Advanced One-Pot Synthesis of 2-Trifluoromethyl Quinazolinones for Pharmaceutical Applications
Advanced One-Pot Synthesis of 2-Trifluoromethyl Quinazolinones for Pharmaceutical Applications
The landscape of pharmaceutical intermediate manufacturing is constantly evolving, driven by the need for more efficient, safer, and cost-effective synthetic routes. A significant breakthrough in this domain is documented in Chinese Patent CN112480015B, which details a robust method for synthesizing 2-trifluoromethyl substituted quinazolinones via a multi-component one-pot strategy. Quinazolinone derivatives are privileged scaffolds in medicinal chemistry, renowned for their diverse biological activities ranging from antifungal and antiviral properties to potent anticancer effects. The introduction of a trifluoromethyl group further enhances these molecules by improving metabolic stability, lipophilicity, and bioavailability, making them highly desirable candidates for drug development. This patent presents a transformative approach that addresses long-standing challenges in heterocyclic synthesis, offering a pathway that is not only chemically elegant but also commercially viable for large-scale production.
For R&D directors and process chemists, the significance of this technology lies in its ability to construct complex nitrogen-containing heterocycles from simple, commodity chemicals. Unlike traditional methods that often rely on hazardous gases or multi-step sequences with poor atom economy, this invention leverages a palladium-catalyzed carbonylation cascade. By utilizing trifluoroethylimidoyl chloride and nitro compounds as the primary building blocks, the process eliminates the need for pre-functionalized, expensive starting materials. This strategic shift in synthetic design allows for greater flexibility in substrate modification, enabling the rapid generation of diverse libraries of quinazolinone analogs for structure-activity relationship (SAR) studies. The methodology represents a paradigm shift towards greener, more sustainable chemistry without compromising on yield or purity.
The Limitations of Conventional Methods vs. The Novel Approach
The Limitations of Conventional Methods
Historically, the synthesis of quinazolinone cores has been fraught with operational difficulties and safety concerns that hinder efficient manufacturing. Conventional pathways frequently depend on the use of high-pressure carbon monoxide gas, which necessitates specialized autoclave equipment and rigorous safety protocols, thereby inflating capital expenditure and operational risks. Furthermore, many established routes require the use of precious metal catalysts like ruthenium or platinum under extreme conditions, which can lead to inconsistent results and difficult catalyst removal processes. Another major bottleneck is the reliance on pre-activated substrates, such as 2-bromoformylanilines or acid anhydrides, which are often costly, unstable, and require additional synthetic steps to prepare. These factors collectively contribute to longer lead times, higher production costs, and a larger environmental footprint, making traditional methods less attractive for modern, agile pharmaceutical supply chains.
The Novel Approach
The method disclosed in Patent CN112480015B offers a compelling solution to these inefficiencies by employing a tandem reaction sequence that proceeds under relatively mild conditions. By replacing gaseous CO with solid molybdenum hexacarbonyl (Mo(CO)6), the process inherently becomes safer and easier to handle in standard laboratory or plant settings. The reaction operates effectively at 120°C in 1,4-dioxane, utilizing a palladium catalyst system that demonstrates exceptional tolerance for various functional groups. This one-pot protocol seamlessly integrates nitro reduction, amidine formation, and cyclization into a single operational unit, drastically reducing the number of isolation and purification steps required. The result is a streamlined workflow that maximizes throughput while minimizing waste generation, aligning perfectly with the principles of green chemistry and lean manufacturing.

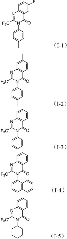
The versatility of this new approach is further evidenced by its broad substrate scope, accommodating a wide array of substituents on both the nitro compound and the imidoyl chloride components. As illustrated in the patent data, the system tolerates electron-donating and electron-withdrawing groups, including halogens, alkyl chains, and trifluoromethyl moieties, without significant loss in efficiency. This robustness is critical for process chemists who need to adapt synthetic routes quickly as drug candidates evolve. The ability to access diverse structural analogs from a common set of reagents simplifies inventory management and reduces the complexity of the supply chain, providing a distinct competitive advantage in the fast-paced environment of drug discovery and development.
