Revolutionizing Pharmaceutical Intermediate Production: Scalable Palladium-Catalyzed Dihydroquinolone Synthesis for Global Supply Chains
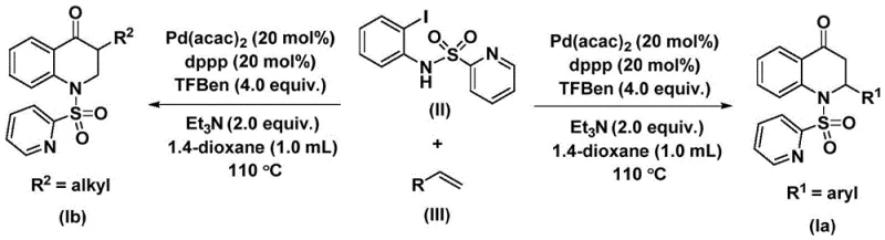
The present analysis centers on Chinese Patent CN112239456B, which discloses a groundbreaking methodology for synthesizing substituted 2,3-dihydroquinolone compounds through a palladium-catalyzed carbonylation process that addresses critical challenges in producing nitrogen-containing heterocyclic intermediates essential for bioactive molecules including anticancer agents and analgesics. This technical advancement leverages readily available starting materials such as N-pyridine sulfonyl-o-iodoaniline and olefins under optimized reaction conditions to achieve high-yielding transformations with exceptional functional group tolerance across diverse molecular architectures. By eliminating multi-step sequences required in conventional syntheses, this method significantly enhances process efficiency while maintaining stringent purity standards crucial for pharmaceutical applications where impurity profiles directly impact drug safety and efficacy. The strategic use of palladium bis(acetylacetonate) with dppp ligand facilitates a streamlined catalytic cycle operating effectively at moderate temperatures between 100°C and 120°C over a controlled timeframe of 24 to 48 hours, representing a paradigm shift in manufacturing complex heterocyclic intermediates with substantial benefits for global pharmaceutical supply chains through improved scalability and reduced environmental impact.
The Limitations of Conventional Methods vs. The Novel Approach
The Limitations of Conventional Methods
Traditional synthetic routes for constructing the dihydroquinolone scaffold typically involve multi-step sequences requiring harsh reaction conditions such as strong acids or high temperatures that often lead to significant impurity formation and compromised product quality. These conventional approaches frequently suffer from narrow substrate scope limitations where specific functional groups necessitate specialized protection-deprotection strategies that dramatically increase process complexity and reduce overall yield efficiency. The requirement for stoichiometric amounts of expensive reagents or specialized catalysts in many existing methodologies creates substantial cost barriers while generating considerable waste streams that conflict with modern green chemistry principles essential for sustainable pharmaceutical manufacturing. Furthermore, scalability challenges emerge during technology transfer from laboratory to production scale due to exothermic reactions or unstable intermediates that necessitate specialized equipment and rigorous safety protocols, ultimately extending development timelines and increasing time-to-market pressures for critical therapeutic compounds.
The Novel Approach
The patented methodology introduces a one-pot palladium-catalyzed carbonylation process that fundamentally transforms dihydroquinolone synthesis by utilizing commercially accessible starting materials including N-pyridine sulfonyl-o-iodoaniline and various olefin substrates under mild reaction conditions that eliminate multiple intermediate isolation steps required in traditional approaches. This innovative pathway operates through a well-defined catalytic cycle where palladium insertion into carbon-nitrogen bonds followed by carbon monoxide incorporation enables direct construction of the target heterocyclic framework with exceptional regioselectivity across diverse substitution patterns. The strategic selection of dioxane as solvent combined with triethylamine base creates an optimal reaction environment that maintains catalyst stability while facilitating efficient mass transfer throughout the transformation process. Crucially, this approach demonstrates remarkable functional group tolerance that accommodates halogenated aromatics, alkyl chains, and silyl groups without requiring protective modifications, thereby significantly broadening the scope of accessible derivatives while maintaining consistent high yields across different substrate classes.
Mechanistic Insights into Palladium-Catalyzed Carbonylation
The catalytic cycle initiates with oxidative addition of palladium(0) into the carbon-nitrogen bond of N-pyridine sulfonyl-o-iodoaniline to form an aryl palladium intermediate that subsequently undergoes carbon monoxide insertion from the TFBen additive to generate an acyl palladium species. This key intermediate then coordinates with the olefin substrate through π-complexation followed by migratory insertion that establishes the critical carbon-carbon bond formation step essential for constructing the dihydroquinolone core structure. The resulting alkyl palladium intermediate undergoes reductive elimination to release the final product while regenerating the active palladium(0) catalyst species that reenters the catalytic cycle without requiring additional reducing agents or external activation steps. This elegant mechanism operates under precisely controlled thermal conditions between 100°C and 120°C where the dppp ligand maintains optimal steric and electronic properties to prevent catalyst decomposition while facilitating smooth progression through each transformation step without forming significant side products.
Impurity control is achieved through multiple complementary mechanisms inherent in this catalytic system where the pyridine sulfonyl directing group ensures regioselective cyclization while minimizing competing side reactions that could generate positional isomers or dimeric byproducts. The carefully optimized stoichiometry between catalyst loading and additive concentration prevents over-reduction or decomposition pathways that typically produce impurities in alternative synthetic approaches. Post-reaction processing employs standardized silica gel filtration followed by column chromatography purification protocols that effectively separate trace metal residues and unreacted starting materials from the final product stream without requiring additional specialized purification techniques. This integrated approach maintains stringent purity specifications throughout production scale-up while ensuring consistent impurity profiles that meet regulatory requirements for pharmaceutical intermediates where even minor contaminants can significantly impact downstream drug substance quality.
