Advanced One-Pot Synthesis of 2-Trifluoromethyl Quinazolinones for Commercial Pharmaceutical Manufacturing
Introduction to Next-Generation Quinazolinone Synthesis
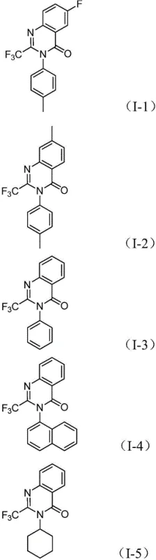
The landscape of pharmaceutical intermediate manufacturing is constantly evolving, driven by the need for more efficient, safer, and cost-effective synthetic routes. A significant breakthrough in this domain is detailed in patent CN112480015B, which discloses a novel multi-component one-pot method for synthesizing 2-trifluoromethyl substituted quinazolinones. These heterocyclic scaffolds are ubiquitous in medicinal chemistry, serving as the core structure for a wide array of bioactive molecules ranging from antifungal and antibacterial agents to anticancer drugs. As illustrated in the structural diversity of known pharmacologically active compounds, the quinazolinone motif is a privileged structure in drug design.

The introduction of a trifluoromethyl group onto this scaffold further enhances the physicochemical properties of the resulting molecules, such as metabolic stability, lipophilicity, and bioavailability, making them highly desirable candidates for modern drug discovery pipelines. For R&D directors and procurement managers alike, accessing a reliable supply of these complex intermediates through a robust synthetic pathway is critical. The methodology presented in this patent addresses key pain points in traditional synthesis, offering a streamlined approach that leverages palladium catalysis to construct these valuable cores with high efficiency and broad substrate compatibility, positioning it as a vital technology for the production of high-purity pharmaceutical intermediates.
The Limitations of Conventional Methods vs. The Novel Approach
The Limitations of Conventional Methods
Historically, the construction of the quinazolinone ring system has relied on several established but often problematic synthetic strategies. Traditional approaches frequently involve the use of hazardous high-pressure carbon monoxide gas in ruthenium or platinum-catalyzed reductive N-heterocyclization reactions, which pose significant safety risks and require specialized, expensive high-pressure equipment that limits scalability. Other methods utilize iron-catalyzed condensation reactions or palladium-catalyzed cyclizations involving 2-bromoformylaniline or acid anhydrides. These conventional routes are often plagued by harsh reaction conditions, the necessity for expensive or difficult-to-prepare starting materials that require pre-activation, and generally low yields. Furthermore, the substrate scope in many of these older methods is notoriously narrow, failing to tolerate sensitive functional groups, which restricts the chemical diversity accessible to medicinal chemists and complicates the supply chain for diverse analog libraries.
The Novel Approach
In stark contrast to these legacy methods, the technology described in patent CN112480015B introduces a transformative multi-component one-pot strategy that circumvents these historical bottlenecks. This novel approach utilizes cheap and readily available nitro compounds and trifluoroethylimidoyl chloride as the primary building blocks, eliminating the need for pre-activated substrates or dangerous high-pressure CO gas. Instead, it employs molybdenum hexacarbonyl (Mo(CO)6) as a safe, solid carbon monoxide surrogate, which releases CO in situ under heating conditions. The reaction is mediated by a palladium catalyst system, specifically palladium chloride paired with a dppp ligand, facilitating a cascade of transformations including nitro reduction, C-N bond formation, and carbonylative cyclization in a single vessel. This integration of steps not only simplifies the operational workflow but also drastically improves atom economy and overall reaction efficiency.

The versatility of this new method is evident in its ability to accommodate a wide range of substituents, allowing for the design and synthesis of various 2-trifluoromethyl-substituted quinazolinone derivatives tailored to specific biological targets. By shifting from hazardous gases and complex precursors to stable, commodity chemicals, this process represents a paradigm shift in cost reduction in pharmaceutical intermediate manufacturing, offering a safer and more economically viable route for commercial scale-up.
