Advanced Fluralaner Manufacturing: A Technical Breakthrough for Global Supply Chains
Advanced Fluralaner Manufacturing: A Technical Breakthrough for Global Supply Chains
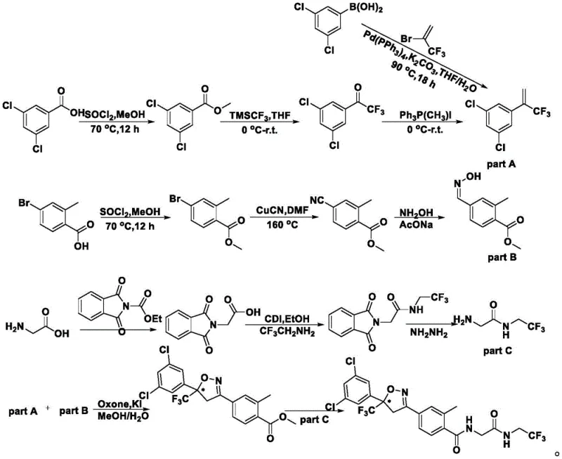
The global demand for high-efficacy ectoparasiticides has placed Fluralaner, a prominent isoxazoline derivative, at the forefront of veterinary and agrochemical research. As detailed in the recent patent documentation CN114957147A, a novel synthetic methodology has emerged that fundamentally restructures the manufacturing workflow for this critical active ingredient. Unlike conventional pathways that struggle with complex purification profiles, this innovative approach prioritizes an early-stage ring-closure strategy, effectively isolating the sensitive isoxazoline core before introducing complex aromatic substituents. For R&D directors and procurement specialists alike, this represents a significant pivot towards more robust, scalable, and cost-effective production capabilities. By addressing the root causes of impurity formation found in legacy processes, this technology promises to enhance the reliability of the agrochemical intermediate supplier network while ensuring stringent quality standards are met for downstream formulation.

The Limitations of Conventional Methods vs. The Novel Approach
The Limitations of Conventional Methods
Historically, the industrial synthesis of Fluralaner has been plagued by inherent chemical inefficiencies associated with late-stage cyclization strategies, such as the [CC+CNO] intermolecular ring closure method. In these traditional routes, the formation of the isoxazoline ring occurs when the molecule already possesses multiple reactive functional groups, including esters, amides, and carboxyl groups. When reagents like hydroxylamine hydrochloride are introduced to effect cyclization in such a crowded chemical environment, they inevitably engage in undesirable side reactions with these existing active moieties. This lack of chemoselectivity results in a complex crude reaction mixture laden with structurally similar impurities that are notoriously difficult to separate. Consequently, manufacturers face substantial bottlenecks in product purification, leading to reduced overall yields and increased operational costs due to the need for extensive chromatographic or recrystallization steps to meet pharmaceutical grade specifications.

The Novel Approach
In stark contrast, the methodology disclosed in patent CN114957147A introduces a paradigm shift by executing the ring-closure reaction at the earliest possible stage of the synthesis. By reacting 1,3-dichloro-5-(1-trifluoromethyl-vinyl)-benzene directly with dibromoformaldehyde oxime, the process constructs the stable isoxazoline intermediate (Intermediate I) before any other complex functionality is attached. This strategic sequencing ensures that the sensitive cyclization reagents interact only with the intended alkene and oxime precursors, virtually eliminating the side reactions caused by competing functional groups. Following this clean ring formation, the synthesis proceeds through a highly efficient Suzuki-Miyaura cross-coupling to attach the aromatic acid moiety, followed by a standard amidation. This logical disconnection not only simplifies the impurity profile but also significantly streamlines the workflow, making it an ideal candidate for cost reduction in veterinary drug manufacturing through improved material throughput.

