Novel Approach
The methodology disclosed in CN111995635A circumvents these historical impediments by employing zero-valent copper nanoparticles stabilized within a chitosan matrix. This novel catalyst functions as a heterogeneous system, eliminating the need for any external ligands or strong bases. The reaction proceeds efficiently in pure water at ambient temperature, drastically reducing energy consumption and safety risks associated with volatile organic solvents. The absence of toxic additives simplifies the workup procedure to a mere filtration step, allowing for the direct recovery of the catalyst and the isolation of the crude product with minimal contamination. This approach not only enhances the purity profile of the resulting high-purity organosilicon intermediates but also aligns perfectly with green chemistry principles. By leveraging the unique properties of the chitosan support, the method ensures high dispersion of the active copper sites, facilitating rapid mass transfer and high turnover frequencies even with low catalyst loading.
Mechanistic Insights into CP@Cu NPs Catalyzed Silylation
The catalytic cycle initiated by the chitosan-supported zero-valent copper nanoparticles represents a distinct mechanistic pathway compared to traditional Cu(I) or Cu(II) species. Upon dispersion in water, the substrate and the silyl boronate reagent adsorb onto the surface of the membrane material, bringing the reactants into close proximity with the active copper centers. The zero-valent copper interacts with the silicon-boron bond to form a transient copper-silyl species, which then undergoes a concerted 1,4-addition to the alpha,beta-unsaturated carbonyl system. This process is believed to proceed through a six-membered ring transition state, ensuring high regioselectivity for the beta-position. The chitosan matrix plays a crucial dual role: it stabilizes the nanoparticles against aggregation, maintaining a high surface area for catalysis, and it provides a hydrophilic environment that facilitates the interaction of organic substrates within the aqueous phase. This unique interplay between the support and the metal center is key to achieving high conversion rates without the need for phase-transfer agents or organic co-solvents.
From an impurity control perspective, this heterogeneous mechanism offers substantial advantages for regulatory compliance in pharmaceutical manufacturing. Since the catalyst remains solid throughout the reaction, there is minimal leaching of copper into the solution phase, significantly reducing the burden of heavy metal clearance in the final API. Furthermore, the exclusion of nitrogen-containing ligands eliminates a major class of genotoxic impurities that are notoriously difficult to purge. The reaction's tolerance to water also prevents side reactions often associated with moisture-sensitive reagents, such as the hydrolysis of the silyl boronate, which can occur in less controlled environments. Consequently, the impurity profile of the product is cleaner, requiring less aggressive purification steps and resulting in higher overall yields. This level of control is essential for the commercial scale-up of complex organosilicon compounds where consistency and purity are non-negotiable.
How to Synthesize Organosilicon Compounds Efficiently
The practical implementation of this technology is straightforward and designed for scalability. The process begins with the preparation of the catalyst suspension, followed by the sequential addition of substrates under ambient conditions. The reaction progress is monitored until completion, after which the solid catalyst is separated via simple filtration. The detailed standardized synthesis steps, including specific stoichiometric ratios, reaction times, and purification parameters for various substrates, are outlined below to ensure reproducibility and optimal yield.
- Prepare the catalyst mixture by adding chitosan-loaded copper film material (CP@Cu NPs) to water and stirring at room temperature to form a uniform suspension.
- Introduce the alpha,beta-unsaturated carbonyl compound and (dimethylphenylsilyl)pinacol borate to the mixture, maintaining a molar ratio of approximately 1.2-1.5: 1, and stir at room temperature for 5-10 hours.
- Filter the reaction system to recover the solid catalyst, wash the filtrate with tetrahydrofuran and acetone, concentrate via rotary evaporation, and purify the residue using column chromatography.
Commercial Advantages for Procurement and Supply Chain Teams
For procurement managers and supply chain directors, the adoption of this chitosan-copper catalytic system translates into tangible strategic benefits beyond mere technical feasibility. The shift from homogeneous to heterogeneous catalysis fundamentally alters the cost structure of organosilicon production. By eliminating the need for expensive ligands and precious metals, the raw material costs are significantly reduced. Moreover, the ability to operate in water removes the logistical and safety costs associated with the storage, handling, and disposal of large volumes of flammable organic solvents. The simplified workup process, which avoids complex extraction and washing sequences required to remove ligands, leads to substantial reductions in processing time and labor. These factors collectively contribute to a more resilient and cost-efficient supply chain, making the sourcing of these critical intermediates more reliable and predictable.