Mechanistic Insights into Pd-Catalyzed Carbonylation Cascade
Understanding the mechanistic underpinnings of this transformation is essential for optimizing the process and ensuring consistent quality in commercial production. The reaction is believed to initiate with the reduction of the nitro compound to the corresponding amine by Mo(CO)6, which serves as both a reducing agent and a carbon monoxide source. Once the amine is generated in situ, it undergoes a base-promoted nucleophilic attack on the trifluoroethylimidoyl chloride to form a trifluoroacetamidine intermediate. This step is crucial as it sets the stage for the subsequent palladium-catalyzed cyclization. The palladium catalyst, specifically PdCl2 coordinated with the bidentate ligand 1,3-bis(diphenylphosphino)propane (dppp), then inserts into the carbon-iodine bond of the imidoyl chloride derivative, forming a reactive organopalladium species.
Following oxidative addition, the carbon monoxide released from the thermal decomposition of Mo(CO)6 inserts into the carbon-palladium bond, generating an acyl-palladium intermediate. This acyl species then undergoes intramolecular nucleophilic attack by the nitrogen atom of the amidine moiety, facilitated by the base, to close the ring and form a seven-membered palladacycle. The final step involves reductive elimination, which releases the desired 2-trifluoromethyl quinazolinone product and regenerates the active palladium catalyst for the next cycle. This intricate dance of coordination chemistry ensures high selectivity and minimizes the formation of side products, which is paramount for meeting the stringent purity specifications required in pharmaceutical applications. The choice of dppp as a ligand is particularly noteworthy, as its bite angle and electronic properties appear to stabilize the key intermediates effectively, driving the reaction to completion with impressive yields ranging from 69% to 96% across various substrates.

How to Synthesize 2-Trifluoromethyl Quinazolinones Efficiently
Implementing this synthesis in a practical setting requires careful attention to reagent stoichiometry and reaction parameters to maximize yield and minimize impurities. The patent outlines a straightforward procedure where all components—catalyst, ligand, base, CO source, and substrates—are combined in a single vessel, eliminating the need for intermediate workups. The use of sodium carbonate as a base is optimal for neutralizing the HCl byproduct generated during amidine formation, while 1,4-dioxane provides the ideal solvent environment for solubilizing both organic substrates and inorganic salts. For detailed operational guidelines, the standardized synthesis steps are provided below to ensure reproducibility and safety during scale-up efforts.
- Charge a reaction vessel with PdCl2, dppp ligand, Na2CO3, Mo(CO)6, trifluoroethylimidoyl chloride, and the specific nitro compound in 1,4-dioxane.
- Heat the reaction mixture to 120°C and stir for 16 to 30 hours to allow for nitro reduction, amidine formation, and cyclization.
- Upon completion, filter the mixture, mix with silica gel, and purify via column chromatography to isolate the target quinazolinone.
Commercial Advantages for Procurement and Supply Chain Teams
From a procurement and supply chain perspective, this technology offers substantial benefits that directly impact the bottom line and operational resilience. The shift towards using nitro compounds as starting materials is a game-changer, as these chemicals are ubiquitous, inexpensive, and available from multiple global suppliers, reducing the risk of supply disruptions. Unlike specialized precursors that may have long lead times or single-source dependencies, nitro aromatics are commodity chemicals with stable pricing and robust logistics networks. This accessibility translates into significant cost reduction in pharmaceutical intermediate manufacturing, allowing companies to secure raw materials at favorable rates and maintain healthy profit margins even in volatile market conditions.
- Cost Reduction in Manufacturing: The elimination of high-pressure equipment and hazardous gas handling infrastructure results in drastic capital expenditure savings. By using solid Mo(CO)6 instead of pressurized CO cylinders, facilities can operate with standard glass-lined reactors, lowering safety compliance costs and insurance premiums. Furthermore, the one-pot nature of the reaction reduces solvent consumption, energy usage for heating and cooling cycles, and labor hours associated with multiple isolation steps. These cumulative efficiencies lead to a leaner production process that is inherently more cost-effective than legacy methods, providing a clear economic advantage for high-volume production runs.
