Advanced Pd/C Catalyst System for High-Purity Faropenem Sodium Manufacturing
The pharmaceutical industry continuously seeks robust synthetic routes that balance high yield with stringent purity standards, particularly for beta-lactam antibiotics. Patent CN101941981A addresses a critical bottleneck in the production of Faropenem Sodium, a broad-spectrum oral penem antibiotic, by introducing a novel catalyst composition. This innovation replaces the traditionally used homogeneous tetrakis(triphenylphosphine)palladium(0) with a heterogeneous system comprising palladium on carbon (Pd/C) and triphenylphosphine. This strategic shift not only simplifies the downstream processing by enabling catalyst recovery through simple filtration but also drastically mitigates the risk of heavy metal contamination in the final active pharmaceutical ingredient. For global supply chain leaders, this represents a significant advancement in manufacturing reliability and environmental compliance.

The Limitations of Conventional Methods vs. The Novel Approach
The Limitations of Conventional Methods
Historically, the synthesis of Faropenem Sodium has relied heavily on homogeneous palladium catalysts, specifically tetrakis(triphenylphosphine)palladium(0), to facilitate the crucial de-allylation step. While effective in promoting the reaction, this homogeneous catalyst dissolves completely in the reaction solvent, typically a mixture of methylene dichloride and ethyl acetate. This solubility creates a formidable separation challenge post-reaction, often requiring complex purification protocols to remove trace palladium residues which are strictly regulated in pharmaceutical products. Furthermore, the homogeneous catalyst is notoriously unstable during long-term storage, leading to variability in reaction performance and increased waste due to catalyst degradation. The inability to easily recover and recycle this expensive precious metal catalyst also imposes a substantial financial burden on large-scale manufacturing operations.
The Novel Approach
The methodology outlined in the patent introduces a paradigm shift by utilizing a heterogeneous catalyst system composed of palladium on carbon (Pd/C) doped with triphenylphosphine. This approach leverages the high surface area of the carbon support to disperse the palladium, while the triphenylphosphine acts as a ligand to modulate catalytic activity and selectivity. The primary advantage lies in the physical state of the catalyst; being a solid suspended in the liquid reaction medium, it can be effortlessly separated via standard suction filtration once the reaction reaches completion. This not only streamlines the workflow but also allows for the direct recovery and potential regeneration of the palladium, transforming a consumable cost center into a manageable asset. Additionally, the solid nature of the catalyst minimizes the leaching of palladium into the product stream, ensuring higher purity profiles essential for regulatory approval.
Mechanistic Insights into Pd/C Catalyzed De-allylation
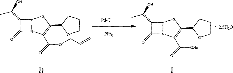
The core chemical transformation involves the removal of an allyl protecting group from the carboxylic acid moiety of the penem intermediate (Formula II) to generate the free acid or salt (Formula I). In this mechanism, the palladium species, likely generated in situ or present on the carbon surface, coordinates with the allyl group to form a pi-allyl palladium complex. The presence of triphenylphosphine is critical as it stabilizes the palladium center and facilitates the oxidative addition and reductive elimination cycles necessary for the reaction to proceed. Unlike the homogeneous counterpart where the entire catalyst molecule participates in the solution phase, this heterogeneous system likely operates at the solid-liquid interface, where the reactants adsorb onto the catalyst surface, react, and then desorb. This interfacial mechanism contributes to the observed stability and ease of separation.

Controlling impurities in beta-lactam synthesis is paramount, and this catalyst system offers distinct advantages in impurity profiling. Traditional homogeneous conditions can sometimes promote side reactions due to the high availability of soluble palladium species interacting with sensitive beta-lactam rings. By confining the catalytic activity to the carbon support, the local concentration of active palladium species is moderated, potentially reducing the formation of palladium-induced degradation byproducts. Furthermore, the ability to wash the recovered catalyst allows for the removal of adsorbed organic impurities before reuse, maintaining consistent reaction kinetics across multiple batches. This level of control is vital for maintaining the strict impurity limits required for injectable or oral antibiotic formulations, ensuring patient safety and batch-to-batch consistency.
How to Synthesize Faropenem Sodium Efficiently
The synthesis protocol described in the patent provides a clear pathway for industrial implementation, emphasizing operational simplicity and safety. The process begins with the suspension of the key intermediate, triphenylphosphine, and the Pd/C catalyst in a dry, aprotic solvent such as methylene dichloride. An allyl acceptor, such as sodium 2-ethylhexanoate, is then introduced to scavenge the removed allyl group, driving the equilibrium towards the desired product. The reaction proceeds under mild thermal conditions, typically between 0°C and 40°C, which preserves the integrity of the sensitive beta-lactam core. Detailed standardized synthesis steps follow below.
- Suspend the intermediate compound (Formula II) and Triphenylphosphine in a dry solvent such as methylene dichloride, then add the Pd/C catalyst.
