Advanced Palladium-Catalyzed Synthesis of 2-Trifluoromethyl Quinazolinones for Commercial Scale-Up
The pharmaceutical industry continuously seeks robust synthetic pathways for heterocyclic scaffolds that possess significant biological activity, particularly within the realm of oncology and anti-inflammatory therapeutics. Patent CN112125856A introduces a transformative methodology for the preparation of 2-trifluoromethyl substituted quinazolinone derivatives, a class of compounds renowned for their potent pharmacological profiles including antiviral and anticancer properties. This innovation addresses critical bottlenecks in process chemistry by replacing hazardous gaseous reagents with stable solid surrogates, thereby enhancing operational safety and scalability. The disclosed technique leverages a transition metal palladium-catalyzed carbonylation tandem reaction, utilizing 1,3,5-tricarboxylate phenol ester (TFBen) as a solid carbon monoxide source. This strategic substitution not only mitigates the risks associated with toxic colorless carbon monoxide gas but also simplifies the reactor setup required for commercial production. For R&D directors and process chemists, this represents a significant leap forward in designing safer, more efficient routes for complex API intermediates that can be seamlessly integrated into existing manufacturing infrastructures without extensive capital investment in high-pressure gas handling systems.
The Limitations of Conventional Methods vs. The Novel Approach
The Limitations of Conventional Methods
Historically, the synthesis of 2-trifluoromethyl substituted quinazolinones has been plagued by significant technical and economic challenges that hinder large-scale adoption. Traditional protocols often rely on the cyclization of anthranilamides with ethyl trifluoroacetate or trifluoroacetic anhydride, processes that frequently demand harsh reaction conditions and generate substantial amounts of acidic waste. Furthermore, alternative routes involving T3P-promoted tandem reactions or the use of unstable trifluoroacetamides suffer from narrow substrate scopes and inconsistent yields, making them unreliable for consistent commercial supply. The reliance on pre-activated substrates increases the step count and overall cost of goods, while the use of gaseous carbon monoxide in carbonylation reactions poses severe safety hazards requiring specialized high-pressure equipment. These limitations collectively result in higher production costs, extended lead times, and increased environmental burdens, creating a pressing need for a more sustainable and operationally simple synthetic strategy that can deliver high-purity intermediates reliably.
The Novel Approach
The methodology described in the patent offers a compelling solution by employing a palladium-catalyzed carbonylation cascade that operates under remarkably mild conditions. By utilizing o-iodoaniline and trifluoroacetimidoyl chloride as inexpensive, commercially available starting materials, the process drastically reduces raw material costs compared to specialized precursors. The core innovation lies in the use of TFBen as a solid carbon monoxide surrogate, which decomposes under heating to release CO in situ, facilitating the carbonylation step without the need for external gas cylinders. This approach allows the reaction to proceed efficiently at 90°C in common organic solvents like tetrahydrofuran, achieving high conversion rates with excellent functional group tolerance. The simplicity of the workup procedure, involving filtration and standard column chromatography, further underscores the practicality of this method for both laboratory optimization and industrial scale-up, ensuring a reliable supply chain for high-value pharmaceutical intermediates.

Mechanistic Insights into Palladium-Catalyzed Carbonylation Tandem Reaction
The mechanistic pathway of this transformation involves a sophisticated sequence of organometallic steps that ensure high selectivity and yield. The reaction likely initiates with a base-promoted intermolecular carbon-nitrogen bond coupling between the o-iodoaniline and the trifluoroacetimidoyl chloride to form a trifluoroacetamidine intermediate. Subsequently, the palladium catalyst undergoes oxidative addition into the carbon-iodine bond, generating a divalent palladium species. As the temperature rises to 90°C, the TFBen additive decomposes to release carbon monoxide, which then inserts into the carbon-palladium bond to form a key acyl-palladium intermediate. This insertion step is critical for introducing the carbonyl functionality required for the quinazolinone ring closure. Under the influence of the base, an intramolecular cyclization occurs via nucleophilic attack of the nitrogen on the acyl center, forming a seven-membered palladium ring intermediate before final reductive elimination releases the desired 2-trifluoromethyl substituted quinazolinone product. This elegant cascade minimizes side reactions and ensures that the trifluoromethyl group is retained intact throughout the synthesis.
