Advanced DOPO-Based Nitrogen Heterocyclic Flame Retardants for High-Performance Epoxy Systems
The global demand for environmentally compliant materials has driven a significant shift away from traditional halogenated flame retardants towards advanced phosphorus-nitrogen synergistic systems. Patent CN115612176A introduces a groundbreaking class of reactive flame retardants containing both DOPO groups and nitrogen-containing heterocyclic rings, specifically designed to address the limitations of existing technologies. This innovation represents a critical advancement for manufacturers seeking to enhance the fire safety of epoxy resin systems without compromising thermal stability or mechanical properties. By integrating active phenolic hydroxyl and secondary amino groups into the molecular structure, these compounds offer superior reactivity and compatibility with polymer matrices. As a leading reliable flame retardant supplier, we recognize that this technology provides a robust solution for industries ranging from microelectronic packaging to home building materials, where safety and performance are paramount.
The Limitations of Conventional Methods vs. The Novel Approach
The Limitations of Conventional Methods
Traditional halogenated flame retardants, while historically popular due to their low cost and high efficiency, present severe environmental and health hazards that can no longer be ignored in modern manufacturing. During combustion, these materials release large volumes of dense smoke and highly corrosive hydrogen halide gases, which cause secondary pollution and significant damage to equipment and human respiratory systems. Furthermore, the potential formation of halogenated diphenyl dioxins and furans during fire incidents poses long-term risks to immune and regenerative systems, prompting stringent regulatory bans across major markets. Even non-halogenated alternatives often suffer from poor compatibility with polymer substrates, high volatility, or inadequate thermal stability, leading to processing difficulties and inconsistent performance in final products. These inherent defects necessitate a fundamental rethinking of flame retardant chemistry to achieve both safety and sustainability.
The Novel Approach
The novel approach detailed in the patent data leverages the unique chemical properties of 9,10-dihydro-9-oxa-10-phosphaphenanthrene-10-oxide (DOPO) combined with nitrogen-rich heterocycles to create a synergistic effect that outperforms single-element additives. This molecular design ensures that the flame retardant is chemically bonded into the polymer network rather than physically blended, preventing migration and leaching over time. The synthesis route is remarkably efficient, utilizing mild reaction conditions and common solvents to achieve high yields with minimal purification steps, which directly translates to cost reduction in polymer additive manufacturing. By replacing volatile liquid phosphorus compounds with stable solid derivatives, this method significantly improves the handling safety and processing window for resin formulators. The result is a high-purity epoxy intermediate that delivers consistent V-0 fire ratings while maintaining the optical clarity and mechanical strength required for advanced applications.
Mechanistic Insights into P-N Synergistic Cyclization and Char Formation
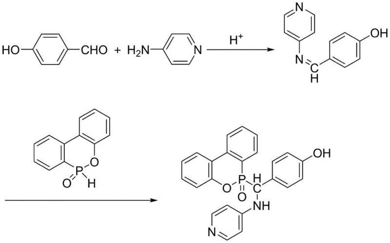
The chemical mechanism underlying this technology involves a sophisticated two-step sequence that constructs a robust phosphaphenanthrene-nitrogen heterocycle framework capable of interrupting combustion cycles. Initially, a condensation reaction occurs between an aminopyridine or aminopyrazine derivative and p-hydroxybenzaldehyde to form an imine intermediate, which serves as the electrophilic center for the subsequent phosphorus incorporation. The DOPO molecule, possessing a reactive P-H bond, then undergoes an addition reaction across the carbon-nitrogen double bond of the imine, locking the phosphorus atom into a stable C-P linkage within the heterocyclic structure. This covalent integration ensures that the flame retardant does not volatilize prematurely during thermal stress, allowing it to remain active within the polymer matrix until decomposition temperatures are reached.
Upon exposure to extreme heat, the nitrogen-phosphorus synergy activates a dual-phase protection mechanism that drastically reduces flammability and smoke generation. In the gas phase, the nitrogen components decompose to release inert gases such as nitrogen, which dilute the concentration of oxygen and combustible volatiles surrounding the burning material. Simultaneously, in the condensed phase, the phosphorus species promote the formation of a dense, thermally stable char layer on the surface of the polymer. This char acts as a physical barrier, insulating the underlying material from heat flux and preventing the escape of pyrolysis products, thereby self-extinguishing the flame. The structural integrity of this char is reinforced by the rigid biphenyl backbone of the DOPO group, ensuring that the protective layer remains intact even under prolonged thermal exposure.