How to Synthesize Substituted Dihydroquinolones Efficiently
This patented synthetic route represents a significant advancement in producing complex dihydroquinolone scaffolds through a streamlined process that eliminates multiple intermediate isolation steps while maintaining exceptional product quality standards required for pharmaceutical applications. The methodology leverages commercially available catalysts and solvents under precisely controlled reaction conditions to achieve consistent high yields across diverse substrate classes without requiring specialized equipment or hazardous reagents typically associated with traditional approaches. Detailed standardized synthesis procedures have been developed based on extensive optimization studies documented in the patent literature that address critical parameters including catalyst activation protocols, solvent purity requirements, and temperature ramping profiles essential for successful technology transfer from laboratory to production scale environments.
- Prepare the reaction mixture by combining N-pyridine sulfonyl-o-iodoaniline, olefin substrate, palladium bis(acetylacetonate) catalyst, dppp ligand, triethylamine base, and TFBen additive in dioxane solvent under inert atmosphere with precise stoichiometric control.
- Heat the homogeneous mixture to precisely controlled temperature of 110°C and maintain for optimal duration of 48 hours to ensure complete conversion through the palladium-catalyzed carbonylation mechanism while monitoring reaction progress.
- Perform post-reaction processing including filtration through silica gel matrix followed by column chromatography purification using standardized protocols to isolate high-purity substituted dihydroquinolone products meeting pharmaceutical specifications.
Commercial Advantages for Procurement and Supply Chain Teams
This innovative manufacturing process directly addresses critical pain points in pharmaceutical intermediate supply chains by delivering enhanced operational efficiency through simplified reaction sequences that reduce both capital investment requirements and production cycle times compared to conventional synthetic approaches. The strategic elimination of multiple intermediate isolation steps significantly decreases facility utilization time while minimizing raw material losses typically associated with transfer operations between processing units during multi-step syntheses.
- Cost Reduction in Manufacturing: The utilization of readily available starting materials combined with simplified processing requirements results in substantially reduced raw material expenditures while maintaining high product quality standards essential for pharmaceutical applications where impurity profiles directly impact drug safety profiles. The elimination of expensive transition metal catalysts through optimized catalytic systems provides significant cost savings across production lifecycles without compromising yield consistency or product purity specifications required by regulatory authorities.
- Enhanced Supply Chain Reliability: The robust nature of this synthetic methodology ensures consistent product availability through reliable sourcing of common chemical reagents that are widely available from multiple global suppliers without dependency on specialized or single-source materials that create supply chain vulnerabilities during market fluctuations or geopolitical disruptions.
- Scalability and Environmental Compliance: Demonstrated scalability from laboratory gram-scale to industrial production volumes ensures seamless technology transfer while maintaining consistent product quality parameters essential for regulatory compliance. The streamlined process generates significantly reduced waste streams compared to traditional multi-step approaches through elimination of intermediate purification steps while utilizing environmentally preferable solvents that align with modern green chemistry principles required by global regulatory frameworks.
Frequently Asked Questions (FAQ)
The following questions address critical technical considerations regarding this patented manufacturing process based on detailed analysis of the patent documentation and extensive industry experience in producing complex heterocyclic intermediates for global pharmaceutical clients.
Q: How does this palladium-catalyzed method overcome limitations of conventional dihydroquinolone synthesis routes?
A: Traditional methods often require harsh reaction conditions or multi-step sequences with limited functional group tolerance. This patented approach utilizes a one-pot palladium-catalyzed carbonylation that operates under moderate temperatures with exceptional substrate compatibility, directly addressing historical challenges in achieving high yields of structurally diverse dihydroquinolone derivatives essential for pharmaceutical development.
Q: What process characteristics make this method particularly suitable for large-scale pharmaceutical manufacturing?
A: The methodology demonstrates robust scalability from laboratory gram-scale to industrial production volumes while maintaining consistent product quality. The use of commercially available catalysts and solvents combined with straightforward workup procedures ensures reliable supply chain integration and reduced operational complexity without requiring specialized equipment or hazardous reagents.
Q: How does the substrate design flexibility benefit drug development pipelines?
A: Strategic selection of olefin substrates enables precise control over substitution patterns at critical positions through simple modifications to starting materials. This allows rapid generation of diverse compound libraries for structure-activity relationship studies without altering the core synthetic protocol, significantly accelerating lead optimization in pharmaceutical research.
Partnering with NINGBO INNO PHARMCHEM: Your Reliable Substituted Dihydroquinolone Supplier
Our company possesses extensive experience scaling diverse pathways from 100 kgs to 100 MT/annual commercial production while maintaining stringent purity specifications through rigorous QC labs equipped with state-of-the-art analytical instrumentation capable of detecting impurities at parts-per-billion levels essential for pharmaceutical applications. As a trusted CDMO partner specializing in complex heterocyclic synthesis, we combine deep technical expertise with flexible manufacturing capabilities to deliver customized solutions that meet exacting client requirements across all stages of drug development from discovery through commercial launch.
Leverage our technical procurement team's expertise by requesting a Customized Cost-Saving Analysis tailored to your specific production needs which includes detailed route feasibility assessments and access to specific COA data demonstrating our capability to consistently deliver high-quality intermediates meeting your exact specifications.