From an impurity control perspective, the mild reaction conditions and the specific choice of ligands play a pivotal role in maintaining product purity. The use of 1,3-bis(diphenylphosphine)propane (dppp) as a ligand stabilizes the palladium center, preventing premature catalyst decomposition which could lead to homocoupling byproducts. Furthermore, the in situ generation of carbon monoxide from TFBen avoids the concentration spikes associated with direct gas bubbling, leading to a more controlled insertion rate and reducing the formation of over-carbonylated impurities. The broad substrate compatibility demonstrated in the patent allows for the introduction of various electron-donating and electron-withdrawing groups without compromising the integrity of the core scaffold. This robustness is essential for medicinal chemists who need to rapidly iterate on lead compounds, as it ensures that structural modifications do not necessitate a complete re-optimization of the synthetic route, thereby accelerating the drug discovery timeline.

How to Synthesize 2-Trifluoromethyl Quinazolinone Efficiently
The synthesis protocol outlined in the patent provides a standardized framework for producing these valuable heterocycles with high reproducibility. The process is designed to be user-friendly, requiring standard laboratory glassware and commonly available reagents, which lowers the barrier to entry for implementation. Operators simply need to combine the palladium catalyst, ligand, base, solid CO source, and substrates in an aprotic solvent, followed by heating for a defined period. The subsequent purification steps are straightforward, relying on established techniques like silica gel chromatography that are familiar to any process chemistry team. For detailed operational parameters, stoichiometry, and specific workup instructions tailored to your specific batch size, please refer to the standardized synthesis guide below.
- Combine palladium catalyst (Pd(PPh3)2Cl2), ligand (dppp), base (KOt-Bu), solid CO source (TFBen), trifluoroacetimidoyl chloride, and o-iodoaniline derivative in an organic solvent such as THF.
- Heat the reaction mixture to 90°C and maintain stirring for a duration of 16 to 30 hours to ensure complete conversion via the carbonylation tandem pathway.
- Upon completion, filter the mixture, mix with silica gel, and purify the crude product using column chromatography to isolate the high-purity 2-trifluoromethyl quinazolinone derivative.
Commercial Advantages for Procurement and Supply Chain Teams
For procurement managers and supply chain leaders, the adoption of this novel synthetic route offers tangible benefits that extend beyond mere chemical efficiency. The shift away from hazardous gaseous reagents to stable solid surrogates significantly de-risks the manufacturing process, reducing insurance premiums and regulatory compliance burdens associated with toxic gas storage. Moreover, the use of cheap, commodity-grade starting materials like o-iodoaniline derivatives ensures a stable and cost-effective supply chain that is less susceptible to market volatility compared to specialized, custom-synthesized precursors. The operational simplicity of the reaction, which proceeds in common solvents at atmospheric pressure, allows for utilization of existing multipurpose reactors without the need for costly retrofitting for high-pressure operations. These factors collectively contribute to a more resilient supply chain capable of meeting tight delivery schedules while maintaining competitive pricing structures for downstream API manufacturers.
- Cost Reduction in Manufacturing: The elimination of high-pressure carbon monoxide equipment and the use of inexpensive solid CO surrogates drastically lower capital expenditure and operational costs. By avoiding expensive activating agents and pre-functionalized substrates required in traditional methods, the overall cost of goods sold is significantly reduced, allowing for better margin management in competitive therapeutic areas.
- Enhanced Supply Chain Reliability: Sourcing strategies are simplified as the key raw materials are widely available commodity chemicals rather than niche intermediates with long lead times. The robustness of the reaction conditions means that production is less likely to be interrupted by minor fluctuations in reagent quality or environmental conditions, ensuring consistent output and reliable delivery to customers.
- Scalability and Environmental Compliance: The process generates less hazardous waste compared to traditional anhydride-based methods, aligning with modern green chemistry principles and reducing disposal costs. The mild conditions and lack of toxic gas usage facilitate easier scale-up from kilogram to tonne quantities, enabling rapid response to market demand surges without compromising safety or environmental standards.
