Advanced Niraparib Synthesis: Scalable Technology for Global API Manufacturing
Advanced Niraparib Synthesis: Scalable Technology for Global API Manufacturing
The global demand for Poly (ADP-ribose) polymerase (PARP) inhibitors has surged following the approval of Niraparib (marketed as Zejula) for ovarian cancer maintenance therapy. However, the industrial production of this critical active pharmaceutical ingredient (API) has historically been plagued by safety hazards and low efficiency. Patent CN115611860A, published in January 2023, introduces a transformative synthetic methodology that addresses these bottlenecks. This technical disclosure outlines a concise, high-yield route that eliminates the use of explosive sodium azide and bypasses the need for cumbersome chiral resolution. For R&D directors and procurement strategists, this innovation represents a pivotal shift towards safer, more cost-effective pharmaceutical intermediate manufacturing, ensuring a robust supply chain for this life-saving medication.
The Limitations of Conventional Methods vs. The Novel Approach
The Limitations of Conventional Methods
Prior art synthesis routes for Niraparib have relied heavily on complex multi-step sequences that introduce significant operational risks and cost inefficiencies. A common historical approach involves the Suzuki coupling of expensive starting materials like 4-iodonitrobenzene and 3-pyridine boronic acid, necessitating costly palladium catalysts such as Pd(PPh3)4. Furthermore, these legacy processes often require high-pressure hydrogenation conditions that are difficult to scale safely in standard industrial reactors. Perhaps most critically, traditional methods frequently employ sodium azide in the final cyclization steps; this reagent is notoriously unstable and poses severe explosion risks at elevated temperatures. Additionally, achieving the required optical purity often demands multiple recrystallizations for chiral resolution, leading to substantial material loss and reduced overall yield.

The Novel Approach
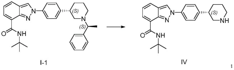
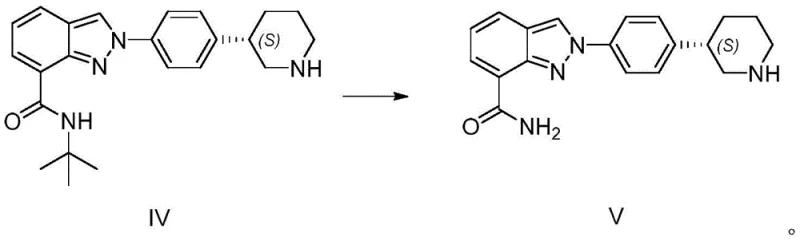
In stark contrast, the methodology disclosed in CN115611860A streamlines the synthesis into a highly efficient sequence centered on the strategic manipulation of intermediates I-1 and IV. The core innovation lies in the final two steps: a catalytic hydrogenolysis followed by an acid-mediated deprotection. By utilizing a specific palladium catalyst system in the presence of acetic acid, the process achieves clean conversion of Intermediate I-1 to Intermediate IV without compromising the sensitive indazole core. Subsequent treatment with methanesulfonic acid efficiently removes the protecting group to yield the final Niraparib base. This approach not only simplifies the workflow but also drastically enhances safety profiles by removing hazardous reagents entirely.


Mechanistic Insights into Copper-Catalyzed Ullmann Coupling
The construction of the key Intermediate I-1 is achieved through a robust Ullmann-type C-N coupling reaction, which serves as the foundation for the entire synthetic strategy. Unlike the palladium-dependent Suzuki couplings of the past, this method leverages earth-abundant copper sources, such as cuprous bromide (CuBr) or cuprous iodide (CuI), in conjunction with a base like potassium carbonate. The reaction is facilitated by the presence of 8-hydroxyquinoline, which acts as a crucial ligand to stabilize the copper species and promote the oxidative addition and reductive elimination cycles necessary for bond formation. This mechanistic pathway allows for the efficient coupling of the bromo-substituted piperidine derivative (Compound II-1) with the indazole carboxamide (Compound III) in polar aprotic solvents like DMSO or DMAC at temperatures ranging from 120 to 140°C.
From an impurity control perspective, this copper-catalyzed system offers distinct advantages over transition metal alternatives. The absence of phosphine ligands, which are prone to oxidation and difficult to remove to trace levels, simplifies downstream purification. Furthermore, the stereocenter established early in the synthesis using (S)-phenylethylamine is rigorously maintained throughout the coupling and subsequent reduction steps. The use of mild reducing agents, such as sodium borohydride in the presence of Lewis acids like boron trifluoride etherate, ensures that the chiral integrity of the piperidine ring is preserved with high enantiomeric excess (ee > 99%), eliminating the need for late-stage resolution that typically plagues racemic syntheses.
