Advanced Palladium-Catalyzed Synthesis of 2-Trifluoromethyl Quinazolinone Derivatives for Commercial Scale-Up
Advanced Palladium-Catalyzed Synthesis of 2-Trifluoromethyl Quinazolinone Derivatives for Commercial Scale-Up
The pharmaceutical industry continuously seeks robust synthetic routes for heterocyclic scaffolds that possess significant biological activity. Patent CN112125856A discloses a groundbreaking preparation method for 2-trifluoromethyl substituted quinazolinone derivatives, a class of compounds renowned for their anti-inflammatory, antiviral, and anticancer properties. This technology represents a paradigm shift in how these critical pharmaceutical intermediates are manufactured, moving away from hazardous gaseous reagents toward safer, solid-state alternatives. The introduction of the trifluoromethyl group is particularly strategic, as it enhances metabolic stability and lipophilicity, key parameters in modern drug design. By leveraging a transition metal palladium-catalyzed carbonylation tandem reaction, this method offers a streamlined pathway that addresses both safety concerns and efficiency metrics essential for high-volume production.

Quinazolinone derivatives are ubiquitous in medicinal chemistry, serving as the core structure for numerous approved drugs such as methaqualone and various kinase inhibitors. The structural diversity shown in existing therapeutics underscores the necessity for flexible synthetic methodologies that can accommodate various functional groups without compromising yield or purity. The ability to introduce a trifluoromethyl group at the 2-position specifically allows chemists to fine-tune the electronic properties of the molecule, often resulting in improved binding affinity to biological targets. This patent provides a versatile platform for generating libraries of these derivatives, facilitating the rapid discovery and development of next-generation therapeutic agents.
The Limitations of Conventional Methods vs. The Novel Approach
The Limitations of Conventional Methods
Historically, the synthesis of 2-trifluoromethyl quinazolinones has been fraught with significant technical and safety challenges that hinder commercial viability. Traditional protocols often rely on the direct use of carbon monoxide gas, a highly toxic and flammable substance that requires specialized high-pressure equipment and rigorous safety protocols, increasing capital expenditure and operational risk. Furthermore, alternative methods utilizing reagents like trifluoroacetic anhydride or T3P often suffer from harsh reaction conditions, limited substrate scope, and the generation of difficult-to-remove byproducts. These legacy processes frequently result in lower overall yields and necessitate complex purification steps, which drive up the cost of goods sold (COGS) and extend lead times for API intermediate delivery. The reliance on pre-activated substrates also adds synthetic steps, reducing the atom economy and environmental sustainability of the manufacturing process.
The Novel Approach
The methodology described in CN112125856A overcomes these hurdles by employing 1,3,5-tricarboxylate phenol ester (TFBen) as a solid carbon monoxide surrogate. This innovation eliminates the need for handling toxic CO gas, allowing the reaction to proceed under atmospheric pressure in standard glassware or reactors. The process utilizes readily available starting materials, specifically o-iodoaniline and trifluoroethylimidoyl chloride, which are cost-effective and commercially accessible. The reaction operates at a moderate temperature of 90°C in tetrahydrofuran (THF), providing a balance between reaction kinetics and energy consumption. This approach not only simplifies the operational workflow but also broadens the functional group tolerance, enabling the synthesis of diverse derivatives with electron-donating or electron-withdrawing substituents. The result is a more sustainable and economically attractive route for producing high-value heterocyclic building blocks.

Mechanistic Insights into Palladium-Catalyzed Carbonylation Tandem Reaction
The success of this synthesis lies in the intricate dance of the palladium catalytic cycle, which orchestrates the formation of multiple bonds in a single pot. The mechanism likely initiates with a base-promoted intermolecular carbon-nitrogen bond coupling between the o-iodoaniline and the trifluoroethylimidoyl chloride, generating a trifluoroacetamidine intermediate. Subsequently, the palladium catalyst, specifically bis(triphenylphosphine)palladium(II) dichloride coordinated with the dppp ligand, undergoes oxidative addition into the carbon-iodine bond of the aromatic ring. This forms a reactive divalent palladium species that is poised for the crucial carbonylation step. Upon heating, the solid surrogate TFBen decomposes to release carbon monoxide in situ, which then inserts into the carbon-palladium bond to form an acyl-palladium intermediate. This controlled release of CO ensures that the concentration of the gas remains low and manageable, preventing side reactions associated with high CO pressures.
Following the CO insertion, the intramolecular cyclization occurs where the nitrogen atom attacks the acyl-palladium center, facilitated by the base potassium tert-butoxide. This step forms a seven-membered ring palladium intermediate, which subsequently undergoes reductive elimination to release the final 2-trifluoromethyl substituted quinazolinone product and regenerate the active palladium catalyst. This tandem sequence is highly efficient because it combines C-N bond formation, carbonylation, and cyclization into a single operation. From an impurity control perspective, the mild conditions and the specific choice of ligands minimize the formation of homocoupling byproducts or dehalogenated species. The use of THF as a solvent further aids in solubilizing the polar intermediates while maintaining the stability of the catalytic species, ensuring a clean reaction profile that simplifies downstream processing.

