Advanced Pd-Catalyzed Carbonylation for Commercial Scale-up of 2-Trifluoromethyl Quinazolinones
Advanced Pd-Catalyzed Carbonylation for Commercial Scale-up of 2-Trifluoromethyl Quinazolinones
The pharmaceutical industry continuously seeks robust synthetic methodologies to access complex heterocyclic scaffolds that serve as the backbone for next-generation therapeutics. Patent CN112125856A introduces a groundbreaking preparation method for 2-trifluoromethyl substituted quinazolinone derivatives, addressing critical bottlenecks in the synthesis of this privileged structural motif. Quinazolinones are ubiquitous in medicinal chemistry, known for their diverse biological activities ranging from anticancer and antiviral to antifungal and anticonvulsant properties. The strategic introduction of a trifluoromethyl group at the 2-position further enhances these molecules by improving metabolic stability, lipophilicity, and bioavailability, making them highly desirable candidates for drug development pipelines. This patent discloses a transition metal palladium-catalyzed carbonylation tandem reaction that utilizes inexpensive and readily available starting materials, specifically o-iodoaniline and trifluoroethylimidoyl chloride.

What sets this technology apart is its operational simplicity and safety profile, achieved by employing 1,3,5-tricarboxylate phenol ester (TFBen) as a solid carbon monoxide substitute. This innovation effectively circumvents the logistical nightmares and severe safety hazards associated with handling toxic, colorless carbon monoxide gas in a production environment. For R&D directors and process chemists, this represents a paradigm shift towards safer, more sustainable manufacturing protocols that do not compromise on yield or substrate scope. The method demonstrates excellent compatibility with various substituents, allowing for the modular design of diverse libraries essential for structure-activity relationship (SAR) studies.
The Limitations of Conventional Methods vs. The Novel Approach
The Limitations of Conventional Methods
Historically, the synthesis of 2-trifluoromethyl substituted quinazolinone derivatives has been fraught with significant technical and economic challenges that hinder efficient commercial scale-up. Traditional literature reports often rely on cyclization reactions involving anthranilamide with ethyl trifluoroacetate, trifluoroacetic anhydride, or trifluoroacetic acid under varying conditions. These classical approaches frequently suffer from harsh reaction conditions that require specialized equipment capable of withstanding extreme temperatures or pressures, thereby increasing capital expenditure. Furthermore, alternative routes utilizing isatoic anhydride or T3P-promoted tandem reactions often necessitate expensive, pre-activated substrates that drive up the raw material costs substantially. Another critical drawback is the narrow substrate scope; many conventional methods fail to tolerate sensitive functional groups, limiting the chemical diversity accessible to medicinal chemists. Low yields and difficult purification processes further exacerbate the inefficiency, resulting in higher waste generation and reduced overall process mass intensity (PMI).
The Novel Approach
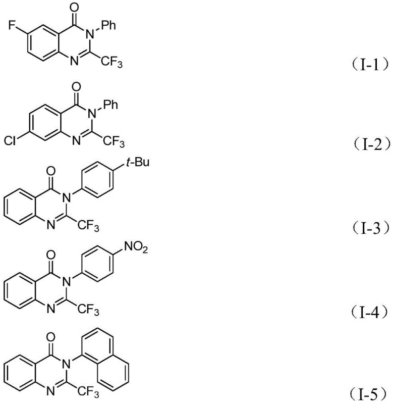
In stark contrast, the methodology described in CN112125856A offers a streamlined, catalytic solution that resolves these longstanding issues through a cleverly designed palladium-catalyzed carbonylation sequence. By utilizing o-iodoaniline and trifluoroethylimidoyl chloride as the primary building blocks, the process leverages the high reactivity of the carbon-iodine bond to facilitate smooth oxidative addition. The use of TFBen as a solid CO source is a masterstroke in process safety, allowing for the controlled release of carbon monoxide in situ without the need for high-pressure gas manifolds. This not only simplifies the reactor setup but also drastically reduces the risk of exposure to toxic gases for plant personnel. The reaction proceeds efficiently in common organic solvents like tetrahydrofuran (THF) at a moderate temperature of 90°C, conditions that are easily achievable in standard glass-lined or stainless steel reactors. This approach ensures high conversion rates and broad functional group tolerance, enabling the synthesis of derivatives with halogens, alkyl groups, and nitro substituents without the need for protecting group strategies.

