Advanced Palladium-Catalyzed Synthesis of 2-Trifluoromethyl Quinazolinone Derivatives for Commercial Scale-up
The pharmaceutical and fine chemical industries are constantly seeking robust methodologies to construct complex heterocyclic scaffolds that serve as the backbone for next-generation therapeutics. Patent CN112125856A introduces a groundbreaking preparation method for 2-trifluoromethyl substituted quinazolinone derivatives, addressing critical bottlenecks in current synthetic routes. Quinazolinone derivatives are privileged structures found in numerous bioactive molecules, exhibiting a broad spectrum of pharmacological activities including anti-inflammatory, antiviral, antifungal, anticonvulsant, and anticancer properties. The strategic introduction of a trifluoromethyl group at the 2-position significantly enhances the physicochemical profile of these molecules, improving metabolic stability, lipophilicity, and bioavailability. As illustrated in the structural diversity of known drugs below, the ability to efficiently access these motifs is paramount for modern drug discovery pipelines.

This novel technology leverages a transition metal palladium-catalyzed carbonylation tandem reaction, utilizing inexpensive and accessible starting materials such as trifluoroethylimidoyl chloride and o-iodoaniline. Unlike conventional methods that often rely on harsh conditions or unstable reagents, this approach employs 1,3,5-tricarboxylate phenol ester (TFBen) as a solid carbon monoxide substitute. This innovation not only simplifies the operational procedure but also mitigates the severe safety risks associated with handling toxic carbon monoxide gas, making it an ideal candidate for reliable pharmaceutical intermediate supplier networks aiming for safer, greener manufacturing processes.
The Limitations of Conventional Methods vs. The Novel Approach
The Limitations of Conventional Methods
Historically, the synthesis of 2-trifluoromethyl substituted quinazolinone derivatives has been plagued by significant technical and economic hurdles that hinder large-scale production. Traditional pathways often involve the cyclization of anthranilamide with ethyl trifluoroacetate, trifluoroacetic anhydride, or trifluoroacetic acid under rigorous conditions that demand precise temperature control and extended reaction times. Alternative routes utilizing isatoic anhydride or T3P-promoted tandem reactions frequently suffer from low yields and narrow substrate scopes, limiting the chemical diversity accessible to medicinal chemists. Furthermore, many established protocols require the use of gaseous carbon monoxide, a highly toxic and flammable substance that necessitates specialized high-pressure equipment and stringent safety protocols, drastically inflating capital expenditure and operational complexity in API manufacturing facilities.
The Novel Approach
The methodology disclosed in the patent data represents a paradigm shift by replacing hazardous gaseous reagents with a stable solid surrogate while maintaining high reaction efficiency. By employing a palladium catalyst system with a diphosphine ligand and a solid CO source, the reaction proceeds smoothly at a moderate temperature of 90°C in common organic solvents like tetrahydrofuran. This approach eliminates the need for high-pressure autoclaves and complex gas handling infrastructure, thereby facilitating cost reduction in pharmaceutical intermediate manufacturing. The general reaction scheme depicted below highlights the elegant convergence of o-iodoaniline and trifluoroethylimidoyl chloride into the target quinazolinone core, demonstrating a streamlined pathway that is both atom-economical and operationally simple for industrial scale-up.