- Cost Reduction in Manufacturing: The economic impact of this technology is driven by the removal of high-cost inputs and the optimization of process efficiency. Traditional methods rely on costly ligands and strict environmental controls that drive up utility bills; in contrast, this water-based system operates at room temperature, slashing energy consumption. The catalyst itself is derived from abundant chitosan and copper, materials that are far cheaper and more available than palladium or rhodium. Additionally, the high atom economy and reduced waste generation lower the costs associated with waste treatment and disposal. These cumulative savings allow for a more competitive pricing structure for the final organosilicon compound, enhancing margin potential for downstream manufacturers.
- Enhanced Supply Chain Reliability: Supply continuity is often threatened by the reliance on specialized reagents with long lead times. The reagents used in this protocol, such as the silyl boronate and the chitosan support, are commercially available and stable, mitigating the risk of production stoppages. The robustness of the catalyst, which tolerates ambient conditions and does not require inert gas protection, simplifies logistics and storage requirements. Furthermore, the demonstrated recyclability of the catalyst means that a single batch of material can serve multiple production runs, reducing the frequency of catalyst procurement and buffering against supply fluctuations. This stability is crucial for maintaining consistent production schedules for reliable organosilicon compound suppliers.
- Scalability and Environmental Compliance: Scaling chemical processes often amplifies safety and environmental challenges, but this methodology is inherently scalable due to its benign nature. The use of water as a solvent eliminates fire hazards and VOC emissions, facilitating easier permitting and compliance with environmental regulations. The heterogeneous nature of the reaction allows for easy adaptation to continuous flow reactors or large-scale batch vessels without significant redesign. The ability to recycle the catalyst minimizes the generation of heavy metal waste, aligning with corporate sustainability goals. This ease of scale-up ensures that reducing lead time for high-purity organosilicon compounds is achievable without compromising on safety or environmental standards, making it an ideal candidate for industrial adoption.
Frequently Asked Questions (FAQ)
The following questions address common technical and commercial inquiries regarding the implementation of this catalytic system. These answers are derived directly from the experimental data and technical specifications provided in the patent documentation, ensuring accuracy and relevance for decision-makers evaluating this technology for their supply chains.
Q: What are the primary advantages of the CP@Cu NPs catalyst over traditional copper methods?
A: Unlike traditional monovalent or divalent copper methods that require toxic ligands like 4-picoline or harsh anhydrous conditions, the CP@Cu NPs catalyst operates in pure water at room temperature without any added ligands, significantly simplifying purification and reducing toxicity.
Q: Is the chitosan-supported copper catalyst reusable for multiple batches?
A: Yes, the heterogeneous nature of the catalyst allows for easy recovery via simple filtration. Experimental data demonstrates that the catalyst can be recycled and reused for at least five consecutive cycles with negligible loss in catalytic activity or yield.
Q: What types of substrates are compatible with this silylation protocol?
A: This method exhibits broad substrate scope, successfully accommodating various alpha,beta-unsaturated carbonyl compounds including chalcones with electron-donating or withdrawing groups, as well as aliphatic enones and esters, yielding high-purity organosilicon products.
Partnering with NINGBO INNO PHARMCHEM: Your Reliable Organosilicon Compound Supplier
The technological advancements detailed in CN111995635A represent a significant opportunity for the fine chemical industry to enhance efficiency and sustainability. At NINGBO INNO PHARMCHEM, we recognize the potential of such innovative catalytic systems to transform production landscapes. As a leading CDMO partner, we possess extensive experience scaling diverse pathways from 100 kgs to 100 MT/annual commercial production. Our facilities are equipped with rigorous QC labs and adhere to stringent purity specifications, ensuring that every batch of organosilicon intermediate meets the highest global standards. We are committed to leveraging cutting-edge chemistry like the chitosan-copper protocol to deliver superior value to our partners.
We invite you to explore how this technology can optimize your specific manufacturing requirements. Our technical team is ready to provide a Customized Cost-Saving Analysis tailored to your project's volume and purity needs. Please contact our technical procurement team to request specific COA data and route feasibility assessments. By collaborating with us, you gain access to a supply chain that is not only cost-effective but also technologically advanced and environmentally responsible, securing your position in the competitive global market.
