Advanced Sulfentrazone Manufacturing: A Novel Pre-Ring Functionalization Strategy for Global Agrochemical Supply Chains
Advanced Sulfentrazone Manufacturing: A Novel Pre-Ring Functionalization Strategy for Global Agrochemical Supply Chains
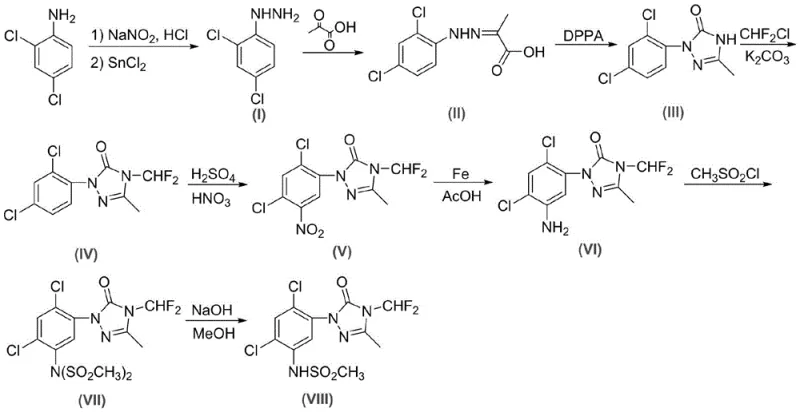
The global demand for high-efficiency herbicides continues to drive innovation in agrochemical intermediate manufacturing, particularly for protoporphyrin oxidase inhibitors like sulfentrazone. A significant technological breakthrough has been documented in Chinese Patent CN114276306A, which details a refined synthetic methodology that fundamentally alters the sequence of functional group transformations. Unlike traditional approaches that construct the triazolinone core prior to benzene ring substitution, this novel protocol executes nitration and reduction steps on the aniline precursor before ring closure. This strategic inversion of the synthetic sequence addresses critical stability issues inherent to the triazolinone moiety, offering a robust pathway for reliable agrochemical intermediate supplier networks seeking to optimize production efficiency. By mitigating the risk of heterocyclic degradation during harsh acidic treatments, this method ensures a cleaner impurity profile and superior process economics.

This patent represents a pivotal shift in process chemistry, moving away from the vulnerability of late-stage nitration. The core innovation lies in the recognition that the triazolinone ring is susceptible to decomposition under the vigorous conditions required for electrophilic aromatic substitution. By establishing the correct substitution pattern on the benzene ring first—specifically introducing the nitro group at the 5-position of the 2,4-dichloroaniline scaffold—the synthesis avoids exposing the sensitive nitrogen-containing heterocycle to concentrated sulfuric and nitric acids. This approach not only enhances the chemical yield but also drastically simplifies the purification workload, as the formation of complex by-products associated with ring opening or over-nitration is effectively eliminated. For procurement and supply chain stakeholders, this translates to a more predictable and stable supply of high-purity active ingredients.
The Limitations of Conventional Methods vs. The Novel Approach
The Limitations of Conventional Methods
Historically, the industrial synthesis of sulfentrazone has relied on routes where the triazolinone ring is constructed early in the sequence, typically following the methodology disclosed in earlier patents such as US4818275. In these conventional pathways, the fully formed heterocyclic intermediate is subjected to nitration using mixed acids to introduce the necessary nitro group onto the phenyl ring. However, this late-stage functionalization presents severe chemical challenges, as the triazolinone structure is inherently unstable under strongly acidic and oxidative conditions. The exposure of the heterocycle to concentrated nitric acid frequently leads to partial ring destruction, resulting in a complex mixture of degradation products that are difficult to separate. Furthermore, the lack of regioselectivity in the nitration of the substituted phenyl-triazolinone often generates undesirable isomers and dinitrated species, compounding the purification burden.

The consequences of these chemical inefficiencies extend deeply into the commercial viability of the production process. The presence of ring-degraded by-products and nitration isomers necessitates rigorous and costly purification steps, such as repeated recrystallizations or chromatographic separations, which significantly erode the overall mass balance. Literature reviews of optimized conventional routes indicate total yields hovering around 25% to 30%, reflecting the substantial material loss incurred during these problematic transformation stages. For a procurement manager evaluating cost structures, these low yields imply a higher consumption of raw materials and increased waste disposal costs. Additionally, the variability introduced by side reactions can lead to batch-to-batch inconsistency, posing risks to supply chain reliability and quality control standards required by major agrochemical manufacturers.
