Advanced Perylene Diimide Electron Transport Materials: Scalable Synthesis for High-Efficiency Perovskite Photovoltaics
The rapid evolution of the photovoltaic sector has intensified the demand for high-performance, cost-effective electron transport materials (ETMs) capable of sustaining the efficiency gains of perovskite solar cells (PSCs). Patent CN111747971A introduces a groundbreaking class of perylene diimide (PDI) electron transport materials that utilize a phenothiazine dioxide group as a central core structure. This innovative molecular architecture addresses the critical limitations of traditional fullerene-based ETMs, such as PCBM, by offering superior thermal stability, tunable energy levels, and enhanced electron mobility. By strategically connecting perylene diimide groups at the 3- and 7-substitution positions of the phenothiazine dioxide unit, the invention successfully constructs molecules with twisted structural configurations that mitigate the strong π-π stacking effects typically detrimental to charge extraction. This technological leap not only promises higher photoelectric conversion efficiencies but also ensures long-term operational stability under working conditions, making it a pivotal development for the commercial viability of trans-planar perovskite solar cells.

As a reliable electronic chemical supplier, understanding the structural nuances of such advanced materials is paramount for integrating them into next-generation device architectures. The general formula presented in the patent highlights the versatility of the R and R1 groups, allowing for precise modulation of the material's physicochemical properties to match specific device requirements. This level of molecular engineering is essential for overcoming the hysteresis phenomena often observed in inverted perovskite devices, thereby unlocking the full potential of large-area module fabrication.
The Limitations of Conventional Methods vs. The Novel Approach
The Limitations of Conventional Methods
Historically, the domain of electron transport layers in inverted perovskite solar cells has been dominated by fullerene derivatives like PCBM and ICBA due to their isotropic charge transport properties and favorable energy level alignment. However, these conventional materials present significant bottlenecks for large-scale commercialization, primarily stemming from their inherently high production costs and relatively fixed energy levels which limit optimization opportunities. Furthermore, fullerene-based films often exhibit poor morphological stability and are prone to aggregation under thermal stress, leading to device degradation over time. The rigorous purification processes required to achieve electronic-grade purity for fullerenes further exacerbate the cost burden, creating a barrier for mass market adoption in the competitive renewable energy landscape. Additionally, the rigid spherical structure of fullerenes can sometimes lead to suboptimal interfacial contact with the perovskite layer, resulting in increased charge recombination losses that cap the overall power conversion efficiency of the solar module.
The Novel Approach
The novel approach detailed in patent CN111747971A circumvents these challenges by employing a non-fullerene strategy centered on perylene diimide derivatives modified with a phenothiazine dioxide core. This design ingeniously introduces steric hindrance through the twisted conformation of the central unit, effectively suppressing the excessive crystallization and aggregation that plague planar PDI molecules. By preventing dense π-π stacking, the material maintains an amorphous or semi-crystalline morphology that facilitates uniform film formation and efficient electron extraction without the need for complex thermal annealing protocols. Moreover, the synthetic flexibility of this system allows for the facile introduction of various peripheral groups, enabling fine-tuning of the HOMO-LUMO energy levels to perfectly match the perovskite absorber layer. This results in a significant reduction in voltage loss and an improvement in the fill factor, ultimately delivering device performance that rivals or exceeds that of state-of-the-art fullerene counterparts while offering a much more robust pathway for cost reduction in display & optoelectronic materials manufacturing.