How to Synthesize 2-Trifluoromethyl Quinazolinone Efficiently
Implementing this synthesis requires precise control over stoichiometry and reaction parameters to maximize yield and purity. The protocol is designed to be robust, tolerating slight variations in reagent quality while maintaining consistent performance. The key to success lies in the proper activation of the palladium catalyst and the timely release of carbon monoxide from the surrogate. Operators must ensure that the reaction mixture is thoroughly degassed prior to heating to prevent oxidation of the catalyst, although the system is less sensitive than traditional CO gas methods. The following guide outlines the standardized procedure derived from the patent examples, ensuring reproducibility across different scales of operation.
- Charge a reaction vessel with palladium catalyst Pd(PPh3)2Cl2, ligand dppp, base KOt-Bu, solid CO surrogate TFBen, trifluoroethylimidoyl chloride, and o-iodoaniline in THF solvent.
- Heat the reaction mixture to 90°C and maintain stirring for 16 to 30 hours to ensure complete conversion of the starting materials.
- Upon completion, filter the mixture, mix with silica gel, and purify via column chromatography to isolate the target 2-trifluoromethyl-substituted quinazolinone derivative.
Commercial Advantages for Procurement and Supply Chain Teams
For procurement managers and supply chain directors, the adoption of this novel synthetic route offers tangible benefits that extend beyond mere chemical curiosity. The shift from gaseous carbon monoxide to a solid surrogate fundamentally alters the risk profile of the manufacturing facility, potentially lowering insurance premiums and reducing the need for specialized gas handling infrastructure. This translates directly into cost reduction in pharmaceutical intermediate manufacturing by minimizing capital investment in safety systems and reducing the overhead associated with hazardous material storage. Furthermore, the use of cheap and widely available starting materials like o-iodoaniline derivatives ensures a stable supply chain, mitigating the risk of raw material shortages that can plague projects relying on exotic or custom-synthesized precursors.
- Cost Reduction in Manufacturing: The elimination of toxic carbon monoxide gas removes the requirement for high-pressure autoclaves and complex gas scrubbing systems, significantly lowering the barrier to entry for production. Additionally, the high atom economy of the tandem reaction reduces waste disposal costs, while the use of inexpensive palladium catalysts and ligands keeps reagent costs competitive. The simplified workup procedure, involving basic filtration and chromatography, reduces labor hours and solvent consumption compared to multi-step traditional syntheses, leading to substantial overall cost savings.
- Enhanced Supply Chain Reliability: The starting materials, including various substituted o-iodoanilines and trifluoroethylimidoyl chlorides, are commodity chemicals available from multiple global suppliers. This diversification of the supply base prevents single-source bottlenecks and ensures commercial scale-up of complex pharmaceutical intermediates can proceed without interruption. The robustness of the reaction conditions means that production schedules are less likely to be disrupted by minor fluctuations in raw material quality or environmental conditions, providing greater predictability for project timelines.
- Scalability and Environmental Compliance: The process generates minimal hazardous waste, aligning with increasingly stringent environmental regulations and corporate sustainability goals. The absence of toxic gas emissions simplifies permitting processes and reduces the environmental footprint of the facility. The reaction has been demonstrated to work efficiently on laboratory scales with high yields, and the straightforward nature of the chemistry suggests a smooth translation to pilot and commercial scales, ensuring reducing lead time for high-purity pharmaceutical intermediates from development to market.
Frequently Asked Questions (FAQ)
Understanding the technical nuances of this synthesis is critical for stakeholders evaluating its potential for their specific projects. The following questions address common concerns regarding safety, scalability, and product quality, drawing directly from the experimental data and mechanistic understanding provided in the patent documentation. These insights are intended to facilitate informed decision-making for R&D and operations teams considering the integration of this technology into their manufacturing portfolios.
Q: How does this method improve safety compared to traditional carbonylation?
A: This protocol utilizes 1,3,5-tricarboxylate phenol ester (TFBen) as a solid carbon monoxide surrogate, completely eliminating the need for handling toxic and hazardous carbon monoxide gas cylinders, thereby significantly enhancing operational safety in industrial settings.
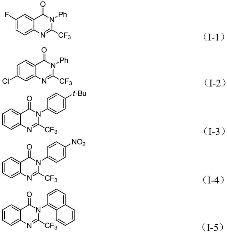
Q: What is the substrate scope for the R1 and R2 positions?
A: The method demonstrates excellent compatibility with various substituents. R1 can be hydrogen, alkyl, halogen, or trifluoromethyl, while R2 accommodates substituted or unsubstituted aryl groups including phenyl, naphthyl, and those with electron-withdrawing or donating groups like nitro or tert-butyl.
Q: Is the purification process suitable for large-scale manufacturing?
A: Yes, the post-treatment involves standard filtration followed by silica gel mixing and column chromatography. These are well-established unit operations in fine chemical manufacturing, ensuring that the process is scalable and capable of meeting stringent purity specifications for pharmaceutical intermediates.
Partnering with NINGBO INNO PHARMCHEM: Your Reliable 2-Trifluoromethyl Quinazolinone Supplier
At NINGBO INNO PHARMCHEM, we recognize the transformative potential of advanced synthetic methodologies like the one described in CN112125856A. As a leading CDMO partner, we possess the technical expertise and infrastructure to translate this laboratory-scale innovation into commercial reality. Our team has extensive experience scaling diverse pathways from 100 kgs to 100 MT/annual commercial production, ensuring that your project moves seamlessly from gram-scale optimization to multi-ton manufacturing. We are committed to delivering products that meet stringent purity specifications, supported by our rigorous QC labs equipped with state-of-the-art analytical instrumentation to verify identity and potency.
We invite you to collaborate with us to leverage this efficient synthesis for your drug development programs. Our technical sales team is ready to provide a Customized Cost-Saving Analysis tailored to your specific volume requirements and quality standards. Please contact our technical procurement team today to request specific COA data for our catalog compounds or to discuss route feasibility assessments for your custom synthesis needs. Let us help you optimize your supply chain and accelerate your time to market with our reliable and cost-effective manufacturing solutions.