Mechanistic Insights into Pd-Catalyzed Carbonylative Cyclization
Understanding the mechanistic underpinnings of this transformation is crucial for R&D teams aiming to optimize the process for specific applications. The reaction likely proceeds through a sophisticated palladium-catalyzed cascade initiated by the reduction of the nitro group. Initially, the molybdenum hexacarbonyl serves a dual purpose: acting as the CO source and potentially assisting in the reduction of the nitro compound to the corresponding amine intermediate. Once the amine is generated in situ, it undergoes a base-promoted intermolecular coupling with the trifluoroethylimidoyl chloride to form a trifluoroacetamidine derivative. Subsequently, the palladium catalyst, activated by the dppp ligand, inserts into the carbon-iodine bond of the imidoyl chloride moiety (or a related intermediate), forming a divalent palladium species.
As the reaction temperature is maintained at 120°C, the Mo(CO)6 decomposes to release carbon monoxide, which then inserts into the carbon-palladium bond to generate an acyl-palladium intermediate. This key step is followed by an intramolecular nucleophilic attack or coordination that promotes the formation of a palladium-nitrogen bond, closing the ring to form a seven-membered cyclic palladium intermediate. The final step involves reductive elimination, which releases the desired 2-trifluoromethyl-substituted quinazolinone product and regenerates the active palladium catalyst. This intricate dance of organometallic steps ensures high selectivity and minimizes the formation of side products, thereby simplifying the impurity profile and downstream purification processes.

The robustness of this mechanism is further validated by the successful synthesis of a diverse library of compounds, as shown in the patent examples. Whether the aromatic ring bears electron-withdrawing groups like fluorine and chlorine or electron-donating groups like methyl, the catalytic cycle remains efficient, delivering high yields. This mechanistic resilience is a testament to the careful selection of the PdCl2/dppp catalyst system, which balances reactivity and stability, ensuring that even sterically hindered or electronically diverse substrates can be converted into high-purity quinazolinone derivatives suitable for rigorous biological testing.
How to Synthesize 2-Trifluoromethyl Quinazolinone Efficiently
Implementing this synthesis in a laboratory or pilot plant setting requires adherence to specific parameters to maximize yield and purity. The protocol outlined in the patent provides a clear roadmap for executing this multi-component reaction. It emphasizes the importance of reagent ratios, particularly the use of a slight excess of the nitro compound relative to the trifluoroethylimidoyl chloride to drive the reaction to completion. The choice of solvent is also critical, with 1,4-dioxane identified as the optimal medium for solubilizing all components and facilitating the catalytic cycle. For those looking to replicate or scale this process, the following standardized steps provide the foundational framework for successful execution.
- Combine palladium chloride, dppp ligand, sodium carbonate, Mo(CO)6, trifluoroethylimidoyl chloride, and nitro compound in an organic solvent like 1,4-dioxane.
- Heat the reaction mixture to 120°C and stir for 16 to 30 hours to allow the carbonylation cascade and cyclization to proceed.
- Upon completion, filter the mixture, mix with silica gel, and purify via column chromatography to isolate the target quinazolinone compound.
Commercial Advantages for Procurement and Supply Chain Teams
For procurement managers and supply chain heads, the transition to this novel synthetic methodology offers tangible strategic benefits that extend beyond mere chemical curiosity. The primary advantage lies in the drastic simplification of the raw material supply chain. By utilizing nitro compounds and trifluoroethylimidoyl chloride, which are commodity chemicals widely available from global suppliers, manufacturers can mitigate the risks associated with sourcing specialized, expensive, or proprietary starting materials. This shift to common feedstocks enhances supply chain reliability and reduces the lead time for high-purity pharmaceutical intermediates, ensuring consistent production schedules even in volatile market conditions. Furthermore, the elimination of high-pressure carbon monoxide gas removes the need for specialized infrastructure and safety protocols, lowering capital expenditure and operational overhead.
- Cost Reduction in Manufacturing: The economic impact of this process is profound, primarily driven by the replacement of costly reagents and hazardous conditions with affordable, stable alternatives. The use of Mo(CO)6 as a solid CO source eliminates the logistics and safety costs associated with handling toxic gases, while the high reaction efficiency minimizes waste and maximizes output per batch. Additionally, the simplified post-treatment process, which involves basic filtration and standard column chromatography, reduces the consumption of solvents and silica gel compared to more complex multi-step syntheses. These factors collectively contribute to substantial cost savings in API manufacturing, allowing for more competitive pricing of the final active pharmaceutical ingredients without compromising on quality or purity standards.
