Advanced Biomimetic Synthesis of Gossypol for High-Purity Pharmaceutical Applications
The pharmaceutical landscape for male contraceptives and specialized therapeutic agents is undergoing a significant transformation driven by the innovations detailed in patent CN101475454A. This pivotal document introduces a robust biomimetic synthesis method for gossypol, a polyphenolic compound historically sourced exclusively through the inefficient extraction from cotton plants. For R&D directors and procurement strategists, this shift from biological extraction to chemical synthesis represents a paradigm change in supply chain security and product consistency. The traditional reliance on cottonseed meal limits production capacity and introduces variability in purity due to the complex matrix of natural products. By establishing a fully synthetic route starting from 2-isopropyl-3,4-dimethoxy-benzaldehyde, this technology decouples gossypol production from agricultural cycles, offering a reliable gossypol supplier pathway that ensures consistent quality regardless of harvest conditions or geographic limitations.
The Limitations of Conventional Methods vs. The Novel Approach
The Limitations of Conventional Methods
Historically, the production of gossypol has been bottlenecked by the inherent inefficiencies of extracting natural products from plant matrices. The conventional method involves immersing cottonseed or cottonseed meal in organic solvents such as acetone or ethanol, a process that is not only resource-intensive but also yields dismal results. According to the background art cited in the patent, the extraction efficiency is notoriously low, often reaching no more than 0.5% yield from the raw biomass. Furthermore, the resulting crude extract is heavily contaminated with residual organic solvents and other plant-derived impurities, necessitating complex and costly downstream purification steps. This low throughput makes cost reduction in pharmaceutical intermediate manufacturing nearly impossible when relying on extraction, as the volume of raw material required to produce a single kilogram of active ingredient is prohibitively large. Additionally, the variability in cottonseed quality from season to season introduces unacceptable risks for supply chain heads who require predictable delivery schedules for clinical or commercial programs.
The Novel Approach
In stark contrast, the biomimetic synthesis route outlined in the patent data offers a streamlined, high-yield alternative that fundamentally alters the economic model of gossypol production. By utilizing 2-isopropyl-3,4-dimethoxy-benzaldehyde as a stable, commercially available starting material, the process bypasses the need for tons of agricultural waste. The synthetic pathway is designed to build the complex binaphthyl structure of gossypol through precise chemical transformations including condensation, cyclization, and oxidative coupling. This approach allows for the generation of high-purity gossypol, with experimental embodiments demonstrating purity levels approaching 99.6%, a figure that is virtually unattainable through simple extraction without extensive chromatography. For procurement managers, this translates to a drastic simplification of the supply chain, reducing the number of vendors and logistics touchpoints. The ability to synthesize the compound on demand in a controlled reactor environment ensures that the commercial scale-up of complex pharmaceutical intermediates can proceed without the volatility associated with crop failures or seasonal price fluctuations.
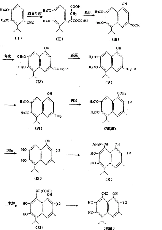
Mechanistic Insights into Biomimetic Cyclization and Coupling
The core of this technological breakthrough lies in the sophisticated orchestration of organic reactions that mimic nature's biosynthetic logic while optimizing for industrial feasibility. The process initiates with a condensation reaction between the aldehyde starting material and diethyl succinate under alkaline conditions, forming a critical half-ether intermediate. This is followed by a cyclization step utilizing acetic anhydride and sodium acetate, which constructs the naphthalene ring system essential for the final molecular architecture. A key mechanistic feature is the subsequent reduction of the carboxyl group to a hydroxymethyl group using lithium aluminum hydride, followed by a dehydration step to generate the methyl-naphthol derivative. The most critical stage, however, is the oxidative coupling of two naphthalene units. This dimerization step effectively doubles the molecular complexity in a single operation, creating the symmetric binaphthyl backbone characteristic of gossypol. Finally, the demethylation using boron tribromide (BBr3) reveals the phenolic hydroxyl groups, completing the biomimetic transformation. Each step is optimized to minimize side reactions, ensuring that the impurity profile remains manageable and well-defined throughout the synthesis.
