Advanced Guaiacol-Based Sulfonium Salt Photoacid Generators for High-Resolution Lithography
Advanced Guaiacol-Based Sulfonium Salt Photoacid Generators for High-Resolution Lithography
The semiconductor industry continuously demands higher resolution and precision in photolithography processes to support the miniaturization of integrated circuits. Patent CN111056980A introduces a significant advancement in this field by disclosing a novel sulfonium salt photoacid generator (PAG) incorporating a guaiacol structure. This innovation addresses critical limitations in current chemically amplified resists, specifically targeting the reduction of acid diffusion which is a primary cause of line edge roughness. By integrating a naturally derived guaiacol backbone into the anion structure, this new class of compounds offers a unique balance of hydrophilicity and lipophilicity, enhancing solubility in organic solvents while maintaining strong adhesion to silicon wafers. For R&D directors and process engineers, this represents a viable pathway to achieving finer feature sizes without compromising the stability of the resist formulation.
As the feature sizes in integrated circuits shrink to the nanometer scale, the control of acid diffusion during the post-exposure bake becomes paramount. Conventional onium salt photoacid generators, while commercially mature, often suffer from excessive acid migration, leading to blurred patterns and increased edge roughness that degrade device performance. The traditional approach relies heavily on modifying the cation or using bulky anions that may compromise solubility or thermal stability. In contrast, the novel approach detailed in the patent leverages the specific structural attributes of guaiacol derivatives to create a more controlled acid generation environment. This method not only simplifies the synthetic route by using accessible starting materials but also fundamentally alters the interaction between the photoacid generator and the polymer matrix, resulting in superior imaging fidelity.
Mechanistic Insights into Guaiacol-Modified Anion Stability
The core innovation lies in the structural design of the anion, where the guaiacol moiety is linked via an ester or carbonate group to a sulfonate functionality. This architecture provides substantial steric bulk near the acid-generating center, effectively retarding the diffusion of the proton upon photolysis. Furthermore, the aromatic ring of the guaiacol structure enhances the overall molecular weight and thermal stability of the compound, preventing premature decomposition during processing. The presence of the methoxy group on the aromatic ring also contributes to the electronic environment, potentially tuning the acidity of the generated superacid to match the specific sensitivity requirements of the resist resin. This precise tuning capability is essential for optimizing the contrast between exposed and unexposed regions during development.
In addition to diffusion control, the solubility profile of the photoacid generator is critically improved by this structural modification. The ester linkages and the hydrophobic nature of the guaiacol ring increase lipid solubility, ensuring uniform dispersion within the hydrophobic resin matrix. Simultaneously, the sulfonate group retains sufficient hydrophilicity to promote adhesion to the substrate surface, preventing delamination issues that can occur with overly hydrophobic additives. This dual-solubility characteristic ensures that the photoacid generator remains homogeneously distributed throughout the resist film, eliminating localized concentration gradients that could lead to defects. Such mechanistic advantages translate directly into higher yield and better process windows for semiconductor manufacturers.
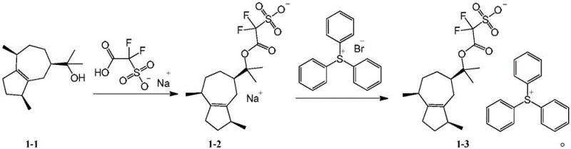
How to Synthesize Guaiacol-Based Sulfonium Salt Efficiently
The preparation method outlined in the patent offers a robust and scalable route for producing these advanced photoacid generators. The process typically begins with the functionalization of guaiacol, a green and readily available natural product, followed by a straightforward ion exchange reaction. This two-stage synthesis avoids the need for complex catalytic systems or hazardous reagents, aligning with modern green chemistry principles. The reaction conditions are mild, primarily involving reflux in common organic solvents like toluene or dichloromethane, which facilitates easy handling and purification. For technical teams looking to implement this chemistry, the following guide summarizes the key operational steps derived from the exemplary embodiments.
- React guaiacol with a sulfonic acid source (e.g., sodium difluorosulfoacetate) in toluene with p-toluenesulfonic acid catalyst under reflux to form the sulfonate intermediate.
- Dissolve the sulfonate intermediate and a sulfonium halide (e.g., triphenylsulfonium bromide) in a dichloromethane and water mixture.
