Advanced Synthetic Route for Azabicyclo[3.3.0]octane Derivatives: Scalable Manufacturing for Pharmaceutical Applications
The pharmaceutical industry's relentless pursuit of potent antidiabetic agents has placed significant focus on the efficient production of DDP-4 inhibitors, many of which rely on the azabicyclo[3.3.0]octane scaffold as a critical structural motif. Patent CN102827063B discloses a groundbreaking synthetic methodology for producing these high-value intermediates, addressing long-standing challenges in scalability and safety. This technical insight report analyzes the proprietary route detailed in the patent, which transforms 1,2,3,6-tetrahydrophthalimide into complex azabicyclo[3.3.0]octane derivatives through a sequence of eight distinct chemical transformations. By leveraging mild reaction conditions and avoiding hazardous transition metals, this process represents a paradigm shift for reliable pharmaceutical intermediate supplier networks seeking to optimize their supply chains for next-generation therapeutics.
The strategic value of this patent lies not only in the chemical novelty but in its direct applicability to commercial manufacturing environments where purity and cost-efficiency are paramount. The disclosed method systematically overcomes the limitations of earlier generations of synthesis, offering a robust pathway that maintains high stereochemical integrity while utilizing cost-effective reagents. For procurement managers and R&D directors alike, understanding the nuances of this route is essential for evaluating potential partners capable of delivering high-purity azabicyclo[3.3.0]octane derivatives at a commercial scale.
The Limitations of Conventional Methods vs. The Novel Approach
The Limitations of Conventional Methods
Prior to the innovations described in CN102827063B, the synthesis of azabicyclo[3.3.0]octane derivatives was plagued by significant operational hazards and inefficiencies that hindered industrial adoption. One conventional approach involved reacting dimethyl esters with secondary amines in sealed tubes at extreme temperatures of 190°C for extended periods of up to 16 hours. Such harsh thermal conditions not only consume excessive energy but also pose severe safety risks regarding pressure containment and potential runaway reactions, making cost reduction in pharmaceutical intermediate manufacturing nearly impossible through this route. Furthermore, another prevalent method relied on the Pauson-Khand reaction, which necessitates the use of dicobalt octacarbonyl (Co2(CO)8), a highly toxic and pyrophoric metal reagent.
The reliance on cobalt catalysts introduces substantial downstream processing burdens, including the need for rigorous heavy metal scavenging to meet stringent regulatory limits for residual metals in active pharmaceutical ingredients. Additionally, the substrate scope for these metal-catalyzed cyclizations is often limited, and the reaction conditions are sensitive to moisture and oxygen, requiring specialized equipment and inert atmospheres that drive up capital expenditure. These factors collectively result in a fragile supply chain with high lead times and unpredictable yields, creating a bottleneck for the commercial scale-up of complex pharmaceutical intermediates required for global drug markets.
The Novel Approach
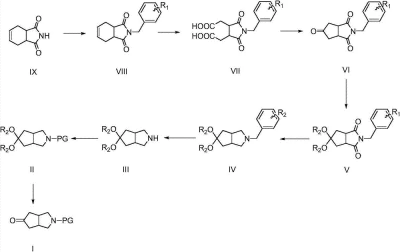
In stark contrast, the novel approach outlined in the patent utilizes a linear, solution-phase synthesis starting from the inexpensive and readily available 1,2,3,6-tetrahydrophthalimide. This route replaces dangerous high-temperature sealed reactions and toxic metal catalysts with a series of controlled, mild transformations using standard organic reagents. The process begins with N-alkylation followed by a powerful oxidative cleavage using potassium permanganate, a commodity chemical that is both effective and easy to handle on a large scale. This is followed by a thermal cyclodecarboxylation that efficiently constructs the bicyclic core without the need for exotic catalysts.