How to Synthesize Niraparib Efficiently
The synthesis of Niraparib via this novel route is designed for operational simplicity and industrial scalability. The process begins with the preparation of the chiral piperidine scaffold, followed by the critical Ullmann coupling to attach the indazole moiety. The final stages involve the selective removal of protecting groups under controlled hydrogenolysis and acidic conditions. This streamlined workflow minimizes unit operations and solvent exchanges, which are key drivers of manufacturing costs. For process chemists looking to implement this technology, the following guide outlines the critical phases of the synthesis as validated by the patent examples.
- Prepare Intermediate I-1 via Ullmann coupling of compound II-1 and N-tert-butyl-1H-indazole-7-carboxamide using a copper catalyst.
- Perform catalytic hydrogenolysis on Compound I-1 using Pd(OH)2-C in methanol and acetic acid to obtain Compound IV.
- Treat Compound IV with methanesulfonic acid in o-xylene to remove the tert-butyl group, yielding Niraparib (Compound V).
Commercial Advantages for Procurement and Supply Chain Teams
For procurement managers and supply chain heads, the adoption of this synthetic route offers compelling economic and logistical benefits. By shifting away from precious metal catalysts and hazardous reagents, manufacturers can significantly reduce raw material costs and mitigate supply chain disruptions associated with regulated chemicals. The elimination of chiral resolution steps directly translates to higher throughput and better atom economy, ensuring that every kilogram of starting material contributes to the final product yield. This efficiency is crucial for meeting the growing global demand for PARP inhibitors without incurring prohibitive production expenses.
- Cost Reduction in Manufacturing: The substitution of expensive palladium and platinum catalysts with economical copper salts results in substantial cost savings on catalyst procurement. Furthermore, the avoidance of sodium azide removes the need for specialized safety infrastructure and hazardous waste disposal protocols, which are significant cost centers in traditional API manufacturing. The high yields reported in the patent examples, such as the 89% yield for Intermediate I-1 and the 80% overall yield for the final two steps, indicate a highly efficient process that maximizes resource utilization.
- Enhanced Supply Chain Reliability: Reliance on commodity chemicals like copper bromide and common solvents such as methanol and o-xylene ensures a stable supply chain less susceptible to geopolitical fluctuations affecting rare earth or precious metal markets. The robustness of the Ullmann coupling and hydrogenolysis steps allows for consistent batch-to-batch quality, reducing the risk of production delays caused by failed reactions or out-of-specification impurities. This reliability is essential for maintaining continuous supply to downstream formulation partners.
- Scalability and Environmental Compliance: The process is inherently scalable, utilizing standard reactor equipment capable of handling moderate temperatures and pressures. The removal of explosive sodium azide greatly simplifies regulatory compliance and safety audits, facilitating faster technology transfer to large-scale production facilities. Additionally, the simplified workup procedures, often involving straightforward filtration and crystallization, reduce solvent consumption and waste generation, aligning with modern green chemistry principles and environmental sustainability goals.
Frequently Asked Questions (FAQ)
The following questions address common technical and commercial inquiries regarding the implementation of this Niraparib synthesis method. These insights are derived directly from the experimental data and claims presented in the patent documentation, providing clarity on the feasibility and advantages of this novel approach for potential licensees and manufacturing partners.
Q: How does this new method improve safety compared to traditional Niraparib synthesis?
A: Traditional routes often utilize sodium azide at high temperatures, posing significant explosion risks. This patented method completely eliminates the need for sodium azide, utilizing safer hydrogenolysis and acid deprotection steps instead.
Q: Does this process require chiral resolution?
A: No. The method utilizes (S)-phenylethylamine as a chiral source early in the synthesis, maintaining stereochemistry throughout without the need for inefficient and material-loss-prone chiral resolution steps.
Q: What catalysts are used in the key coupling step?
A: The process employs earth-abundant copper catalysts, such as cuprous bromide or cuprous iodide, often with 8-hydroxyquinoline as a ligand, replacing expensive palladium or platinum catalysts used in prior art.
Partnering with NINGBO INNO PHARMCHEM: Your Reliable Niraparib Supplier
As the pharmaceutical industry continues to evolve, the ability to rapidly scale complex synthetic pathways from laboratory bench to commercial production is paramount. NINGBO INNO PHARMCHEM stands at the forefront of this capability, offering extensive experience scaling diverse pathways from 100 kgs to 100 MT/annual commercial production. Our state-of-the-art facilities are equipped to handle the specific requirements of the CN115611860A process, including copper-catalyzed couplings and high-pressure hydrogenations, ensuring stringent purity specifications are met for every batch. With rigorous QC labs and a commitment to quality, we provide a secure source for high-purity Niraparib intermediates and API.
We invite global partners to collaborate with us to leverage this advanced technology for their supply chains. Our technical team is ready to provide a Customized Cost-Saving Analysis tailored to your specific volume requirements. We encourage you to contact our technical procurement team today to request specific COA data and route feasibility assessments, ensuring that your project moves forward with the most efficient and reliable manufacturing strategy available.
