Advanced Cedrol-Based Sulfonium Salt Photoacid Generators for High-Resolution Lithography and Commercial Scale-Up
Introduction to Next-Generation Photoacid Generators
The relentless miniaturization of integrated circuits demands photoresist materials with increasingly precise control over acid diffusion. Patent CN111123645A introduces a breakthrough class of sulfonium salt photoacid generators (PAGs) incorporating a bulky cedrol structure. Unlike traditional small-molecule PAGs that suffer from excessive acid migration leading to line edge roughness, this innovation leverages the steric bulk of the natural terpene cedrol to physically restrict acid movement. The core architecture features a complex anion where the cedrol skeleton is linked via an ester bond to a sulfonate group, paired with a triphenylsulfonium cation. This design not only addresses the critical issue of resolution in chemically amplified resists but also offers a sustainable pathway utilizing renewable feedstocks.
The strategic integration of the cedrol moiety into the anion structure represents a significant departure from conventional perfluoroalkyl sulfonate anions. By embedding a large, rigid hydrocarbon cage into the counter-ion, the diffusion coefficient of the photogenerated acid is drastically reduced without compromising the acidity strength required for the deprotection reaction. This patent outlines a robust synthetic methodology that transforms readily available cedrol into high-value electronic chemicals, positioning it as a vital component for next-generation lithography processes in the semiconductor industry.
The Limitations of Conventional Methods vs. The Novel Approach
The Limitations of Conventional Methods
Traditional onium salt photoacid generators, while commercially mature, face inherent physical limitations as feature sizes shrink below the nanometer scale. The primary drawback lies in the small molecular size of standard anions, such as triflate or nonaflate, which allows the generated proton to diffuse freely through the polymer matrix. This uncontrolled diffusion blurs the latent image, resulting in increased Line Edge Roughness (LER) and Line Width Roughness (LWR), which are critical failure modes in advanced node manufacturing. Furthermore, many conventional syntheses rely on highly fluorinated precursors that are expensive, environmentally persistent, and subject to stringent regulatory scrutiny, creating supply chain vulnerabilities for resistor manufacturers seeking greener alternatives.
The Novel Approach
The novel approach detailed in the patent utilizes the unique three-dimensional geometry of cedrol to act as a molecular anchor. By covalently bonding the sulfonate acid source to this bulky terpene framework, the resulting anion becomes significantly larger and less mobile within the resist film. This steric confinement ensures that the acid remains localized near the site of photon absorption, sharpening the dissolution contrast between exposed and unexposed areas. Additionally, the inclusion of ester linkages and optional fluorinated segments in the side chain allows for fine-tuning of solubility parameters, ensuring homogeneous dispersion in the resist formulation. This dual benefit of improved imaging performance and enhanced processability marks a substantial evolution in PAG design.
Mechanistic Insights into Cedrol-Anion Stabilization and Acid Diffusion Control
The efficacy of this photoacid generator stems from the intricate interplay between the cedrol scaffold and the sulfonate functionality. Upon exposure to deep ultraviolet or extreme ultraviolet radiation, the sulfonium cation undergoes photolysis to release a strong sulfonic acid. In conventional systems, this acid diffuses rapidly; however, in the cedrol-based system, the massive hydrophobic volume of the tricyclic cedrol structure creates a high energy barrier for translation. The anion essentially drags the proton, limiting its mean free path. This mechanism is critical for maintaining the fidelity of the pattern transfer, especially in thick resist films where diffusion effects are magnified. The ester linkage serves as a flexible tether, allowing the molecule to adopt conformations that maximize compatibility with the surrounding polymer resin.
From a synthetic chemistry perspective, the construction of the anion involves a sequence of nucleophilic substitutions and esterifications that preserve the stereochemical integrity of the cedrol backbone. The initial alkylation of the cedrol hydroxyl group introduces the spacer arm, which is subsequently hydrolyzed to a carboxylic acid. This acid is then coupled with a sulfonic acid derivative, such as a fluorinated hydroxy-sulfonate, to form the final anionic structure. The presence of fluorine atoms in the side chain, as seen in specific embodiments, further modulates the electron-withdrawing character of the sulfonate, ensuring the generated acid possesses sufficient Brønsted acidity to catalyze the resist deprotection efficiently. This precise molecular engineering balances acidity, solubility, and diffusion control.
How to Synthesize Cedrol-Based Sulfonium Salt Efficiently
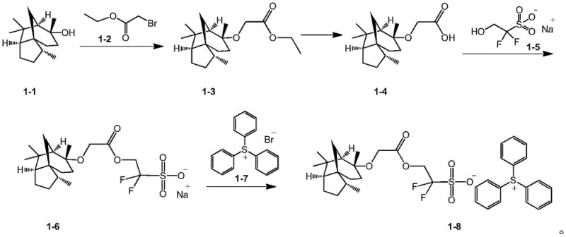
The synthesis of these high-performance photoacid generators follows a logical four-step sequence that is amenable to kilogram-scale production. The process begins with the activation of natural cedrol, followed by chain extension, functional group transformation, and finally, salt metathesis. Each step has been optimized in the patent examples to maximize yield and purity, utilizing common organic solvents and reagents. The robustness of this route allows for straightforward purification via crystallization and filtration, avoiding complex chromatographic separations that hinder scalability. For detailed operational parameters and stoichiometric ratios, please refer to the standardized synthesis guide below.