- Enhanced Supply Chain Reliability: In an era where supply chain resilience is paramount, this method offers a distinct advantage by relying on chemically stable and commercially abundant starting materials. Nitro compounds and simple aryl amines (precursors to the imidoyl chlorides) are produced on a massive industrial scale, ensuring a steady flow of raw materials that is less susceptible to the disruptions often seen with niche fine chemicals. The robustness of the reaction conditions also means that the process is less sensitive to minor variations in reagent quality, further stabilizing the supply chain. This reliability allows manufacturers to maintain larger safety stocks of finished intermediates and respond more agilely to fluctuations in demand from downstream pharmaceutical clients.
- Scalability and Environmental Compliance: From an environmental and regulatory perspective, this one-pot synthesis aligns well with green chemistry principles. The consolidation of multiple reaction steps into a single vessel reduces the overall solvent usage and energy consumption associated with heating, cooling, and transferring materials between stages. The avoidance of high-pressure equipment not only enhances safety but also simplifies the engineering requirements for scaling up from gram to kilogram or ton scales. Moreover, the high atom economy and reduced generation of hazardous by-products facilitate easier waste management and compliance with increasingly stringent environmental regulations, making this a sustainable choice for long-term commercial production of complex pharmaceutical intermediates.
Frequently Asked Questions (FAQ)
To assist technical teams in evaluating the feasibility of this technology for their specific projects, we have compiled answers to common questions regarding the reaction scope, conditions, and practical implementation. These insights are derived directly from the experimental data and technical specifications provided in the patent documentation, ensuring accuracy and relevance for process development discussions.
Q: What are the advantages of this method over traditional quinazolinone synthesis?
A: Unlike conventional methods requiring high-pressure carbon monoxide or expensive pre-activated substrates, this patent describes a one-pot process using cheap nitro compounds and solid Mo(CO)6 as a CO source, significantly improving safety and operational simplicity.
Q: What is the substrate scope for this palladium-catalyzed reaction?
A: The method demonstrates excellent functional group tolerance, successfully synthesizing derivatives with various substituents including halogens (F, Cl, Br), alkyl groups (methyl, propyl), and trifluoromethyl groups on both the aromatic ring and the nitrogen substituent.
Q: Is this process suitable for large-scale industrial production?
A: Yes, the patent explicitly states that the method can be expanded to the gram level and utilizes commercially available reagents, making it highly suitable for scaling up to commercial production volumes for pharmaceutical intermediates.
Partnering with NINGBO INNO PHARMCHEM: Your Reliable 2-Trifluoromethyl Quinazolinone Supplier
At NINGBO INNO PHARMCHEM, we recognize the critical role that advanced synthetic methodologies play in accelerating drug discovery and development. Our team of expert chemists possesses extensive experience scaling diverse pathways from 100 kgs to 100 MT/annual commercial production, ensuring that promising laboratory discoveries can be seamlessly translated into industrial reality. We are committed to delivering high-purity pharmaceutical intermediates that meet stringent purity specifications, supported by our rigorous QC labs equipped with state-of-the-art analytical instrumentation. Whether you require custom synthesis of novel quinazolinone derivatives or reliable supply of established intermediates, our infrastructure is designed to support your most demanding projects with precision and consistency.
We invite you to collaborate with us to leverage this cutting-edge palladium-catalyzed technology for your next drug candidate. By partnering with NINGBO INNO PHARMCHEM, you gain access to a Customized Cost-Saving Analysis tailored to your specific molecule, helping you optimize your budget without sacrificing quality. We encourage you to contact our technical procurement team today to request specific COA data, discuss route feasibility assessments, and explore how our manufacturing capabilities can support your supply chain goals. Let us be your trusted partner in bringing life-saving medicines to market faster and more efficiently.