- Enhanced Supply Chain Reliability: The robustness of the catalytic system against functional group variations means that supply chains are less vulnerable to specific raw material shortages. If a particular substituted nitro compound becomes unavailable, the process can often accommodate alternative analogs with minimal re-optimization, ensuring continuity of supply for downstream API synthesis. Additionally, the high yields reported in the patent examples indicate a reliable conversion rate, minimizing the need for excessive over-processing or re-work batches. This predictability allows supply chain managers to plan inventory levels more accurately and meet delivery commitments with greater confidence, strengthening relationships with downstream pharmaceutical partners.
- Scalability and Environmental Compliance: Scaling this process from gram to kilogram or tonne levels is facilitated by the simplicity of the workup procedure, which involves basic filtration and chromatography. The absence of toxic heavy metal waste streams, beyond the recoverable palladium catalyst, simplifies effluent treatment and helps facilities meet increasingly strict environmental regulations. The use of recyclable solvents and the potential for catalyst recovery further enhance the sustainability profile of the process. For organizations committed to ESG (Environmental, Social, and Governance) goals, adopting this greener synthetic route demonstrates a proactive approach to responsible manufacturing, which is increasingly valued by investors and regulatory bodies alike.
Frequently Asked Questions (FAQ)
To assist technical teams in evaluating this technology for their specific applications, we have compiled answers to common questions regarding the process capabilities and limitations. These insights are derived directly from the experimental data and technical disclosures within the patent documentation, ensuring accuracy and relevance for decision-makers. Understanding these nuances is critical for assessing the feasibility of integrating this method into existing production workflows or new drug development pipelines.
Q: Why is this method superior to traditional quinazolinone synthesis?
A: Traditional methods often require harsh high-pressure carbon monoxide conditions or expensive pre-activated substrates like 2-bromoformylaniline. This novel approach utilizes cheap, readily available nitro compounds and generates CO in situ from Mo(CO)6, significantly simplifying the operation and improving safety.
Q: What is the role of Molybdenum Hexacarbonyl in this reaction?
A: Mo(CO)6 serves a dual function: it acts as a solid, safe surrogate for toxic carbon monoxide gas by releasing CO under heating conditions, and it simultaneously facilitates the reduction of the nitro group to an amine, which is a critical intermediate for the subsequent cyclization.
Q: Can this process be scaled for industrial production?
A: Yes, the patent explicitly demonstrates that the method is operable at the gram level with high efficiency. The use of standard organic solvents like 1,4-dioxane and the avoidance of high-pressure gas equipment make it highly suitable for commercial scale-up in pharmaceutical manufacturing.
Partnering with NINGBO INNO PHARMCHEM: Your Reliable 2-Trifluoromethyl Quinazolinone Supplier
At NINGBO INNO PHARMCHEM, we recognize the transformative potential of advanced synthetic methodologies like the one described in Patent CN112480015B. As a leading CDMO partner, we possess extensive experience scaling diverse pathways from 100 kgs to 100 MT/annual commercial production, ensuring that innovative lab-scale discoveries can be seamlessly translated into industrial reality. Our state-of-the-art facilities are equipped to handle complex palladium-catalyzed reactions with stringent purity specifications, supported by rigorous QC labs that guarantee every batch meets the highest international standards. We understand that consistency and quality are non-negotiable in the pharmaceutical industry, and our dedicated team is committed to delivering excellence at every stage of the manufacturing process.
We invite you to explore how our expertise can accelerate your project timelines and optimize your production costs. By leveraging our technical capabilities, you can access a Customized Cost-Saving Analysis tailored to your specific molecular targets. We encourage you to contact our technical procurement team today to request specific COA data and route feasibility assessments. Let us collaborate to bring your next-generation therapeutic candidates to market faster and more efficiently, securing a competitive edge in the global pharmaceutical landscape.