Mechanistic Insights into Suzuki-Miyaura Coupling and Amidation
The core of this optimized synthesis lies in the precise execution of the Suzuki-Miyaura cross-coupling reaction in Step B, which links the pre-formed isoxazoline bromide (Intermediate I) with the boron-functionalized aromatic acid precursor. This transformation is catalyzed by palladium complexes, such as tetrakis(triphenylphosphine)palladium(0), operating under mild thermal conditions around 60°C in anhydrous tetrahydrofuran. The use of anhydrous potassium carbonate as the base is critical here, as it facilitates the transmetallation step without promoting the hydrolysis of the sensitive isoxazoline ring or the ester groups potentially present in alternative precursors. The mechanistic elegance of this step ensures high regioselectivity and conversion rates, typically exceeding 88% yield in laboratory settings, thereby minimizing the accumulation of unreacted starting materials that could complicate downstream processing. This level of control is essential for maintaining the high-purity agrochemical intermediate standards required by regulatory bodies.
Furthermore, the final amidation step (Step C) utilizes carbodiimide chemistry, specifically employing 1-(3-dimethylaminopropyl)-3-ethylcarbodiimide hydrochloride (EDC·HCl) alongside a nucleophilic catalyst like DMAP. This activation strategy converts the carboxylic acid of Intermediate II into a reactive O-acylisourea intermediate, which is then rapidly attacked by the amine nucleophile, 2-amino-N-(2,2,2-trifluoroethyl)acetamide. The choice of dichloromethane as the solvent provides excellent solubility for both the organic intermediates and the coupling reagents, ensuring a homogeneous reaction environment that drives the equilibrium towards product formation. By avoiding harsh acidic or basic conditions that might degrade the isoxazoline ring, this mild amidation protocol preserves the structural integrity of the molecule while achieving high conversion efficiency. This careful orchestration of reaction conditions demonstrates a deep understanding of impurity control mechanisms, ensuring that the final commercial scale-up of complex agrochemical intermediates remains robust and reproducible.
How to Synthesize Fluralaner Efficiently
The implementation of this three-step synthetic route requires strict adherence to stoichiometric ratios and environmental controls to maximize the benefits of the early-stage cyclization strategy. The process begins with the formation of the brominated isoxazoline core, followed by the palladium-catalyzed coupling, and concludes with the amide bond formation. Each step has been optimized to balance reaction kinetics with product stability, ensuring that the cumulative yield remains high throughout the sequence. For technical teams looking to adopt this methodology, it is crucial to note that the detailed standardized synthesis steps, including specific workup procedures and purification parameters, are outlined in the comprehensive guide below.
- Perform ring-closure reaction using 1,3-dichloro-5-(1-trifluoromethyl-vinyl)-benzene and dibromoformaldehyde oxime with a base to form the isoxazoline intermediate.
- Execute a Suzuki-Miyaura cross-coupling reaction between the isoxazoline intermediate and a boron-containing aromatic compound using a palladium catalyst.
- Conduct an amidation condensation reaction between the coupled carboxylic acid intermediate and 2-amino-N-(2,2,2-trifluoroethyl)acetamide using a condensing agent.
Commercial Advantages for Procurement and Supply Chain Teams
From a supply chain perspective, the adoption of this novel synthetic route offers transformative advantages that directly address the pain points of traditional manufacturing models. By fundamentally altering the sequence of bond formation, the process eliminates the need for extensive purification protocols that typically inflate production costs and extend lead times. The use of readily available starting materials, such as simple vinyl benzene derivatives and dibromoformaldehyde oxime, reduces dependency on specialized, high-cost precursors that are often subject to market volatility. Furthermore, the mild reaction conditions—often proceeding at room temperature or moderate heating—lower the energy consumption profile of the manufacturing plant, contributing to both economic savings and environmental sustainability goals. These factors collectively enhance the resilience of the supply chain, ensuring a steady flow of materials even during periods of raw material scarcity.
- Cost Reduction in Manufacturing: The primary driver for cost optimization in this process is the drastic reduction in impurity generation during the critical cyclization phase. By avoiding the side reactions common in legacy methods, the need for expensive chromatographic purification or multiple recrystallization cycles is significantly diminished. This streamlined purification workflow translates directly into lower solvent consumption, reduced waste disposal costs, and higher overall equipment effectiveness. Additionally, the high yield of the Suzuki coupling step ensures that valuable palladium catalysts and aromatic building blocks are utilized with maximum efficiency, further driving down the cost of goods sold without compromising on the quality of the final active ingredient.