Mechanistic Insights into Palladium-Catalyzed Carbonylation Tandem Reaction
Understanding the mechanistic underpinnings of this transformation is crucial for process optimization and troubleshooting during scale-up. The reaction is believed to initiate with a base-promoted intermolecular carbon-nitrogen bond coupling between the o-iodoaniline and the trifluoroethylimidoyl chloride, facilitated by potassium tert-butoxide, to generate a trifluoroacetamidine derivative intermediate. Subsequently, the palladium catalyst, typically bis(triphenylphosphine)palladium(II) dichloride reduced in situ to Pd(0), undergoes oxidative addition into the carbon-iodine bond of the aromatic ring. This step forms a key divalent palladium intermediate that is poised for carbonyl insertion. Upon heating, the solid CO surrogate TFBen decomposes to release carbon monoxide, which then inserts into the carbon-palladium bond to form an acyl-palladium species. This acyl intermediate is critical as it sets the stage for the ring-closing event.
Following the CO insertion, the presence of the base promotes the formation of a palladium-nitrogen bond, leading to the construction of a seven-membered ring palladium intermediate. This cyclic intermediate is unstable and rapidly undergoes reductive elimination to release the final 2-trifluoromethyl substituted quinazolinone product while regenerating the active Pd(0) catalyst to continue the cycle. This intricate dance of organometallic steps ensures high atom economy and minimizes the formation of side products. From an impurity control perspective, the specificity of the palladium insertion and the controlled release of CO help suppress competing homocoupling reactions or hydrodehalogenation pathways that often plague cross-coupling chemistries. The result is a cleaner crude reaction profile, which significantly eases the burden on downstream purification units and improves the overall yield of the high-purity API intermediate.
How to Synthesize 2-Trifluoromethyl Quinazolinone Efficiently
The practical execution of this synthesis is designed for reproducibility and ease of operation, making it an ideal candidate for technology transfer from the laboratory to the pilot plant. The protocol involves charging a reaction vessel with the palladium catalyst, the dppp ligand, the solid CO source TFBen, potassium tert-butoxide, and the two main organic substrates in an aprotic solvent. The detailed standardized synthesis steps, including precise stoichiometric ratios and workup procedures, are outlined below to ensure consistent quality.
- Combine palladium catalyst, dppp ligand, potassium tert-butoxide, TFBen (solid CO source), trifluoroethylimidoyl chloride, and o-iodoaniline in an organic solvent like THF.
- Heat the reaction mixture to 90°C and maintain stirring for 16 to 30 hours to allow the carbonylation tandem reaction to proceed to completion.
- Upon completion, filter the mixture, mix with silica gel, and purify via column chromatography to isolate the high-purity 2-trifluoromethyl-substituted quinazolinone derivative.
Commercial Advantages for Procurement and Supply Chain Teams
For procurement managers and supply chain heads, the adoption of this synthetic route offers tangible strategic benefits that extend beyond mere chemical elegance. The shift away from hazardous gaseous reagents to stable solid surrogates fundamentally alters the risk profile of the manufacturing process, leading to lower insurance premiums and reduced regulatory compliance costs. Moreover, the reliance on commodity chemicals like o-iodoaniline derivatives and commercially available trifluoroethylimidoyl chlorides ensures a stable and resilient supply chain, mitigating the risk of raw material shortages that can disrupt production schedules. The robustness of the reaction conditions allows for flexible scheduling and easier integration into existing multi-purpose manufacturing suites without requiring specialized high-pressure infrastructure.