To visualize the precise synthetic pathway for the pyridine-based variant, the reaction scheme illustrates the transformation from simple aromatic precursors to the complex flame retardant structure. The process begins with the acid-catalyzed condensation of p-hydroxybenzaldehyde and 4-aminopyridine, followed by the nucleophilic attack of DOPO on the resulting Schiff base. This clear depiction of the reaction flow highlights the simplicity of the chemistry, which avoids the need for expensive transition metal catalysts or hazardous reagents. Understanding this mechanism is crucial for R&D teams aiming to optimize curing schedules and ensure complete consumption of reactive groups during the compounding of epoxy resins.
How to Synthesize High-Purity DOPO Flame Retardant Efficiently
Implementing this synthesis route in a production environment requires careful control of reaction parameters to maximize yield and purity while minimizing waste generation. The process is designed to be operationally simple, involving standard unit operations such as dissolution, heating, reflux, and filtration, which are easily scalable from laboratory to industrial reactors. Detailed standard operating procedures dictate the specific molar ratios, temperature profiles, and solvent choices necessary to achieve the reported high yields of over 90 percent. For technical teams preparing to adopt this technology, it is essential to follow the standardized synthesis steps outlined below to ensure batch-to-batch consistency and compliance with quality specifications.
- Condense 4-aminopyridine or aminopyrazine with p-hydroxybenzaldehyde in a solvent like ethanol under weakly acidic conditions at 50-60°C.
- Add DOPO to the reaction mixture after cooling, then heat to reflux temperature to facilitate the P-H addition to the imine intermediate.
- Cool the reaction, filter the resulting white solid, wash with absolute ethanol, and dry under vacuum to obtain the high-purity flame retardant.
Commercial Advantages for Procurement and Supply Chain Teams
From a procurement and supply chain perspective, this patented technology offers substantial strategic benefits by simplifying the sourcing of raw materials and streamlining the manufacturing workflow. The reliance on commercially available starting materials such as DOPO, aminopyridines, and common organic solvents reduces dependency on specialized or restricted chemical supply chains, thereby enhancing supply continuity. The elimination of complex purification steps like column chromatography in favor of simple crystallization and filtration significantly lowers processing time and energy consumption. These operational efficiencies contribute to a more resilient supply chain capable of meeting fluctuating market demands without compromising on product quality or delivery timelines.
- Cost Reduction in Manufacturing: The synthetic route eliminates the need for expensive transition metal catalysts and complex post-reaction cleanup procedures, leading to significant cost savings in production. By utilizing inexpensive solvents like ethanol or acetone that can be easily recovered and recycled, the overall material cost per kilogram of the final product is drastically reduced. Furthermore, the high reaction yield minimizes raw material waste, ensuring that the maximum amount of input chemicals is converted into saleable product. This economic efficiency allows manufacturers to offer competitive pricing while maintaining healthy margins, providing a clear financial advantage over traditional flame retardant solutions.
- Enhanced Supply Chain Reliability: The use of widely available commodity chemicals as precursors ensures that production is not vulnerable to the bottlenecks often associated with exotic or regulated reagents. Since the synthesis does not require specialized high-pressure equipment or cryogenic conditions, it can be performed in standard multipurpose chemical reactors found in most fine chemical facilities. This flexibility allows for rapid scaling of production capacity to meet urgent orders, effectively reducing lead time for high-purity flame retardants. Suppliers can therefore guarantee consistent availability, mitigating the risk of production stoppages for downstream epoxy resin manufacturers.
- Scalability and Environmental Compliance: The process generates minimal hazardous waste, as the primary byproducts are manageable and the solvents used are relatively benign compared to chlorinated alternatives. The solid nature of the final product simplifies packaging, storage, and transportation, reducing the logistical risks associated with handling liquids or unstable powders. This aligns perfectly with modern environmental, social, and governance (ESG) goals, enabling companies to market their end-products as greener and safer. The ease of commercial scale-up of complex polymer additives ensures that this technology can be deployed globally without significant infrastructure investment.

