Advanced Sulfonium Salt Photoacid Generators: Scaling Bio-Based Anions for Next-Gen Lithography
The semiconductor industry is currently witnessing a paradigm shift in photolithography materials, driven by the relentless demand for smaller feature sizes and higher pattern fidelity in Integrated Circuit (IC) manufacturing. A pivotal development in this domain is documented in patent CN112552298A, which discloses a novel class of sulfonium salt photo-acid generators (PAGs) synthesized from 16-epi-NB-methyl Voacarpine base. This innovation addresses the critical challenge of acid diffusion control, a factor that becomes increasingly significant as node sizes shrink. By integrating a bulky, bio-derived alkaloid skeleton into the anion structure, this technology offers a unique mechanism to suppress acid migration without compromising the solubility required for uniform resist coating. For R&D directors and procurement specialists seeking a reliable semiconductor chemical supplier, understanding the structural advantages of this Voacarpine-based architecture is essential for next-generation process optimization.
Furthermore, the preparation method outlined in the patent demonstrates a robust pathway for commercial scale-up of complex fine chemicals, utilizing straightforward esterification or carbonate formation reactions followed by efficient ion exchange. This approach not only simplifies the synthetic route compared to traditional multi-step organic syntheses but also leverages the inherent stereochemistry of the natural product to enhance performance. As we delve deeper into the technical specifics, it becomes evident that this represents a significant leap forward in designing functional additives that balance reactivity with stability. The following analysis explores how this specific molecular design translates into tangible benefits for electronic chemical manufacturing, particularly in terms of resolution enhancement and process latitude.
The Limitations of Conventional Methods vs. The Novel Approach
The Limitations of Conventional Methods
Traditional photo-acid generators often rely on small, symmetric anions such as triflate or nonaflate, which, while effective at generating acid, suffer from excessive diffusion lengths within the photoresist film. This uncontrolled migration of protons post-exposure leads to significant degradation in pattern rectangularity and increased Line Width Roughness (LWR), defects that are unacceptable in advanced logic and memory device fabrication. Moreover, many conventional synthetic routes for modifying these anions involve harsh conditions or expensive fluorinated reagents that complicate waste treatment and increase the overall cost reduction in electronic chemical manufacturing efforts. The lack of steric bulk in these traditional molecules means they cannot effectively anchor the acid species near the generation site, resulting in blurred images at the nanometer scale. Additionally, achieving the right balance of hydrophilicity and lipophilicity often requires complex side-chain engineering that adds unnecessary steps to the production workflow.
The Novel Approach
In stark contrast, the novel approach utilizing 16-epi-NB-methyl Voacarpine introduces a massive, rigid polycyclic framework that acts as a physical barrier to acid diffusion. This bulky anion structure effectively traps the photogenerated proton closer to its origin, thereby sharpening the latent image and improving the fidelity of the transferred mask pattern. The synthesis strategy described allows for the modular attachment of various sulfonic acid derivatives via ester or carbonate linkages, providing chemists with the flexibility to tune the solubility profile without altering the core diffusion-controlling skeleton. This modularity ensures that the photoacid generator can be well adhered to a silicon wafer while remaining uniformly dissolved in the resin matrix, preventing phase separation issues common in older formulations. By leveraging a green natural product as the starting material, this method also aligns with modern sustainability goals, offering a cleaner production profile that reduces the environmental burden associated with specialty chemical synthesis.
Mechanistic Insights into Voacarpine-Based Anion Design
The core mechanism behind the enhanced performance lies in the steric hindrance provided by the 16-epi-NB-methyl Voacarpine moiety, which possesses a molecular weight of approximately 382.45 Da. This substantial mass and complex three-dimensional geometry create a 'cage-like' environment around the sulfonate group, physically impeding the long-range migration of the acidic species upon UV exposure. Unlike smaller anions that allow protons to travel freely through the polymer network, this bulky structure ensures that the acid-catalyzed deprotection reaction occurs strictly within the exposed regions, drastically reducing edge roughness. The presence of the indole and ester functionalities within the alkaloid structure further contributes to intermolecular interactions with the resin matrix, stabilizing the PAG distribution and preventing crystallization during the post-apply bake process. This level of control is paramount for achieving the sub-20nm resolution required in cutting-edge semiconductor nodes.
Regarding impurity control, the synthetic pathway utilizes mild esterification conditions that minimize the formation of side products typically associated with aggressive sulfonation reactions. The intermediate formed retains the integrity of the sensitive alkaloid backbone, ensuring that the final product does not contain metal contaminants or residual halides that could poison the lithography process. The ion exchange step, performed in a biphasic system, allows for the efficient removal of inorganic salts, resulting in a high-purity photoacid generator suitable for stringent purity specifications. This meticulous attention to chemical purity ensures that the final photoresist formulation exhibits consistent sensitivity and shelf-life stability, critical factors for high-volume manufacturing environments where batch-to-batch variability must be eliminated.
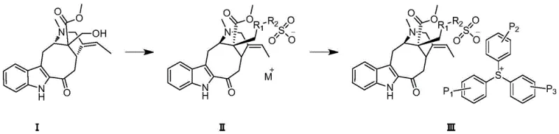
How to Synthesize 16-epi-NB-methyl Voacarpine PAG Efficiently
The synthesis of this advanced photo-acid generator follows a logical two-step sequence designed for scalability and reproducibility in a GMP-compliant facility. The process begins with the activation of the hydroxyl group on the Voacarpine base, followed by coupling with a sulfonic acid derivative to create the anionic precursor. Detailed standardized synthesis steps see the guide below, which outlines the precise stoichiometry and solvent systems required to maximize yield while maintaining safety standards. The subsequent ion exchange with triphenylsulfonium halides is conducted under controlled temperatures to prevent thermal decomposition of the sensitive ester linkages. This streamlined workflow exemplifies how complex organic molecules can be produced efficiently without resorting to cryogenic conditions or exotic catalysts.
