Scalable One-Pot Synthesis of 2-Trifluoromethyl Quinazolinones for Pharmaceutical Applications
Scalable One-Pot Synthesis of 2-Trifluoromethyl Quinazolinones for Pharmaceutical Applications
The pharmaceutical industry continuously seeks robust synthetic routes for privileged scaffolds that offer enhanced metabolic stability and bioavailability. Patent CN112480015B introduces a groundbreaking multi-component one-pot method for synthesizing 2-trifluoromethyl substituted quinazolinones, a core structure found in numerous bioactive molecules ranging from antifungals to anticancer agents. This technology leverages a palladium-catalyzed carbonylation cascade that transforms inexpensive nitro compounds and trifluoroethylimidoyl chlorides into high-value heterocycles under relatively mild conditions. By integrating the introduction of the trifluoromethyl group directly into the ring formation step, this process addresses critical challenges in modern medicinal chemistry regarding lipophilicity and metabolic resistance. For R&D teams and supply chain managers, this patent represents a significant leap forward in the efficient manufacturing of complex nitrogen-containing heterocycles.

The Limitations of Conventional Methods vs. The Novel Approach
The Limitations of Conventional Methods
Historically, the construction of the quinazolinone core has relied on methodologies that impose severe constraints on process scalability and safety. Traditional routes often necessitate the use of high-pressure carbon monoxide gas, which requires specialized autoclaves and rigorous safety protocols that drastically increase capital expenditure and operational complexity. Furthermore, many existing catalytic systems depend on expensive ruthenium or platinum catalysts that are not only cost-prohibitive for large-scale production but also pose significant challenges regarding residual metal removal in final API products. Other methods require pre-activated substrates such as 2-bromoformylaniline or acid anhydrides, which add extra synthetic steps, generate additional waste, and lower the overall atom economy of the process. These conventional approaches frequently suffer from narrow substrate scope, failing to tolerate sensitive functional groups that are often essential for biological activity, thereby limiting their utility in diverse drug discovery programs.
The Novel Approach
In stark contrast, the methodology disclosed in CN112480015B utilizes a clever tandem reaction sequence that bypasses the need for external high-pressure CO gas by employing molybdenum hexacarbonyl as a solid, easy-to-handle carbon monoxide surrogate. This innovative strategy allows the reaction to proceed in a standard sealed vessel at 120°C, significantly lowering the barrier to entry for manufacturing facilities lacking high-pressure infrastructure. The process initiates with the reduction of the nitro group to an amine in situ, followed immediately by coupling and cyclization, effectively condensing multiple synthetic operations into a single pot. This telescoping of steps not only reduces solvent consumption and purification burdens but also minimizes the exposure of reactive intermediates to degradation, leading to superior overall yields. The use of earth-abundant palladium catalysts paired with standard phosphine ligands ensures that the process remains economically viable while delivering high-purity products suitable for downstream pharmaceutical applications.

Mechanistic Insights into Palladium-Catalyzed Carbonylation Cascade
The mechanistic pathway of this transformation is a sophisticated orchestration of reduction, coupling, and cyclization events driven by the synergistic action of palladium and molybdenum species. Initially, the molybdenum hexacarbonyl serves a dual purpose: it acts as the source of carbon monoxide for the carbonylation step and simultaneously functions as a reducing agent to convert the nitro starting material into the corresponding aniline intermediate. Once the amine is generated, it undergoes a base-promoted nucleophilic attack on the trifluoroethylimidoyl chloride to form a trifluoroacetamidine derivative. Subsequently, the palladium catalyst inserts into the carbon-iodine bond of the aromatic ring, generating a reactive organopalladium species that captures the released carbon monoxide to form an acyl-palladium intermediate. This acyl species then undergoes intramolecular cyclization with the nitrogen atom of the amidine moiety, forming a seven-membered palladacycle that finally collapses via reductive elimination to release the desired 2-trifluoromethyl quinazolinone product and regenerate the active catalyst.
From an impurity control perspective, this mechanism offers distinct advantages over stepwise syntheses where isolation of intermediates can lead to decomposition or side reactions. By maintaining the reactive amine and acylating agent in the same pot under controlled thermal conditions, the system favors the desired intramolecular cyclization over intermolecular oligomerization or hydrolysis. The choice of dioxane as the solvent is critical, as it effectively solubilizes both the organic substrates and the inorganic base while stabilizing the transition states involved in the palladium cycle. Furthermore, the mild basicity of sodium carbonate prevents the degradation of the sensitive trifluoromethyl group, ensuring that the final impurity profile is clean and manageable. This high level of chemoselectivity is paramount for pharmaceutical manufacturers who must adhere to strict regulatory guidelines regarding genotoxic impurities and residual solvents.