The Novel Approach
In stark contrast, the methodology described in CN114276306A adopts a "pre-functionalization" strategy that fundamentally circumvents the stability issues of the triazolinone ring. By initiating the synthesis with 2,4-dichloroaniline and performing the nitration reaction immediately on this robust aromatic amine scaffold, the process leverages the inherent stability of the aniline derivative under acidic conditions. The nitro group is selectively installed at the 5-position with high precision, utilizing a controlled temperature of 0°C to minimize side reactions. Following nitration, the amino group is protected via acetylation, and the nitro group is subsequently reduced to an amine using stannous chloride, all while the molecule remains in a linear, non-cyclic state. This sequence ensures that the sensitive triazolinone ring is only formed after all harsh electrophilic substitutions and reductions are complete.
This strategic reordering of reaction steps delivers immediate benefits in terms of yield and purity. Because the triazolinone ring is never exposed to the harsh nitration environment, the formation of ring-opened by-products is completely prevented. The intermediate separation becomes significantly more straightforward, as the impurity profile is dominated by simple aromatic derivatives rather than complex heterocyclic degradation products. The patent data demonstrates that individual step yields in this new route are exceptionally high, with the nitration step achieving 80% and subsequent reduction steps reaching up to 96%. This cumulative improvement in step efficiency results in a substantially higher overall yield compared to conventional methods, directly addressing the cost reduction in agrochemical manufacturing by maximizing the conversion of starting materials into the final valuable product.
Mechanistic Insights into Pre-Ring Nitration and Cyclization
The mechanistic superiority of this route is rooted in the electronic and steric properties of the intermediates involved. In the initial nitration of 2,4-dichloroaniline, the amino group acts as a strong activating ortho/para director. However, under the strongly acidic conditions of the nitration mixture (concentrated H2SO4 and HNO3), the amino group is protonated to form the anilinium ion, which is meta-directing and deactivating. Despite this, the specific substitution pattern of 2,4-dichloroaniline directs the incoming nitro group predominantly to the 5-position due to the steric hindrance at the 3 and 6 positions and the electronic influence of the chlorine atoms. This regioselectivity is crucial, as it establishes the correct substitution pattern required for the final herbicide without the need for difficult separation of ortho-isomers. The subsequent acetyl protection step converts the free amine into an acetamide, which moderates the reactivity of the nitrogen and protects it during the subsequent reduction of the nitro group using tin(II) chloride in hydrochloric acid.
The formation of the triazolinone ring in the later stages of the synthesis is achieved through a condensation reaction between the hydrazine intermediate and acetaldehyde, followed by cyclization with sodium cyanate and oxidation with sodium hypochlorite. This one-pot cyclization is highly efficient because the hydrazine precursor is already correctly substituted on the phenyl ring. The absence of competing side reactions, which would otherwise arise from the presence of a free nitro group or an unprotected amine during cyclization, ensures a clean conversion to the triazolinone core. Furthermore, the subsequent N-difluoromethylation step, utilizing chlorodifluoromethane gas in the presence of a phase transfer catalyst like tetrabutylammonium bromide, proceeds smoothly on the pre-formed ring. The stability of the ring during this alkylation is guaranteed because the harsh conditions of the earlier nitration and reduction steps have already been navigated, preserving the integrity of the heterocyclic system throughout the final functionalization.
How to Synthesize Sulfentrazone Efficiently
The synthesis of sulfentrazone via this novel route involves a logical eight-step sequence that prioritizes the stability of intermediates. The process begins with the controlled nitration of 2,4-dichloroaniline at low temperatures to ensure regioselectivity, followed by protection and reduction steps that prepare the aromatic core for cyclization. Once the correctly substituted aniline derivative is obtained, the triazolinone ring is constructed, followed by difluoromethylation and final mesylation. Each step has been optimized to maximize yield and minimize impurity carryover, making this a highly viable protocol for industrial scale-up. The detailed standardized synthesis steps, including specific reagent ratios, temperature controls, and workup procedures, are outlined in the guide below.
- Nitration of 2,4-dichloroaniline at 0°C using mixed acid to form 2,4-dichloro-5-nitroaniline.
- Acetyl protection of the amino group followed by reduction of the nitro group using stannous chloride.
- Diazotization and reduction to form the hydrazine intermediate, followed by cyclization to form the triazolinone ring.
- N-difluoromethylation using chlorodifluoromethane gas, followed by hydrolysis and final mesylation to yield sulfentrazone.
Commercial Advantages for Procurement and Supply Chain Teams
For procurement managers and supply chain directors, the adoption of this synthetic route offers compelling economic and operational advantages that go beyond simple yield metrics. The primary value driver is the significant reduction in production costs achieved through the elimination of complex purification processes. In conventional manufacturing, the removal of ring-degraded by-products and nitration isomers often requires multiple recrystallization cycles or expensive chromatographic steps, which consume large volumes of solvents and extend production timelines. By preventing the formation of these difficult-to-remove impurities at the source, the new method streamlines the downstream processing workflow. This simplification reduces the consumption of auxiliary materials such as solvents and adsorbents, leading to substantial cost savings in raw material procurement and waste management.