- React 16-epi-NB-methyl Voacarpine with sulfoacetate compounds or bis(trichloromethyl) carbonate to form the intermediate anion structure.
- Purify the intermediate containing the Voacarpine-sulfonate structure via filtration and washing to remove unreacted starting materials.
- Perform an ion exchange reaction between the purified intermediate and a sulfonium halide salt in a biphasic solvent system to yield the final PAG.
Commercial Advantages for Procurement and Supply Chain Teams
From a strategic sourcing perspective, the adoption of this Voacarpine-based PAG technology offers compelling advantages for supply chain heads focused on reducing lead time for high-purity photoresists. The reliance on a naturally derived starting material mitigates the risks associated with volatile petrochemical feedstock markets, providing a more stable and predictable supply chain foundation. Furthermore, the simplified purification protocols, which rely on standard filtration and washing rather than complex chromatography, significantly lower the operational expenditure associated with manufacturing. This efficiency translates directly into cost reduction in manufacturing, as fewer processing hours and less solvent consumption are required to achieve the necessary purity levels. For procurement managers, this means securing a critical raw material with a lower total cost of ownership while maintaining the high performance standards demanded by semiconductor clients.
- Cost Reduction in Manufacturing: The elimination of transition metal catalysts and the use of ambient temperature reaction conditions drastically simplify the production infrastructure requirements. By avoiding the need for expensive heavy metal removal steps, manufacturers can achieve substantial cost savings while simultaneously reducing the environmental footprint of the process. The high yields reported in the patent examples indicate a robust process that minimizes raw material waste, further enhancing the economic viability of large-scale production runs. This economic efficiency allows suppliers to offer competitive pricing models without compromising on the quality or consistency of the final electronic chemical product.
- Enhanced Supply Chain Reliability: Utilizing 16-epi-NB-methyl Voacarpine as a key building block diversifies the raw material portfolio away from purely synthetic petrochemical derivatives. This bio-based origin story resonates with modern ESG (Environmental, Social, and Governance) mandates, making the supply chain more resilient to regulatory changes regarding carbon emissions and chemical safety. The straightforward synthetic route ensures that production can be scaled rapidly to meet surging demand without the bottlenecks typical of multi-step asymmetric syntheses. Consequently, partners can rely on a steady flow of materials, ensuring continuity in the fabrication of critical semiconductor components.
- Scalability and Environmental Compliance: The process generates minimal hazardous waste, as the primary byproducts are easily separable inorganic salts and benign organic solvents. This aligns perfectly with global trends towards greener chemistry in the electronics sector, facilitating easier permitting and compliance with strict environmental regulations. The ability to perform the ion exchange in common solvent systems like dichloromethane and water simplifies solvent recovery and recycling operations. Such environmental stewardship not only reduces disposal costs but also enhances the brand reputation of the manufacturer as a responsible partner in the high-tech supply chain.
Frequently Asked Questions (FAQ)
The following questions address common technical and commercial inquiries regarding the implementation of this novel photo-acid generator technology in industrial settings. These insights are derived directly from the patent specifications and are intended to clarify the operational benefits for potential adopters. Understanding these nuances is crucial for making informed decisions about integrating new materials into existing lithography stacks.
Q: How does the Voacarpine structure improve photoresist performance?
A: The bulky 16-epi-NB-methyl Voacarpine skeleton acts as a large counter-anion that significantly restricts the diffusion length of the photogenerated acid, leading to improved Line Width Roughness (LWR) and pattern fidelity in integrated circuit manufacturing.
Q: What are the solubility characteristics of this new PAG?
A: The inclusion of ester or carbonate groups alongside the alkaloid structure provides a balanced hydrophilic-lipophilic profile, ensuring uniform dissolution in resin matrices while maintaining sufficient adhesion to silicon wafer substrates.
Q: Is the raw material for this synthesis sustainably sourced?
A: Yes, the synthesis utilizes 16-epi-NB-methyl Voacarpine, which is derived from green natural product sources, offering a more environmentally friendly alternative to fully synthetic petrochemical-based anions.
Partnering with NINGBO INNO PHARMCHEM: Your Reliable 16-epi-NB-methyl Voacarpine PAG Supplier
At NINGBO INNO PHARMCHEM, we recognize the critical role that advanced photo-acid generators play in the continued miniaturization of semiconductor devices. As a premier CDMO expert, we possess extensive experience scaling diverse pathways from 100 kgs to 100 MT/annual commercial production, ensuring that your supply needs are met with precision and consistency. Our facilities are equipped with rigorous QC labs capable of verifying stringent purity specifications, guaranteeing that every batch of Voacarpine-based PAG meets the exacting standards of the microelectronics industry. We are committed to delivering high-purity photoacid generators that empower your R&D teams to push the boundaries of lithographic resolution.
We invite you to collaborate with our technical procurement team to explore how this innovative chemistry can optimize your specific application requirements. Please contact us to request a Customized Cost-Saving Analysis tailored to your current production volumes and performance targets. Our experts are ready to provide specific COA data and route feasibility assessments to demonstrate how we can become your trusted partner in advancing electronic material technologies.