![General synthetic route from 1,2,3,6-tetrahydrophthalimide to azabicyclo[3.3.0]octane derivatives showing protection, oxidation, cyclization, and reduction steps](/insights/img/azabicyclo-octane-synthesis-pharma-intermediate-supplier-20260308182001-01.webp)
Subsequent steps involve strategic protection of the ketone functionality as a ketal, which enables the selective reduction of the imide moiety to an amine using lithium aluminum hydride. The final stages involve the removal of the benzyl protecting group via catalytic hydrogenation and the installation of diverse N-protecting groups such as Cbz or Boc. This modular approach allows for significant flexibility in generating various derivatives while maintaining a consistent, high-yielding backbone synthesis. By shifting the most expensive reduction step to a later stage in the sequence, the overall material throughput is optimized, ensuring that valuable reducing agents are not wasted on early-stage intermediates that might fail quality control checks.
Mechanistic Insights into Oxidative Cyclization and Chemoselective Reduction
The heart of this synthetic strategy lies in the oxidative cleavage and subsequent cyclization sequence, which effectively remodels the six-membered ring of the starting material into the fused five-membered ring system characteristic of the target scaffold. The mechanism initiates with the oxidation of the carbon-carbon double bond in the N-benzyl protected intermediate using KMnO4 in an acetone-water mixture. This vigorous oxidation cleaves the alkene to generate a dicarboxylic acid intermediate, which is unstable under the subsequent reaction conditions. Upon treatment with sodium acetate and acetic anhydride at elevated temperatures (120°C), the dicarboxylic acid undergoes dehydration and decarboxylation.
This cascade reaction results in the formation of a new five-membered ring containing a ketone functionality, driven by the thermodynamic stability of the resulting bicyclic system. The precision of this cyclization is critical, as it establishes the core carbon framework upon which all subsequent stereochemistry depends. Following this, the ketone is protected as a cyclic ketal using diols such as ethylene glycol or propane-1,3-diol in the presence of an acid catalyst like p-toluenesulfonic acid. This protection step is mechanistically vital because it renders the ketone inert to nucleophilic attack, thereby preventing unwanted side reactions during the next major transformation.
The reduction of the imide to the amine is achieved using lithium aluminum hydride (LiAlH4) in tetrahydrofuran. Without the ketal protection, LiAlH4 would indiscriminately reduce both the imide carbonyls and the free ketone, leading to a mixture of amino-alcohols that are difficult to separate. By masking the ketone, the reduction proceeds chemoselectively to reduce the two carbonyl groups of the imide to methylene groups, yielding the saturated azabicyclic amine. This level of control over functional group interconversion is a hallmark of sophisticated process chemistry, ensuring that the final product profile remains clean and that impurity levels are minimized without the need for extensive chromatographic purification.
How to Synthesize Azabicyclo[3.3.0]octane Derivatives Efficiently
The synthesis of these valuable intermediates requires precise control over reaction parameters to maximize yield and purity. The patent provides detailed experimental procedures that serve as a blueprint for laboratory and pilot-scale production. The process is designed to be robust, tolerating minor variations in reagent quality while consistently delivering the target molecular architecture. For technical teams looking to implement this route, adherence to the specified stoichiometry and temperature profiles is essential to replicate the high success rates reported in the examples.
- N-Protection: React 1,2,3,6-tetrahydrophthalimide with benzyl chloride under basic conditions to form the N-benzyl protected intermediate.
- Oxidation and Cyclization: Oxidize the double bond using KMnO4 to a dicarboxylic acid, followed by thermal cyclodecarboxylation in acetic anhydride to form the bicyclic ketone.
- Protection and Reduction: Protect the ketone as a ketal, then reduce the imide carbonyls to methylene groups using LiAlH4 to generate the amine core.
- Deprotection and Final Functionalization: Remove the benzyl group via hydrogenation, install the final N-protecting group (e.g., Cbz), and hydrolyze the ketal to yield the target ketone.