- Cost Reduction in Manufacturing: The elimination of toxic carbon monoxide gas removes the need for expensive gas handling systems, leak detection sensors, and specialized scrubbing equipment, resulting in substantial capital expenditure savings. Additionally, the use of cheap and readily available starting materials, combined with the high efficiency of the palladium catalyst system, drives down the variable cost per kilogram of the final product. The simplified post-treatment process, which involves basic filtration and standard chromatography, reduces labor hours and solvent consumption, further enhancing the overall cost-effectiveness of the manufacturing campaign.
- Enhanced Supply Chain Reliability: Since the key reagents such as TFBen and various substituted o-iodoanilines are commercially sourced or easily synthesized from abundant precursors, the supply chain is less vulnerable to geopolitical disruptions or single-source bottlenecks. The broad substrate scope means that if one specific aniline derivative faces supply constraints, the process can often be adapted to use alternative analogs without re-validating the entire chemistry, providing procurement teams with greater flexibility in vendor management and inventory planning.
- Scalability and Environmental Compliance: The reaction operates at a moderate temperature of 90°C in THF, a solvent with well-established recovery and recycling protocols in the fine chemical industry. This facilitates straightforward scale-up from gram to ton quantities without encountering the heat transfer limitations often seen in exothermic gas-liquid reactions. Furthermore, the avoidance of stoichiometric amounts of hazardous activating agents like T3P or trifluoroacetic anhydride reduces the generation of acidic waste streams, aligning the process with increasingly stringent environmental regulations and corporate sustainability goals.

Frequently Asked Questions (FAQ)
The following questions address common technical and commercial inquiries regarding the implementation of this patented technology. These insights are derived directly from the experimental data and beneficial effects reported in the patent documentation, providing clarity for stakeholders evaluating this route for potential licensing or contract manufacturing opportunities.
Q: What are the safety advantages of using TFBen over traditional carbon monoxide sources?
A: TFBen (1,3,5-tricarboxylate phenol ester) acts as a solid carbon monoxide substitute, eliminating the need for handling toxic, colorless CO gas cylinders, thereby significantly enhancing operational safety and reducing regulatory compliance burdens in manufacturing facilities.
Q: How does this method improve substrate compatibility compared to conventional cyclization?
A: Unlike traditional methods requiring harsh conditions or pre-activated substrates, this Pd-catalyzed protocol tolerates a wide range of substituents (halogens, alkyl, nitro groups) on both the aniline and imidoyl chloride components, allowing for greater molecular diversity in drug design.
Q: Is this synthesis route suitable for large-scale commercial production?
A: Yes, the use of commercially available starting materials, standard organic solvents like THF, and moderate reaction temperatures (90°C) makes this process highly scalable and cost-effective for industrial API intermediate manufacturing.
Partnering with NINGBO INNO PHARMCHEM: Your Reliable 2-Trifluoromethyl Quinazolinone Supplier
At NINGBO INNO PHARMCHEM, we recognize the transformative potential of this palladium-catalyzed carbonylation technology for the rapid development of novel quinazolinone-based therapeutics. As a premier CDMO partner, we possess extensive experience scaling diverse pathways from 100 kgs to 100 MT/annual commercial production, ensuring that your project transitions smoothly from benchtop discovery to full-scale manufacturing. Our state-of-the-art facilities are equipped to handle air- and moisture-sensitive catalytic reactions safely, and our rigorous QC labs enforce stringent purity specifications to guarantee that every batch meets the exacting standards required for clinical and commercial applications.
We invite you to leverage our technical expertise to optimize this synthesis for your specific needs. Contact our technical procurement team today to request a Customized Cost-Saving Analysis tailored to your volume requirements. We are ready to provide specific COA data and comprehensive route feasibility assessments to demonstrate how our manufacturing capabilities can accelerate your time-to-market while maximizing value.