- React cedrol with a halogen-containing ester compound (e.g., ethyl bromoacetate) using a strong base like sodium hydride to form the cedrol ester intermediate.
- Hydrolyze the cedrol ester intermediate under alkaline conditions to obtain the corresponding carboxylic acid derivative containing the cedrol skeleton.
- Perform an esterification reaction between the cedrol carboxylic acid and a sulfonic acid compound (e.g., fluorinated hydroxy-sulfonate) using p-toluenesulfonic acid catalyst.
- Mix the resulting cedrol-sulfonic acid with a sulfonium halide (e.g., triphenylsulfonium bromide) in a mixed solvent system to precipitate the final photoacid generator salt.
Commercial Advantages for Procurement and Supply Chain Teams
For procurement specialists and supply chain managers, the adoption of this cedrol-based technology offers distinct strategic advantages rooted in raw material availability and process simplicity. The reliance on cedrol, a bio-sourced commodity chemical, decouples production from the volatile pricing of petrochemical fluorinated precursors. This shift not only stabilizes costs but also aligns with corporate sustainability goals by incorporating renewable carbon into the supply chain. The synthetic pathway is notably short, comprising only four main transformations, which minimizes unit operations, reduces solvent consumption, and lowers the overall carbon footprint of the manufacturing process. These factors collectively contribute to a more resilient and cost-efficient supply model for electronic chemical distributors.
- Cost Reduction in Manufacturing: The elimination of complex multi-step fluorination sequences and the use of abundant natural feedstocks significantly lower the bill of materials. The process avoids the need for expensive transition metal catalysts or cryogenic conditions, relying instead on mild thermal protocols and standard base-mediated reactions. This simplification of the reaction profile reduces energy consumption and waste treatment costs, translating into substantial economic savings for large-volume production runs without compromising the high purity required for semiconductor applications.
- Enhanced Supply Chain Reliability: Sourcing cedrol from established essential oil suppliers ensures a consistent and diversified raw material base, mitigating the risk of single-source dependency often associated with specialized fluorinated intermediates. The synthetic intermediates are stable and can be stockpiled, allowing for flexible production scheduling to meet fluctuating demand from the lithography sector. Furthermore, the final purification steps involve simple recrystallization and washing, which are easily scalable and reproducible across different manufacturing sites, guaranteeing consistent product quality and reliable delivery timelines.
- Scalability and Environmental Compliance: The reaction conditions described operate at near-ambient temperatures and utilize common solvents like tetrahydrofuran, toluene, and dichloromethane, which are well-understood in industrial hygiene and waste management protocols. The absence of heavy metal residues simplifies the qualification process for semiconductor fab integration, as rigorous metal scrubbing steps are unnecessary. This environmental compatibility facilitates faster regulatory approval and smoother integration into existing green chemistry initiatives, making the technology attractive for long-term strategic partnerships in the electronic materials sector.
Frequently Asked Questions (FAQ)
The following questions address common technical and commercial inquiries regarding the implementation of this novel photoacid generator technology. These insights are derived directly from the experimental data and structural analysis provided in the patent documentation, offering clarity on performance metrics and synthesis feasibility. Understanding these details is crucial for R&D teams evaluating material compatibility and for procurement officers assessing vendor capabilities.
Q: How does the cedrol structure improve photoresist performance compared to conventional PAGs?
A: The bulky, rigid tricyclic skeleton of cedrol provides significant steric hindrance. This physical bulk effectively inhibits the diffusion of the generated proton acid within the resist film, thereby reducing Line Edge Roughness (LER) and improving resolution in sub-micron patterning.
Q: What are the solubility characteristics of this new sulfonium salt?
A: The molecule is designed with a balanced hydrophilic-lipophilic profile. The ester linkage and the specific anion structure enhance solubility in organic casting solvents and compatibility with resin matrices, while retaining enough hydrophilicity for effective interaction with the silicon wafer surface.
Q: Is the raw material cedrol readily available for large-scale production?
A: Yes, cedrol is a naturally occurring sesquiterpene alcohol derived from cedarwood oil. It is a green, renewable, and commercially abundant feedstock, which ensures a stable and cost-effective supply chain for the manufacturing of these photoacid generators.
Partnering with NINGBO INNO PHARMCHEM: Your Reliable Sulfonium Salt Photoacid Generator Supplier
NINGBO INNO PHARMCHEM stands at the forefront of custom synthesis for advanced electronic materials, possessing extensive experience scaling diverse pathways from 100 kgs to 100 MT/annual commercial production. Our technical team is adept at optimizing the cedrol-based synthesis route described in CN111123645A, ensuring that stringent purity specifications are met for every batch. With rigorous QC labs equipped for trace metal analysis and particle counting, we guarantee that our photoacid generators meet the exacting standards of the semiconductor industry, providing a secure foundation for your lithography process development.
We invite you to engage with our technical procurement team to discuss how this innovative PAG can enhance your resist formulations. By requesting a Customized Cost-Saving Analysis, you can evaluate the economic impact of switching to our bio-sourced alternative. We are prepared to provide specific COA data and comprehensive route feasibility assessments to support your qualification efforts, ensuring a seamless transition to this high-performance, next-generation photoacid generator solution.