Mechanistic Insights into Phenothiazine Dioxide Functionalization and Suzuki Coupling
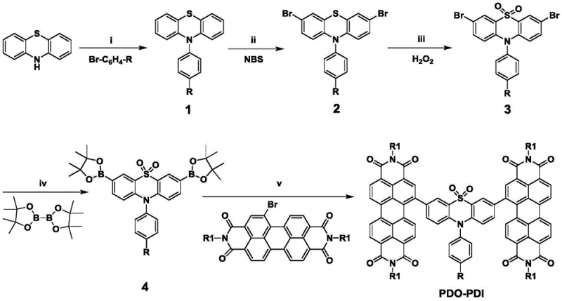
The synthesis of these advanced ETMs relies on a sophisticated sequence of organic transformations that ensure high regioselectivity and purity. The process initiates with a Buchwald-Hartwig amination, where phenothiazine is coupled with specific benzene derivative bromides under palladium catalysis to establish the foundational nitrogen-carbon bond. This is followed by a controlled bromination step using N-bromosuccinimide (NBS), which selectively functionalizes the aromatic rings at the desired positions for subsequent modification. A critical oxidation step utilizing hydrogen peroxide then converts the sulfur atom within the phenothiazine ring into a sulfone group (phenothiazine dioxide), which is instrumental in lowering the HOMO level and enhancing the electron-withdrawing character of the core. The resulting dibromo intermediate is subsequently transformed into a bis-boronate ester via Miyaura borylation, setting the stage for the final convergent step. This modular approach allows for the precise assembly of complex molecular architectures with minimal side reactions, ensuring that the final product possesses the requisite electronic properties for high-performance applications.

The final construction of the target molecule is achieved through a Suzuki-Miyaura cross-coupling reaction between the borylated phenothiazine dioxide core and brominated perylene diimide derivatives. This palladium-catalyzed coupling is highly efficient and tolerant of various functional groups, making it ideal for constructing the extended conjugated systems necessary for effective charge transport. The use of bulky substituents on the perylene units, combined with the twisted central core, creates a three-dimensional molecular topology that disrupts planar stacking. This structural distortion is key to inhibiting the formation of large crystalline domains that act as trap states for charge carriers. Consequently, the resulting films exhibit superior homogeneity and reduced defect density, which directly translates to improved open-circuit voltage and short-circuit current density in the finished solar cell devices. The robustness of this synthetic pathway ensures that high-purity electronic chemical batches can be produced consistently, meeting the stringent quality standards required by top-tier photovoltaic manufacturers.
How to Synthesize PDO-PDI Efficiently
The patented synthesis route offers a streamlined protocol for producing high-quality perylene diimide electron transport materials suitable for industrial application. The process leverages widely available starting materials and standard catalytic cycles to achieve high yields and purity profiles essential for electronic grade performance. By optimizing reaction conditions such as temperature, solvent choice, and catalyst loading, manufacturers can minimize impurity formation and simplify downstream purification efforts. The following guide outlines the critical stages involved in transforming simple precursors into the complex, high-value PDO-PDI architecture.
- Perform Buchwald carbon-nitrogen coupling between phenothiazine and benzene derivative bromides to form the core intermediate.
- Execute controlled bromination using NBS followed by oxidation with hydrogen peroxide to generate the phenothiazine dioxide scaffold.
- Complete the synthesis via Suzuki-Miyaura coupling between the borylated core and brominated perylene diimide derivatives.
Commercial Advantages for Procurement and Supply Chain Teams
For procurement managers and supply chain directors, the transition to this novel class of electron transport materials presents a compelling value proposition driven by fundamental shifts in raw material economics and process efficiency. Unlike fullerene derivatives which rely on scarce and expensive carbon soot precursors requiring energy-intensive separation techniques, the phenothiazine-based PDI synthesis utilizes commodity chemicals that are abundant in the global fine chemical market. This shift drastically reduces the baseline cost of goods sold (COGS) and mitigates the supply risk associated with niche carbon nanomaterials. Furthermore, the synthetic route avoids the use of exotic reagents or extreme reaction conditions, allowing for production in standard stainless steel reactors commonly found in multipurpose chemical plants. This compatibility with existing infrastructure significantly lowers the capital expenditure required for technology transfer and scale-up, accelerating the time-to-market for new photovoltaic products.
- Cost Reduction in Manufacturing: The elimination of expensive fullerene purification steps and the use of cost-effective starting materials like phenothiazine and simple aryl bromides lead to a substantial decrease in overall production costs. The synthetic pathway is designed to maximize atom economy and minimize waste generation, which further contributes to economic efficiency by reducing disposal fees and raw material consumption. Additionally, the high yield of the Suzuki coupling step ensures that precious palladium catalysts are utilized effectively, lowering the catalyst cost per kilogram of final product. These factors combine to create a highly competitive cost structure that enables the production of high-performance solar modules at a price point accessible for widespread commercial deployment.