Commercial Advantages for Procurement and Supply Chain Teams
From a commercial perspective, the adoption of this synthetic route offers profound advantages for supply chain stability and cost management. The elimination of toxic cobalt catalysts removes a significant regulatory hurdle, simplifying the validation process for new drug filings and reducing the risk of batch rejection due to heavy metal contamination. Furthermore, the use of commodity reagents like potassium permanganate, acetic anhydride, and benzyl chloride ensures that raw material sourcing is resilient against market volatility, as these chemicals are produced in massive volumes globally.
- Cost Reduction in Manufacturing: The process achieves substantial cost savings by strategically positioning the most expensive reagent, lithium aluminum hydride, at a later stage in the synthesis. This "late-stage functionalization" strategy ensures that costly materials are only applied to advanced intermediates that have already passed previous quality gates, thereby minimizing waste. Additionally, the avoidance of high-pressure sealed tube reactions reduces energy consumption and equipment maintenance costs, contributing to a lower overall cost of goods sold for the final intermediate.
- Enhanced Supply Chain Reliability: By relying on a linear sequence of well-understood organic transformations, the manufacturing process becomes highly predictable and easier to scale. The starting material, 1,2,3,6-tetrahydrophthalimide, is a stable solid that is easy to transport and store, reducing logistics complexities. The robustness of the oxidation and cyclization steps means that production timelines are less susceptible to delays caused by finicky reaction conditions, ensuring a steady flow of materials to downstream API manufacturers.
- Scalability and Environmental Compliance: The synthetic route is inherently greener than prior art methods, generating less hazardous waste and avoiding the use of persistent organic pollutants or toxic heavy metals. This aligns with modern environmental, social, and governance (ESG) goals, making the supply chain more attractive to sustainability-conscious partners. The ability to perform reactions in common solvents like THF, ethanol, and ethyl acetate further simplifies solvent recovery and recycling processes, enhancing the overall environmental footprint of the manufacturing operation.
Frequently Asked Questions (FAQ)
The following questions address common technical and commercial inquiries regarding the implementation of this synthesis technology. These answers are derived directly from the experimental data and technical specifications provided in the patent documentation, offering clarity for stakeholders evaluating this production method.
Q: What are the advantages of this synthesis method over traditional Pauson-Khand reactions?
A: This method avoids the use of toxic and expensive cobalt carbonyl catalysts (Co2(CO)8) required in Pauson-Khand reactions. It utilizes safer, commodity oxidants like KMnO4 and operates under milder conditions, significantly improving safety profiles and reducing heavy metal contamination risks.
Q: Why is ketal protection necessary before the reduction step?
A: The ketal protection step is critical to mask the ketone functionality formed during cyclization. Without this protection, the strong reducing agent LiAlH4 would reduce the ketone to an alcohol along with the imide, leading to complex mixtures. Protecting the ketone ensures chemoselective reduction of the imide to the amine.
Q: Is this process suitable for large-scale industrial production?
A: Yes, the patent explicitly highlights the suitability for industrial scale-up. The route uses readily available raw materials, avoids extreme conditions like 190°C sealed tube reactions found in prior art, and achieves high yields across multiple steps, making it robust for commercial manufacturing.
Partnering with NINGBO INNO PHARMCHEM: Your Reliable Azabicyclo[3.3.0]octane Derivative Supplier
At NINGBO INNO PHARMCHEM, we recognize the critical role that high-quality intermediates play in the development of life-saving medications. Our team possesses extensive experience scaling diverse pathways from 100 kgs to 100 MT/annual commercial production, ensuring that we can meet the rigorous demands of global pharmaceutical clients. We are committed to maintaining stringent purity specifications and operating rigorous QC labs to guarantee that every batch of azabicyclo[3.3.0]octane derivative meets the highest industry standards for identity, strength, and purity.
We invite you to collaborate with us to leverage this advanced synthetic technology for your specific project needs. Our technical procurement team is ready to provide a Customized Cost-Saving Analysis tailored to your volume requirements. Please contact us today to request specific COA data and route feasibility assessments, and let us demonstrate how our expertise can accelerate your drug development timeline while optimizing your manufacturing budget.