- Stir the mixture to facilitate ion exchange, then separate the organic layer, evaporate solvent, and recrystallize the residue to obtain the final photoacid generator.
Commercial Advantages for Procurement and Supply Chain Teams
From a procurement and supply chain perspective, the adoption of this guaiacol-based technology offers distinct strategic advantages over conventional photoacid generators. The reliance on guaiacol as a primary feedstock is particularly beneficial, as it is a widely produced commodity chemical with a stable global supply chain, reducing the risk of raw material shortages. Furthermore, the synthetic pathway is significantly streamlined compared to multi-step syntheses required for some high-performance PAGs, involving fewer purification stages and lower energy consumption. This simplicity in manufacturing translates directly into cost efficiency, allowing for competitive pricing without sacrificing the high purity required for electronic grade applications. Supply chain managers can expect more reliable lead times due to the reduced complexity of the production process.
- Cost Reduction in Manufacturing: The elimination of expensive transition metal catalysts and the use of standard unit operations like filtration and recrystallization drastically simplify the production workflow. By avoiding complex chromatographic separations and utilizing abundant starting materials, the overall cost of goods sold is significantly optimized. This economic efficiency allows manufacturers to offer high-performance materials at a price point that supports the cost-sensitive nature of the semiconductor supply chain while maintaining healthy margins.
- Enhanced Supply Chain Reliability: Since the synthesis relies on established chemical transformations and commercially available reagents such as triphenylsulfonium bromide and sodium difluorosulfoacetate, the risk of supply disruption is minimized. The robustness of the reaction conditions means that production can be easily scaled across different facilities without requiring specialized equipment. This flexibility ensures a continuous supply of critical photoresist components, safeguarding downstream manufacturing operations against potential bottlenecks and ensuring consistent availability for high-volume production lines.
- Scalability and Environmental Compliance: The process generates minimal hazardous waste, as the byproducts are primarily inorganic salts that can be easily separated and treated. The use of guaiacol, a bio-based material, further enhances the environmental profile of the final product, aligning with increasingly stringent regulatory standards for electronic chemicals. This compliance reduces the administrative burden associated with environmental reporting and permits, facilitating smoother scale-up from pilot batches to multi-ton annual production capacities required by major semiconductor fabs.
Frequently Asked Questions (FAQ)
The following questions address common technical and commercial inquiries regarding the implementation of this new photoacid generator technology. These answers are derived directly from the experimental data and beneficial effects described in the patent documentation, providing clarity on performance metrics and operational feasibility. Understanding these details is crucial for stakeholders evaluating the integration of this material into existing lithography workflows.
Q: How does the guaiacol structure improve photoresist performance?
A: The guaiacol structure introduces specific steric and electronic properties that inhibit acid diffusion, thereby reducing edge roughness and improving the resolution of the developed pattern in chemically amplified resists.
Q: What are the solubility characteristics of this new photoacid generator?
A: The compound exhibits a balanced hydrophilic-lipophilic profile due to the ester and guaiacol moieties, ensuring excellent solubility in organic solvents and uniform dispersion within the resin matrix.
Q: Is the synthesis process scalable for industrial production?
A: Yes, the synthesis utilizes readily available raw materials like guaiacol and involves standard unit operations such as reflux, filtration, and recrystallization, making it highly suitable for commercial scale-up.
Partnering with NINGBO INNO PHARMCHEM: Your Reliable Sulfonium Salt Photoacid Generator Supplier
NINGBO INNO PHARMCHEM stands at the forefront of fine chemical manufacturing, possessing extensive experience scaling diverse pathways from 100 kgs to 100 MT/annual commercial production. Our state-of-the-art facilities are equipped to handle the precise synthesis and purification required for electronic grade materials, ensuring stringent purity specifications are met for every batch. With rigorous QC labs and a dedicated team of process chemists, we are fully capable of translating the innovative routes described in patent CN111056980A into reliable, large-scale supply solutions for the global semiconductor industry.
We invite you to collaborate with us to optimize your photoresist formulations using this advanced guaiacol-based technology. Contact our technical procurement team today to request a Customized Cost-Saving Analysis tailored to your specific volume requirements. We are ready to provide specific COA data and comprehensive route feasibility assessments to demonstrate how our manufacturing capabilities can support your next-generation lithography projects.