- Cost Reduction in Manufacturing: The economic impact of this process is driven by the drastic improvement in material efficiency. By avoiding the degradation of the triazolinone ring, the process eliminates the yield losses associated with side reactions that plague conventional methods. Higher step yields mean that less starting material is required to produce the same amount of final product, directly lowering the variable cost per kilogram. Furthermore, the simplified purification train reduces energy consumption associated with solvent recovery and distillation. The use of common, commodity-grade reagents such as concentrated sulfuric acid, acetyl chloride, and chlorodifluoromethane ensures that raw material costs remain stable and predictable, shielding the supply chain from volatility associated with specialized or exotic catalysts.
- Enhanced Supply Chain Reliability: From a supply continuity perspective, this route offers greater robustness against process deviations. Conventional methods that rely on late-stage nitration are prone to batch failures due to the sensitivity of the triazolinone ring to reaction conditions; slight variations in temperature or acid concentration can lead to catastrophic ring opening. The new method decouples these sensitive operations, performing the harsh chemistry on stable aromatic precursors. This increases the success rate of each batch and reduces the likelihood of off-spec material that would otherwise disrupt inventory planning. Additionally, the intermediates generated in the early stages are stable and can potentially be stocked, providing flexibility in production scheduling and allowing manufacturers to respond more agilely to fluctuations in market demand.
- Scalability and Environmental Compliance: The environmental footprint of the manufacturing process is significantly improved, which is increasingly critical for maintaining regulatory compliance and corporate sustainability goals. The reduction in solvent usage and the minimization of hazardous by-products simplify wastewater treatment and solid waste disposal. The process avoids the generation of complex organic waste streams containing degraded heterocycles, which are often difficult to treat biologically. Moreover, the scalability of the reaction steps is enhanced by the use of standard unit operations such as crystallization and filtration, which are easily transferred from pilot plant to commercial scale. This ease of scale-up reduces the capital expenditure required for facility modifications and accelerates the time to market for new production capacity.
Frequently Asked Questions (FAQ)
The following questions address common technical and commercial inquiries regarding the implementation of this sulfentrazone synthesis technology. These answers are derived directly from the experimental data and comparative analysis provided in the patent documentation, focusing on the practical implications for manufacturing and quality assurance. Understanding these nuances is essential for technical teams evaluating the feasibility of adopting this route for commercial production.
Q: Why is performing nitration before ring formation advantageous in sulfentrazone synthesis?
A: Performing nitration before the triazolinone ring is formed prevents the degradation of the sensitive heterocyclic structure that often occurs under harsh acidic nitration conditions in conventional methods, thereby significantly improving overall yield and purity.
Q: What are the key impurities avoided by this novel synthetic route?
A: This route avoids the formation of nitration isomers, dinitration products, and partially destroyed triazolinone ring by-products that are common when nitrating the fully formed heterocycle, simplifying downstream purification.
Q: Can this process be scaled for commercial agrochemical production?
A: Yes, the process utilizes standard industrial reagents like concentrated sulfuric acid, stannous chloride, and chlorodifluoromethane gas, and avoids unstable intermediates, making it highly suitable for large-scale commercial manufacturing.
Partnering with NINGBO INNO PHARMCHEM: Your Reliable Sulfentrazone Supplier
At NINGBO INNO PHARMCHEM, we recognize that the transition to advanced synthetic routes requires a partner with deep technical expertise and proven manufacturing capabilities. As a leading CDMO expert in the agrochemical sector, we possess extensive experience scaling diverse pathways from 100 kgs to 100 MT/annual commercial production. Our facilities are equipped to handle the specific unit operations required by this novel sulfentrazone process, including low-temperature nitration, gas-liquid reactions for difluoromethylation, and precise crystallization protocols. We maintain stringent purity specifications and operate rigorous QC labs to ensure that every batch meets the highest international standards for agrochemical intermediates, providing our clients with the confidence needed to integrate our supply into their global value chains.
We invite potential partners to engage with our technical procurement team to discuss how this optimized synthesis route can benefit your specific supply chain requirements. By leveraging our expertise, you can access a Customized Cost-Saving Analysis tailored to your volume needs, demonstrating the tangible economic benefits of switching to this high-yield methodology. We encourage you to contact us to request specific COA data from our pilot runs and comprehensive route feasibility assessments. Let us collaborate to secure a more efficient, cost-effective, and reliable supply of high-purity sulfentrazone for the global market.