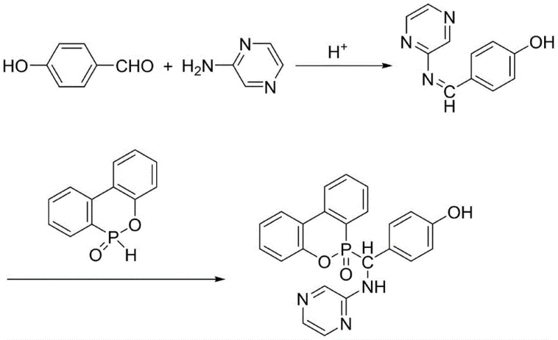
The versatility of this platform technology is further demonstrated by the ability to substitute different nitrogen heterocycles, such as pyrazine, to tune the properties of the final additive. As shown in the reaction scheme for the pyrazine variant, the core chemistry remains consistent, allowing manufacturers to leverage the same equipment and expertise to produce a family of related products. This modularity supports a diverse product portfolio, enabling suppliers to cater to specific customer requirements regarding thermal stability, solubility, or reactivity. Such flexibility is a key driver for long-term partnerships in the specialty chemical sector.
Frequently Asked Questions (FAQ)
To assist decision-makers in evaluating the feasibility of integrating this technology into their operations, we have compiled answers to common technical and commercial inquiries based on the patent specifications. These responses address critical concerns regarding performance metrics, regulatory compliance, and processing compatibility. Understanding these details is essential for validating the suitability of this flame retardant for your specific application requirements and ensuring a smooth transition from development to full-scale production.
Q: What are the advantages of this DOPO-based flame retardant over traditional halogenated types?
A: Unlike halogenated flame retardants that release corrosive hydrogen halides and toxic dioxins during combustion, this novel DOPO-based nitrogen heterocyclic compound offers an environmentally friendly alternative. It achieves superior flame retardancy through a nitrogen-phosphorus synergistic effect, promoting char formation without emitting hazardous smoke or gases, ensuring compliance with strict environmental regulations.
Q: How does the thermal stability of this additive compare to standard phosphorus flame retardants?
A: The molecular structure incorporates a rigid phosphaphenanthrene group from DOPO, which provides exceptional thermal stability compared to many liquid phosphorus additives. The presence of the nitrogen-containing heterocycle further enhances the char residue rate at high temperatures (up to 800°C), effectively protecting the polymer matrix from thermal decomposition and maintaining mechanical integrity under fire conditions.
Q: Is this flame retardant suitable for large-scale industrial epoxy applications?
A: Yes, the synthesis method described in patent CN115612176A utilizes common solvents like ethanol and straightforward filtration processes, making it highly scalable. The product exhibits excellent compatibility with bisphenol A epoxy resins, achieving UL-94 V-0 ratings at relatively low loading levels, which makes it commercially viable for microelectronic packaging and construction materials.
Partnering with NINGBO INNO PHARMCHEM: Your Reliable DOPO Derivative Supplier
At NINGBO INNO PHARMCHEM, we possess extensive experience scaling diverse pathways from 100 kgs to 100 MT/annual commercial production, ensuring that your supply needs are met with precision and reliability. Our state-of-the-art facilities are equipped with rigorous QC labs and adhere to stringent purity specifications, guaranteeing that every batch of flame retardant meets the highest industry standards. We understand the critical nature of supply chain continuity in the electronics and construction sectors, and our dedicated team works tirelessly to maintain optimal inventory levels and rapid response times. By choosing us as your partner, you gain access to a wealth of technical expertise and a commitment to quality that few competitors can match.
We invite you to contact our technical procurement team to request a Customized Cost-Saving Analysis tailored to your specific formulation needs. Our experts are ready to provide specific COA data and route feasibility assessments to help you validate the performance of these advanced DOPO derivatives in your systems. Let us collaborate to drive innovation and efficiency in your flame retardant strategy, ensuring your products remain competitive and compliant in a rapidly evolving global market.
