Advanced Palladium-Catalyzed Synthesis of Aryl Acetamides for Commercial Scale-up
The pharmaceutical and fine chemical industries are constantly seeking more efficient and safer pathways to construct the ubiquitous amide bond, a cornerstone structural motif found in countless bioactive molecules and functional materials. Patent CN111978194B introduces a groundbreaking methodology for the preparation of aryl acetamide compounds that addresses several long-standing challenges in organic synthesis. This innovative approach utilizes a transition metal-catalyzed carbonylation strategy that uniquely employs benzyl formate as both a carbon monoxide source and a reactant, coupled with readily available tertiary amines. By circumventing the need for hazardous gaseous carbon monoxide and avoiding the use of excessive oxidants, this technology offers a robust platform for the commercial scale-up of complex amides. For R&D directors and process chemists, this represents a significant leap forward in designing synthetic routes that are not only high-yielding but also inherently safer and more environmentally benign.
The Limitations of Conventional Methods vs. The Novel Approach
The Limitations of Conventional Methods
Historically, the synthesis of aryl acetamide compounds has relied heavily on the direct amidation of phenylacetic acid and its derivatives, a process that often necessitates harsh activation conditions and generates substantial stoichiometric waste. Alternatively, transition metal-catalyzed carbonylation reactions have emerged as a powerful alternative; however, these traditional protocols predominantly utilize primary and secondary amines as nitrogen sources. The activation of the carbon-nitrogen bond in tertiary amines remains a formidable challenge due to the lack of an N-H proton and the steric bulk surrounding the nitrogen center. Furthermore, existing methods for tertiary amine carbonylation frequently suffer from severe drawbacks, including the requirement for explosive mixtures of carbon monoxide and oxygen or the use of large excesses of hazardous oxidants. These limitations create significant bottlenecks in cost reduction in pharmaceutical intermediates manufacturing, as they demand specialized high-pressure equipment and rigorous safety protocols that inflate operational expenditures.
The Novel Approach
In stark contrast to these conventional limitations, the novel methodology disclosed in the patent leverages a sophisticated palladium-catalyzed system that efficiently cleaves the C-N bond of tertiary amines without external oxidants. By utilizing benzyl formate as a safe, liquid surrogate for carbon monoxide, the reaction proceeds under relatively mild thermal conditions in common organic solvents like acetonitrile. This approach not only simplifies the operational setup by removing the need for high-pressure gas handling but also dramatically expands the substrate scope to include a wide variety of functional groups. The reaction demonstrates exceptional tolerance for substituents such as halogens, alkyl groups, and electron-donating or withdrawing moieties on the aromatic ring. As illustrated in the general reaction scheme below, the transformation converts simple benzyl formates and tertiary amines directly into valuable aryl acetamides with high efficiency.

Mechanistic Insights into Pd-Catalyzed Carbonylation and C-N Bond Cleavage
The success of this synthetic route lies in the intricate interplay between the palladium catalyst, the specific ligand system, and the activator. The reaction employs palladium acetate coordinated with DPEphos (bis(2-diphenylphosphinophenyl) ether), a bidentate ligand known for stabilizing palladium species and facilitating difficult oxidative addition steps. The presence of trifluoroacetic anhydride (TFAA) plays a critical role in activating the benzyl formate, likely generating a reactive acyl-palladium intermediate in situ. This activated species then engages with the tertiary amine, promoting the cleavage of the C-N bond through a mechanism that avoids the formation of unstable radical intermediates often associated with oxidant-driven processes. The result is a clean conversion where the formate group effectively inserts a carbonyl unit while the benzyl group is displaced, leading to the formation of the desired amide bond. This mechanistic elegance ensures that high-purity aryl acetamides can be obtained with minimal byproduct formation, a crucial factor for downstream purification in API synthesis.
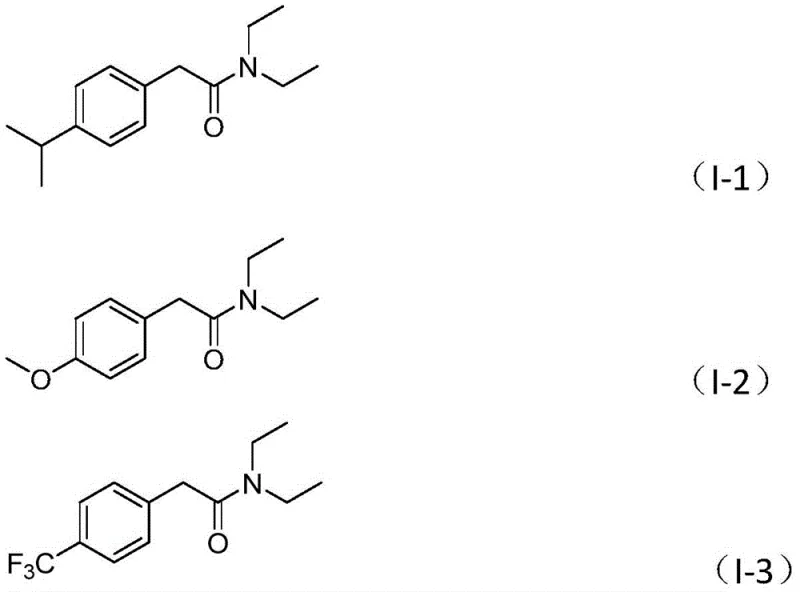
Furthermore, the substrate versatility of this catalytic system is evidenced by its ability to accommodate diverse electronic and steric environments. The patent data highlights the successful synthesis of various derivatives, including those with electron-rich methoxy groups, electron-deficient trifluoromethyl groups, and heteroaromatic systems like furan and thiophene. This broad functional group tolerance is vital for medicinal chemists who need to rapidly generate libraries of analogues for structure-activity relationship (SAR) studies. The specific examples provided in the patent, such as compounds I-1 through I-5, demonstrate that the method is robust enough to handle both simple alkyl amines and more complex substituted aromatic systems. The structural diversity shown in the examples below underscores the utility of this method for generating a wide array of chemical building blocks.