- Enhanced Supply Chain Reliability: Sourcing strategies for this material benefit from the deep and stable supply chains of basic organic intermediates, ensuring consistent availability even during periods of market volatility. The reliance on established chemical building blocks means that multiple qualified suppliers can be engaged for raw materials, preventing single-source bottlenecks that often plague specialized electronic chemical supply chains. Moreover, the robustness of the synthesis allows for flexible production scheduling and inventory management, as the intermediates are stable and can be stockpiled without significant degradation. This reliability is crucial for maintaining continuous manufacturing lines in the fast-paced solar industry, where downtime can result in significant financial losses.
- Scalability and Environmental Compliance: The process is inherently scalable, moving seamlessly from gram-scale laboratory synthesis to multi-ton commercial production without requiring fundamental changes to the reaction chemistry. The use of common solvents like toluene and tetrahydrofuran simplifies solvent recovery and recycling systems, aligning with modern green chemistry principles and environmental regulations. The absence of heavy metal contaminants in the final product, thanks to efficient purification protocols, ensures compliance with strict international standards for electronic waste and device safety. This environmental stewardship not only reduces regulatory risk but also enhances the brand reputation of companies adopting this sustainable technology in their supply chains.
Frequently Asked Questions (FAQ)
The following questions address common technical and commercial inquiries regarding the implementation of phenothiazine dioxide-based perylene diimides in photovoltaic applications. These insights are derived directly from the experimental data and beneficial effects described in the patent documentation, providing a clear understanding of the material's capabilities and limitations. Understanding these details is essential for R&D teams evaluating the material for pilot line trials and for procurement teams assessing long-term supply viability.
Q: How does this new PDI material improve upon traditional fullerene electron transport layers?
A: Unlike fullerenes which suffer from fixed energy levels and poor stability, this phenothiazine dioxide-based PDI offers tunable energy levels, higher electron mobility, and significantly enhanced thermal and chemical stability, eliminating hysteresis in trans-planar perovskite solar cells.
Q: What represents the primary cost advantage in the manufacturing of PDO-PDI materials?
A: The synthesis utilizes readily available commodity chemicals like phenothiazine and avoids the expensive, complex purification processes associated with fullerene derivatives, leading to substantial reductions in raw material and processing costs.
Q: Is the synthetic route scalable for industrial production of electronic chemicals?
A: Yes, the patented method relies on robust, standard organic reactions such as Suzuki coupling and bromination which are well-established in industrial settings, ensuring high reproducibility and ease of scale-up from laboratory to commercial tonnage.
Partnering with NINGBO INNO PHARMCHEM: Your Reliable Perylene Diimide Supplier
At NINGBO INNO PHARMCHEM, we recognize the transformative potential of the phenothiazine dioxide-based perylene diimide technology outlined in patent CN111747971A for the future of renewable energy. As a premier CDMO partner, we possess extensive experience scaling diverse pathways from 100 kgs to 100 MT/annual commercial production, ensuring that your transition from lab-scale discovery to mass market deployment is seamless and efficient. Our state-of-the-art facilities are equipped to handle the specific requirements of electronic chemical synthesis, including stringent purity specifications and rigorous QC labs that guarantee every batch meets the exacting standards of the photovoltaic industry. We are committed to delivering high-purity OLED material and electronic intermediates that drive performance and reliability in your end products.
We invite you to collaborate with our technical procurement team to explore how this advanced electron transport material can optimize your device architecture and reduce overall system costs. Contact us today to request a Customized Cost-Saving Analysis tailored to your specific production volumes and performance targets. Our experts are ready to provide specific COA data and route feasibility assessments to support your R&D and supply chain planning, ensuring you stay ahead in the competitive landscape of perovskite solar cell manufacturing.