- Enhanced Supply Chain Reliability: The reliance on commodity chemicals and standard reagents for the initial ring-closure step mitigates the risk of supply disruptions associated with custom-synthesized intermediates. Since the isoxazoline core is established early using robust chemistry, the subsequent steps become more predictable and less prone to batch-to-batch variability. This consistency allows supply chain managers to forecast production timelines with greater accuracy, reducing lead time for high-purity agrochemical intermediates and enabling faster response to market demand fluctuations. The stability of the intermediates also permits safer storage and transportation, adding another layer of security to the logistical network.
- Scalability and Environmental Compliance: The transition from laboratory to industrial scale is facilitated by the use of common organic solvents like ethyl acetate, tetrahydrofuran, and dichloromethane, which are well-understood in terms of safety and recovery protocols. The absence of extreme temperatures or pressures reduces the engineering complexity required for reactor design, making the process easily adaptable to existing manufacturing infrastructure. Moreover, the reduction in chemical waste generated from side reactions aligns with increasingly stringent environmental regulations, positioning manufacturers as leaders in green chemistry initiatives. This compliance not only avoids potential regulatory fines but also enhances the brand reputation of the reliable agrochemical intermediate supplier in the eyes of environmentally conscious partners.
Frequently Asked Questions (FAQ)
The following questions address common technical and commercial inquiries regarding the implementation of this patented synthesis method. These insights are derived directly from the experimental data and beneficial effects described in the patent documentation, providing a clear understanding of how this technology outperforms conventional approaches. Understanding these nuances is vital for stakeholders evaluating the feasibility of integrating this route into their existing production portfolios.
Q: Why does the new synthesis route reduce impurities compared to traditional methods?
A: Traditional methods often perform cyclization late in the synthesis when multiple active groups like esters and amides are present, leading to side reactions with hydroxylamine. The new method constructs the isoxazoline ring early on simpler precursors, minimizing these interactions.
Q: What catalysts are used in the key coupling step of this process?
A: The process utilizes palladium-based catalysts, specifically tetrakis(triphenylphosphine)palladium(0) or [1,1'-bis(diphenylphosphino)ferrocene]dichloropalladium(II), to facilitate the Suzuki-Miyaura coupling efficiently.
Q: Is this synthesis method suitable for large-scale industrial production?
A: Yes, the method employs mild reaction conditions, such as room temperature or moderate heating (60°C), and uses commercially available solvents like ethyl acetate and dichloromethane, making it highly scalable and safe for industrial manufacturing.
Partnering with NINGBO INNO PHARMCHEM: Your Reliable Fluralaner Supplier
The technical advancements detailed in patent CN114957147A underscore the immense potential for optimizing the production of isoxazoline-based insecticides, yet realizing this potential requires a partner with deep process engineering expertise. NINGBO INNO PHARMCHEM stands at the forefront of this industry, possessing extensive experience scaling diverse pathways from 100 kgs to 100 MT/annual commercial production. Our commitment to excellence is reflected in our stringent purity specifications and rigorous QC labs, which ensure that every batch of Fluralaner meets the highest global standards for veterinary and agrochemical applications. We understand that the transition from a novel patent to a commercial reality involves complex challenges, and our team is equipped to navigate these hurdles with precision and efficiency.
We invite you to collaborate with us to leverage this cutting-edge synthesis technology for your supply chain needs. By engaging with our technical procurement team, you can request a Customized Cost-Saving Analysis tailored to your specific volume requirements and quality targets. We encourage you to reach out today to obtain specific COA data and route feasibility assessments that demonstrate how our optimized manufacturing processes can drive value for your organization. Together, we can secure a sustainable and efficient supply of high-quality Fluralaner for the global market.