How to Synthesize 2-Trifluoromethyl Quinazolinones Efficiently
Implementing this synthesis requires precise control over stoichiometry and thermal parameters to maximize the efficiency of the carbonylation cascade. The patent outlines a straightforward protocol where the catalyst loading is kept low, typically around 5 mol% for palladium chloride, which helps in minimizing heavy metal contamination in the final product. Operators must ensure that the molybdenum hexacarbonyl is added in sufficient excess, usually around 2.0 equivalents, to drive both the reduction of the nitro group and the subsequent carbonylation to completion. The reaction temperature is maintained at 120°C for a duration of 16 to 30 hours, a window that balances reaction rate with energy consumption. Detailed standardized synthesis steps see the guide below.
- Combine palladium chloride, dppp ligand, sodium carbonate, Mo(CO)6, trifluoroethylimidoyl chloride, and nitro compound in an organic solvent like dioxane.
- Heat the reaction mixture to 120°C and stir for 16 to 30 hours to allow the carbonylation cascade and cyclization to proceed.
- Upon completion, filter the mixture, mix with silica gel, and purify via column chromatography to isolate the target quinazolinone.
Commercial Advantages for Procurement and Supply Chain Teams
For procurement managers and supply chain directors, the adoption of this synthetic route translates into tangible strategic benefits that extend beyond simple yield improvements. The shift away from high-pressure gas cylinders to solid reagents like Mo(CO)6 fundamentally alters the risk profile of the manufacturing process, allowing for production in standard glass-lined reactors rather than specialized high-pressure vessels. This flexibility significantly enhances supply chain resilience by enabling production across a wider range of contract manufacturing organizations without requiring costly facility upgrades. Moreover, the reliance on commodity chemicals such as nitro compounds and simple imidoyl chlorides ensures a stable and diversified supply base, reducing the risk of bottlenecks associated with exotic or proprietary starting materials.
- Cost Reduction in Manufacturing: The elimination of high-pressure carbon monoxide infrastructure results in substantial capital expenditure savings and reduced operational maintenance costs. By utilizing inexpensive nitro compounds as starting materials instead of pre-functionalized anilines or bromides, the raw material cost base is significantly lowered. The one-pot nature of the reaction reduces solvent usage and labor hours associated with intermediate isolations, leading to a more streamlined and cost-effective production workflow. Additionally, the high conversion rates observed minimize the loss of valuable fluorinated building blocks, further optimizing the overall cost of goods sold.
- Enhanced Supply Chain Reliability: The robustness of this method against varying substrate electronics means that supply chains are less vulnerable to specific batch failures caused by minor raw material quality fluctuations. Since the key reagents are widely available commodity chemicals, sourcing can be diversified across multiple global suppliers to mitigate geopolitical or logistical risks. The simplified workup procedure, involving basic filtration and chromatography, shortens the production cycle time, allowing for faster turnaround from order to delivery. This agility is crucial for meeting the dynamic demands of clinical trial material production and commercial launch schedules.
- Scalability and Environmental Compliance: The process demonstrates excellent scalability, having been validated from milligram to gram scales with consistent performance, indicating a clear path to multi-kilogram and tonne-level production. The use of dioxane, while requiring careful handling, is a well-understood solvent in the industry with established recovery and recycling protocols that support green chemistry initiatives. By avoiding the generation of stoichiometric amounts of heavy metal waste associated with some alternative reduction methods, this process aligns better with increasingly stringent environmental regulations. The high atom economy of the cascade reaction ensures that waste generation is minimized, supporting corporate sustainability goals.
Frequently Asked Questions (FAQ)
The following questions address common technical and commercial inquiries regarding the implementation of this patented technology in industrial settings. These answers are derived directly from the experimental data and technical specifications provided in the patent documentation to ensure accuracy and reliability. Understanding these details is essential for evaluating the feasibility of this route for your specific project requirements.
Q: What are the advantages of this one-pot method over traditional quinazolinone synthesis?
A: This method eliminates the need for high-pressure carbon monoxide gas and expensive pre-activated substrates. It utilizes cheap nitro compounds and generates CO in situ from Mo(CO)6, significantly improving operational safety and cost efficiency while maintaining high yields up to 96%.
Q: Is this process suitable for large-scale industrial production?
A: Yes, the patent explicitly states the method can be expanded to the gram level and beyond. The use of standard organic solvents like dioxane and commercially available catalysts makes it highly adaptable for commercial scale-up of complex pharmaceutical intermediates without specialized high-pressure equipment.
Q: What is the substrate scope for this reaction?
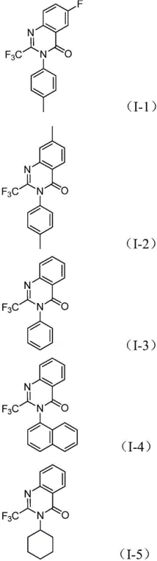
A: The reaction demonstrates excellent functional group tolerance. It accommodates various substituents on the nitro compound (R1 = H, alkyl, halogen, CF3) and diverse groups on the imidoyl chloride (R2 = alkyl, cycloalkyl, aryl), allowing for the synthesis of a wide library of bioactive analogues.
Partnering with NINGBO INNO PHARMCHEM: Your Reliable 2-Trifluoromethyl Quinazolinone Supplier
At NINGBO INNO PHARMCHEM, we recognize the critical role that advanced synthetic methodologies play in accelerating drug development timelines and reducing time-to-market. Our team of expert process chemists possesses extensive experience scaling diverse pathways from 100 kgs to 100 MT/annual commercial production, ensuring that the transition from lab bench to manufacturing plant is seamless and efficient. We are committed to delivering high-purity pharmaceutical intermediates that meet stringent purity specifications, supported by our rigorous QC labs equipped with state-of-the-art analytical instrumentation. Our capability to adapt complex catalytic cycles like the one described in CN112480015B allows us to offer customized solutions that optimize both cost and quality for our global partners.
We invite you to contact our technical procurement team to discuss how this innovative synthesis can be tailored to your specific project needs. By requesting a Customized Cost-Saving Analysis, you can gain deeper insights into the economic benefits of switching to this efficient one-pot method. We encourage potential partners to reach out for specific COA data and route feasibility assessments to verify the suitability of our manufacturing capabilities for your supply chain.