From an impurity control perspective, this synthetic route offers distinct advantages over extraction. In biological extraction, impurities are often structurally similar lipids or pigments that are difficult to separate. In this chemical synthesis, impurities are typically unreacted intermediates or side-products from specific steps, such as incomplete demethylation or over-oxidation. These can be effectively managed through standard purification techniques like recrystallization and acid-base extraction, which are explicitly detailed in the patent embodiments. For instance, the use of specific solvent systems like benzene-methanol or chloroform-hexane allows for the selective precipitation of the desired product while leaving impurities in the mother liquor. This level of control is vital for R&D teams aiming to file regulatory dossiers, as it provides a clear understanding of the potential genotoxic impurities and residual solvents. The rigorous control over reaction parameters, such as maintaining temperatures between 150°C and 215°C during the coupling phase, further ensures reproducibility. This mechanistic clarity supports the development of high-purity OLED material or pharmaceutical grade standards where trace contaminants can compromise efficacy or safety.

How to Synthesize Gossypol Efficiently
The synthesis of gossypol via this biomimetic route requires precise adherence to reaction conditions to maximize yield and purity. The process begins with the preparation of the monomeric naphthalene precursor, followed by the critical dimerization step. Operators must carefully control the stoichiometry of reagents, particularly during the demethylation phase where boron tribromide is used, to prevent degradation of the sensitive phenolic structure. The patent provides detailed embodiments that serve as a blueprint for scaling this chemistry from gram-scale laboratory experiments to multi-kilogram pilot batches. For a comprehensive guide on the specific operational parameters, equipment requirements, and safety protocols necessary for execution, please refer to the standardized synthesis instructions below.
- Perform condensation of 2-isopropyl-3,4-dimethoxy-benzaldehyde with diethyl succinate under alkaline conditions to form the half-ether intermediate.
- Execute cyclization using acetic anhydride followed by saponification to construct the naphthalene ring system.
- Complete the synthesis via oxidative coupling of naphthol derivatives, demethylation with boron tribromide, and final hydrolysis to obtain gossypol.
Commercial Advantages for Procurement and Supply Chain Teams
For stakeholders focused on the bottom line and operational continuity, the transition to this synthetic methodology offers profound strategic benefits. The primary advantage is the elimination of supply chain fragility associated with agricultural sourcing. By shifting to a petrochemical-derived starting material like 2-isopropyl-3,4-dimethoxy-benzaldehyde, manufacturers insulate themselves from the vagaries of weather, pests, and geopolitical issues that affect cotton production. This stability is crucial for reducing lead time for high-purity pharmaceutical intermediates, as production can be scheduled continuously rather than seasonally. Furthermore, the synthetic route inherently produces a cleaner product, which significantly reduces the cost burden associated with waste disposal and solvent recovery. The ability to achieve high purity directly from the reactor minimizes the need for expensive preparative chromatography, a major cost driver in fine chemical manufacturing. Consequently, this leads to substantial cost savings in overall production overhead, making the final API more competitive in the global market.
- Cost Reduction in Manufacturing: The synthetic route drastically improves atom economy compared to extraction. While extraction requires processing massive volumes of biomass to recover minute quantities of product, synthesis builds the molecule efficiently from smaller precursors. This efficiency translates directly into lower raw material costs per kilogram of finished gossypol. Additionally, the use of common industrial solvents and reagents, such as acetic anhydride and sodium hydroxide, ensures that input costs remain stable and predictable. The removal of the extraction step also eliminates the need for large-scale solid-liquid separation equipment, reducing capital expenditure (CAPEX) for new facilities. By streamlining the process flow, manufacturers can achieve a leaner operation with lower energy consumption per unit of output, driving down the variable cost of goods sold (COGS) significantly.