How to Synthesize Aryl Acetamide Efficiently
Implementing this synthesis in a laboratory or pilot plant setting involves a straightforward protocol that balances reaction efficiency with operational simplicity. The process begins with the precise combination of the palladium catalyst, ligand, and activators in a suitable solvent, followed by the addition of the benzyl formate and tertiary amine substrates. The reaction is then heated to promote the catalytic cycle, after which standard workup procedures involving filtration and chromatography yield the final product. For detailed operational parameters and specific stoichiometric ratios optimized for maximum yield, please refer to the standardized synthesis guide below.
- Combine palladium acetate, DPEphos ligand, benzyl formate, tertiary amine, and trifluoroacetic anhydride in an organic solvent such as acetonitrile.
- Heat the reaction mixture to 130°C and maintain stirring for approximately 24 hours to ensure complete conversion.
- Upon completion, filter the mixture, mix with silica gel, and purify via column chromatography to isolate the high-purity aryl acetamide product.
Commercial Advantages for Procurement and Supply Chain Teams
From a procurement and supply chain perspective, this patented technology offers compelling advantages that directly address the pain points of sourcing complex chemical intermediates. The shift from hazardous gaseous reagents to stable liquid precursors like benzyl formate significantly de-risks the manufacturing process, allowing for more flexible production scheduling and reduced insurance costs. Moreover, the elimination of expensive and dangerous oxidants simplifies the waste stream, leading to lower disposal costs and a smaller environmental footprint. These factors collectively contribute to a more resilient supply chain capable of meeting the rigorous demands of the global pharmaceutical market.
- Cost Reduction in Manufacturing: The economic benefits of this process are driven primarily by the use of cheap and readily available starting materials. Benzyl formate can be synthesized from inexpensive formic acid and benzyl alcohol, both of which are commodity chemicals with stable global supply chains. By avoiding the need for specialized high-pressure reactors required for gaseous CO reactions, capital expenditure for manufacturing facilities is drastically reduced. Additionally, the high atom economy and selectivity of the reaction minimize the loss of valuable raw materials, ensuring that the overall cost per kilogram of the final aryl acetamide is significantly optimized compared to traditional multi-step syntheses.
- Enhanced Supply Chain Reliability: Reliance on hazardous gases like carbon monoxide often introduces logistical bottlenecks and regulatory hurdles that can disrupt supply continuity. By substituting these with stable liquid reagents, manufacturers can maintain consistent production rates without the fear of gas supply interruptions or stringent transport restrictions. The robustness of the catalytic system also means that the process is less sensitive to minor variations in raw material quality, further stabilizing the supply of reliable aryl acetamide supplier outputs. This reliability is critical for long-term contracts where consistent delivery of high-quality intermediates is paramount.
- Scalability and Environmental Compliance: The simplicity of the post-treatment process, which involves basic filtration and standard chromatography, makes this method highly amenable to scale-up from gram to ton quantities. The absence of heavy metal oxidants and explosive gas mixtures aligns perfectly with modern green chemistry principles and increasingly strict environmental regulations. This compliance reduces the administrative burden on EHS (Environment, Health, and Safety) teams and facilitates faster regulatory approval for new drug applications that utilize these intermediates. Consequently, partners can accelerate their time-to-market while maintaining a sustainable manufacturing profile.
Frequently Asked Questions (FAQ)
The following questions address common technical inquiries regarding the implementation and scope of this palladium-catalyzed carbonylation technology. These insights are derived directly from the experimental data and beneficial effects described in the patent documentation, providing clarity for technical teams evaluating this route for adoption.
Q: Why is the activation of tertiary amine C-N bonds challenging in traditional synthesis?
A: Traditional methods often struggle with the inertness of the C-N bond in tertiary amines, typically requiring harsh oxidants or explosive CO/O2 mixtures to achieve cleavage, which poses significant safety and selectivity risks.
Q: What are the safety advantages of using benzyl formate over carbon monoxide gas?
A: Benzyl formate serves as a safe, liquid carbon monoxide surrogate, eliminating the need for high-pressure gas cylinders and reducing the risk of explosion associated with traditional carbonylation reactions.
Q: Does this method require additional oxidants for the reaction to proceed?
A: No, a key innovation of this patented process is that the cleavage of the tertiary amine C-N bond occurs without the need for additional external oxidants, simplifying the reaction profile and reducing waste.
Partnering with NINGBO INNO PHARMCHEM: Your Reliable Aryl Acetamide Supplier
At NINGBO INNO PHARMCHEM, we recognize the transformative potential of advanced catalytic methodologies like the one described in CN111978194B for accelerating drug discovery and development. As a premier CDMO partner, we possess extensive experience scaling diverse pathways from 100 kgs to 100 MT/annual commercial production, ensuring that your transition from lab-scale innovation to industrial reality is seamless. Our state-of-the-art facilities are equipped with rigorous QC labs and adhere to stringent purity specifications, guaranteeing that every batch of aryl acetamide intermediate meets the highest international standards for pharmaceutical applications.
We invite you to collaborate with us to leverage this cutting-edge synthesis technology for your specific project needs. Our technical team is ready to provide a Customized Cost-Saving Analysis tailored to your target molecule, demonstrating exactly how this route can optimize your budget. Please contact our technical procurement team today to request specific COA data and comprehensive route feasibility assessments, and let us help you secure a competitive advantage in the global market.