- Introduce the allyl acceptor, such as sodium 2-ethylhexanoate, to the reaction mixture and stir at a controlled temperature between 0°C and 40°C.
- Upon completion, filter the reaction mixture to recover the solid Pd/C catalyst, then proceed with aqueous workup and crystallization to isolate pure Faropenem Sodium.
Commercial Advantages for Procurement and Supply Chain Teams
For procurement managers and supply chain directors, the transition to this heterogeneous catalyst system offers compelling economic and logistical benefits. The primary driver for cost reduction is the recoverability of the palladium catalyst. In traditional processes, the palladium is lost in the mother liquor or requires expensive scavenging resins to meet residual metal specifications. With the Pd/C system, the catalyst is retained as a solid filter cake, allowing for direct recovery and refining, which significantly lowers the net consumption of this precious metal. Additionally, the simplified workup procedure reduces solvent usage and processing time, contributing to overall manufacturing efficiency and lower utility costs per kilogram of API produced.
- Cost Reduction in Manufacturing: The implementation of a recyclable catalyst directly impacts the bill of materials by minimizing the loss of high-value palladium. Since the catalyst can be filtered and potentially regenerated, the effective cost per batch decreases substantially compared to single-use homogeneous systems. Furthermore, the reduction in downstream purification steps, such as extensive chromatography or specialized metal scavenging treatments, lowers the operational expenditure associated with labor and consumables. This leaner process flow translates to a more competitive cost structure for the final Faropenem Sodium product.
- Enhanced Supply Chain Reliability: Supply continuity is often threatened by the instability of key reagents. The patent notes that traditional homogeneous palladium catalysts degrade over time, necessitating frequent quality testing and potential disposal of expired batches. The Pd/C and triphenylphosphine combination exhibits superior shelf-life stability, reducing the risk of production delays caused by reagent failure. Moreover, the robustness of the heterogeneous catalyst allows for more flexible sourcing strategies, as standard grades of Pd/C are widely available from multiple global suppliers, mitigating the risk of single-source dependency.
- Scalability and Environmental Compliance: Scaling up pharmaceutical processes often amplifies waste generation, particularly regarding heavy metal disposal. By switching to a filterable catalyst, the volume of hazardous waste containing dissolved palladium is drastically reduced. The solid waste stream is easier to handle, transport, and process for metal recovery, aligning with stricter environmental regulations and sustainability goals. This ease of handling also facilitates smoother technology transfer from pilot plant to commercial scale, as filtration is a unit operation that scales linearly and predictably compared to complex extraction or precipitation protocols.
Frequently Asked Questions (FAQ)
The following questions address common technical and commercial inquiries regarding the implementation of this novel catalyst system in Faropenem Sodium production. These insights are derived directly from the experimental data and claims presented in the patent documentation, providing a factual basis for evaluating the technology's fit within your existing manufacturing infrastructure.
Q: How does the Pd/C catalyst system improve product purity compared to traditional methods?
A: Unlike homogeneous catalysts like Tetrakis(triphenylphosphine)palladium(0) which dissolve and contaminate the product, the heterogeneous Pd/C system allows for simple filtration, significantly reducing residual palladium levels in the final API.
Q: Is the catalyst reusable for multiple batches?
A: Yes, the patent highlights that the Pd/C catalyst can be recovered via suction filtration after the reaction, allowing for regeneration and reuse, which optimizes raw material costs.
Q: What are the storage stability advantages of this catalyst composition?
A: Traditional homogeneous palladium catalysts are prone to degradation upon long-term storage. The Pd/C and triphenylphosphine combination offers superior stability, ensuring consistent catalytic activity over time.
Partnering with NINGBO INNO PHARMCHEM: Your Reliable Faropenem Sodium Supplier
At NINGBO INNO PHARMCHEM, we recognize that the adoption of advanced catalytic technologies is key to maintaining a competitive edge in the generic antibiotic market. Our R&D team has extensively evaluated the Pd/C mediated de-allylation route and confirmed its viability for large-scale production. We possess extensive experience scaling diverse pathways from 100 kgs to 100 MT/annual commercial production, ensuring that the transition from lab-scale optimization to industrial manufacturing is seamless. Our facilities are equipped with rigorous QC labs capable of detecting trace metals at ppm levels, guaranteeing that every batch of Faropenem Sodium meets stringent purity specifications required by global pharmacopoeias.
We invite potential partners to discuss how this optimized synthetic route can enhance your supply chain resilience. By leveraging our expertise in heterogeneous catalysis, we can offer a Customized Cost-Saving Analysis tailored to your specific volume requirements. We encourage you to contact our technical procurement team to request specific COA data and route feasibility assessments, ensuring that your project moves forward with the highest degree of technical and commercial confidence.
Engineering Bottleneck?
Can't scale up this synthesis? Upload your target structure or CAS, and our CDMO team will evaluate the industrial feasibility within 24 hours. Request Evaluation →