- Enhanced Supply Chain Reliability: Dependence on a single agricultural source creates a single point of failure in the supply chain. The synthetic approach diversifies the supply base, allowing for the sourcing of starting materials from multiple chemical suppliers globally. This redundancy is vital for maintaining business continuity and meeting the rigorous delivery commitments required by multinational pharmaceutical partners. Moreover, the synthetic process is not subject to the biological variability that causes fluctuations in potency and impurity profiles in natural extracts. This consistency simplifies quality assurance protocols and reduces the risk of batch rejection. For supply chain heads, this means a more robust inventory management strategy, where safety stocks can be optimized based on predictable production rates rather than uncertain harvest yields.
- Scalability and Environmental Compliance: The reactions described in the patent, such as reflux and distillation, are unit operations that are well-understood and easily scalable in standard stainless steel reactors. This facilitates the commercial scale-up of complex pharmaceutical intermediates without requiring exotic or specialized equipment. From an environmental perspective, the synthetic route generates a more defined waste stream compared to the complex organic sludge produced by biomass extraction. This simplifies wastewater treatment and compliance with environmental regulations. The ability to recycle solvents like benzene and ether within a closed-loop system further enhances the sustainability profile of the manufacturing process. As regulatory pressures on green chemistry increase, having a synthetic route that minimizes ecological impact provides a competitive edge in markets with strict environmental standards.
Frequently Asked Questions (FAQ)
The following questions address common technical and commercial inquiries regarding the biomimetic synthesis of gossypol. These answers are derived directly from the technical specifications and experimental data provided in the patent documentation. They are intended to clarify the feasibility and advantages of this synthetic approach for potential partners and technical evaluators. Understanding these details is essential for assessing the fit of this technology within your existing manufacturing portfolio.
Q: Why is synthetic gossypol preferred over natural extraction?
A: Natural extraction from cottonseed yields less than 0.5% gossypol with significant solvent impurities. The biomimetic synthetic route described in patent CN101475454A achieves purity levels around 99.6% and eliminates dependence on agricultural raw materials.
Q: What are the critical intermediates in this synthesis?
A: The process relies on the formation of 3-carboxyl-5-sec.-propyl-6,7-dimethoxy-1-naphthols and its subsequent reduction to the methylol derivative. The oxidative coupling of these monomeric naphthalene units is the key step in forming the binaphthyl structure of gossypol.
Q: Is this synthetic method suitable for industrial scale-up?
A: Yes, the patent explicitly states the method is suitable for batch production. It utilizes standard organic synthesis unit operations such as reflux, distillation, and crystallization, avoiding the complex separation issues inherent in biological extraction.
Partnering with NINGBO INNO PHARMCHEM: Your Reliable Gossypol Supplier
At NINGBO INNO PHARMCHEM, we recognize the transformative potential of the biomimetic synthesis route for gossypol and are uniquely positioned to bring this technology to commercial fruition. Our team possesses extensive experience scaling diverse pathways from 100 kgs to 100 MT/annual commercial production, ensuring that the transition from laboratory bench to industrial reactor is seamless and efficient. We understand that high-purity gossypol is critical for its application as a male contraceptive agent and in other therapeutic areas. Therefore, our facilities are equipped with stringent purity specifications and rigorous QC labs capable of detecting impurities at trace levels. We are committed to delivering a product that meets the highest international standards, providing our clients with the confidence they need to advance their drug development pipelines without supply interruptions.
We invite you to collaborate with us to leverage this advanced synthetic technology for your specific needs. Whether you require custom synthesis of intermediates or full-scale API manufacturing, our technical procurement team is ready to assist. Please contact us to request a Customized Cost-Saving Analysis tailored to your volume requirements. We encourage you to reach out for specific COA data and route feasibility assessments to see how our capabilities align with your project goals. Together, we can optimize the supply chain for gossypol and ensure a steady, high-quality supply for the global pharmaceutical market.