Frequently Asked Questions (FAQ)
The following questions address common technical and commercial inquiries regarding the implementation of this synthesis technology. These insights are derived directly from the experimental data and comparative analysis provided in the patent documentation, offering clarity on the practical aspects of adopting this method. Understanding these details helps stakeholders make informed decisions about integrating this chemistry into their development pipelines or manufacturing portfolios.
Q: What is the primary advantage of using TFBen in this synthesis?
A: TFBen (1,3,5-tricarboxylate phenol ester) serves as a solid carbon monoxide substitute, eliminating the need for handling toxic and hazardous carbon monoxide gas while maintaining high reaction efficiency under mild conditions.
Q: How does this method compare to traditional quinazolinone synthesis routes?
A: Unlike conventional methods that often require harsh conditions, expensive pre-activated substrates, or unstable reagents, this palladium-catalyzed approach utilizes cheap, readily available starting materials and offers a broader substrate scope with higher yields.
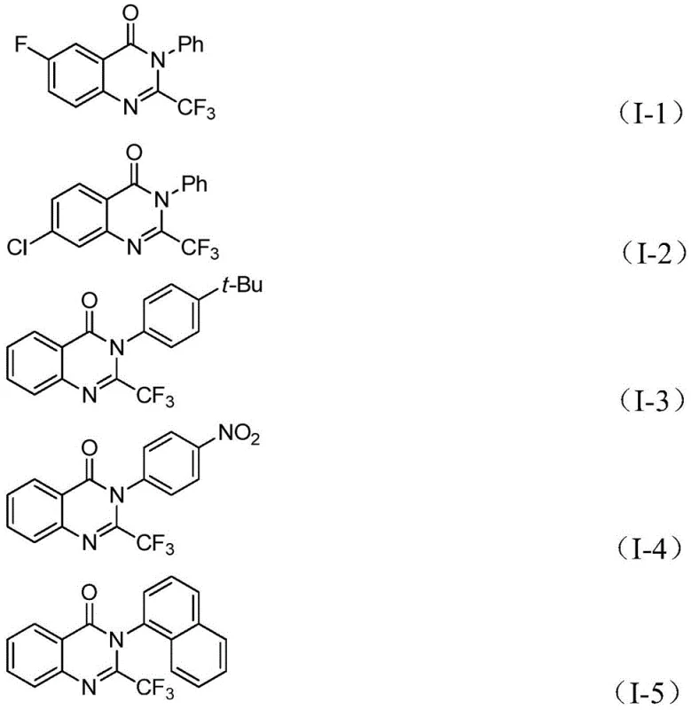
Q: What types of substituents are compatible with this reaction protocol?
A: The method demonstrates excellent functional group tolerance, accommodating various substituents on the aryl rings including halogens (F, Cl, Br), alkyl groups (methyl, tert-butyl), and electron-withdrawing groups like nitro, allowing for diverse molecular design.
Partnering with NINGBO INNO PHARMCHEM: Your Reliable 2-Trifluoromethyl Quinazolinone Supplier
At NINGBO INNO PHARMCHEM, we recognize the critical importance of having a dependable partner for complex pharmaceutical intermediates. Our team possesses extensive experience scaling diverse pathways from 100 kgs to 100 MT/annual commercial production, ensuring that the transition from lab-scale discovery to full-scale manufacturing is seamless and efficient. We adhere to stringent purity specifications and operate rigorous QC labs to guarantee that every batch of 2-trifluoromethyl quinazolinone meets the highest quality standards required for clinical and commercial applications. Our commitment to technical excellence allows us to navigate the complexities of palladium-catalyzed reactions with precision, delivering products that support your drug development goals.
We invite you to engage with our technical procurement team to discuss how this advanced synthesis method can optimize your supply chain. By requesting a Customized Cost-Saving Analysis, you can gain a deeper understanding of the economic benefits specific to your project volume. We encourage potential partners to contact us for specific COA data and route feasibility assessments, allowing us to demonstrate our capability to serve as your long-term strategic supplier for high-value heterocyclic intermediates.