Mechanistic Insights into Palladium-Catalyzed Carbonylation Tandem Reaction
The mechanistic pathway of this transformation involves a sophisticated sequence of organometallic steps that ensure high selectivity and yield. The reaction is initiated by a base-promoted intermolecular carbon-nitrogen bond coupling between the o-iodoaniline and the trifluoroethylimidoyl chloride, generating a trifluoroacetamidine intermediate in situ. Subsequently, the palladium catalyst undergoes oxidative addition into the carbon-iodine bond of the aromatic ring, forming a reactive divalent palladium species. Under thermal conditions, the solid TFBen decomposes to release carbon monoxide, which then inserts into the carbon-palladium bond to form an acyl-palladium intermediate. This critical carbonylation step is followed by intramolecular cyclization promoted by the base, leading to a seven-membered palladium ring intermediate before final reductive elimination releases the desired 2-trifluoromethyl substituted quinazolinone derivative and regenerates the active catalyst.
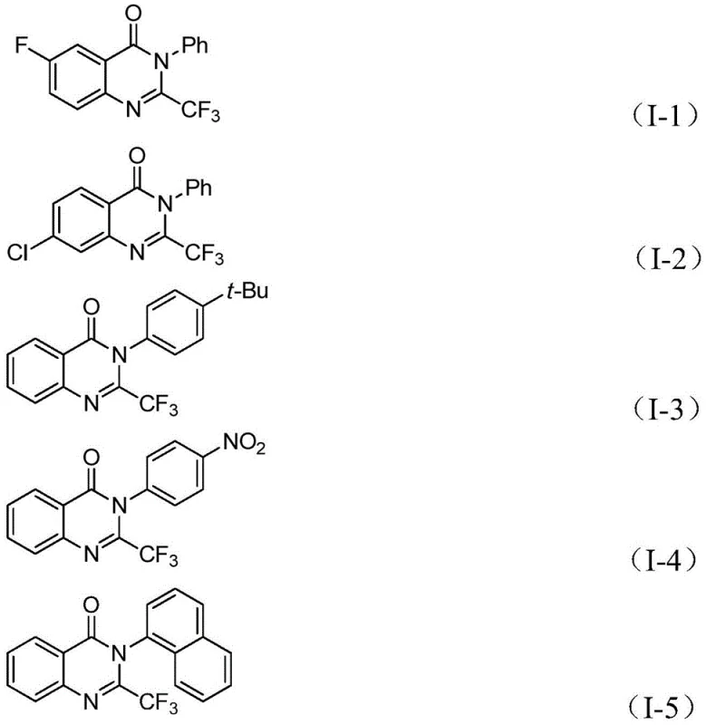
From an impurity control perspective, this mechanism offers distinct advantages over acid-mediated cyclizations. The mild basic conditions and the specific coordination environment provided by the dppp ligand minimize side reactions such as hydrolysis of the imidoyl chloride or polymerization of reactive intermediates. The compatibility of this system with various functional groups is evidenced by the successful synthesis of derivatives bearing electron-withdrawing and electron-donating substituents, as shown in the specific examples below. This broad substrate tolerance ensures that the process can be adapted for the commercial scale-up of complex pharmaceutical intermediates without requiring extensive re-optimization for each new analog, providing a robust platform for library synthesis.

How to Synthesize 2-Trifluoromethyl Quinazolinone Efficiently
The execution of this synthesis requires careful attention to reagent stoichiometry and reaction parameters to maximize conversion and minimize palladium residue in the final product. The process begins with the precise weighing of the palladium catalyst, ligand, base, and solid CO source, which are then combined with the substrates in an anhydrous organic solvent. Maintaining an inert atmosphere is crucial during the initial setup to prevent catalyst deactivation, although the use of a solid CO source simplifies the overall gas management compared to traditional carbonylations. For detailed procedural specifics regarding mixing orders, heating ramps, and purification techniques, please refer to the standardized synthesis guide provided in the subsequent section.
- Combine palladium catalyst, dppp ligand, potassium tert-butoxide, TFBen (solid CO source), trifluoroethylimidoyl chloride, and o-iodoaniline in an organic solvent like THF.
- Heat the reaction mixture to 90°C and maintain stirring for 16 to 30 hours to allow the carbonylation tandem reaction to proceed to completion.
- Upon completion, filter the mixture, mix with silica gel, and purify via column chromatography to isolate the target 2-trifluoromethyl-substituted quinazolinone derivative.
Commercial Advantages for Procurement and Supply Chain Teams
For procurement managers and supply chain directors, the adoption of this patented methodology offers tangible strategic benefits that extend beyond mere chemical yield. The shift from gaseous to solid reagents fundamentally alters the risk profile of the manufacturing process, reducing the need for specialized hazardous material storage and handling certifications. This simplification of the safety infrastructure translates directly into lower overhead costs and faster regulatory approval timelines for new production lines. Furthermore, the reliance on commercially available, off-the-shelf starting materials like o-iodoaniline derivatives ensures a stable and resilient supply chain, mitigating the risks associated with custom synthesis of exotic precursors that often plague niche API projects.
- Cost Reduction in Manufacturing: The elimination of toxic carbon monoxide gas removes the necessity for expensive high-pressure reactors and complex scrubbing systems, leading to substantial capital expenditure savings. Additionally, the use of cheap and abundant raw materials combined with a simplified workup procedure involving filtration and standard chromatography significantly lowers the cost of goods sold (COGS). The avoidance of pre-activation steps further reduces labor and utility consumption, making the overall process economically superior to legacy methods that rely on costly coupling reagents or anhydrides.
- Enhanced Supply Chain Reliability: The starting materials for this reaction, including various substituted o-iodoanilines and trifluoroethylimidoyl chlorides, are widely available from global chemical suppliers, ensuring consistent availability and reducing lead time for high-purity pharmaceutical intermediates. The robustness of the reaction conditions means that production schedules are less likely to be disrupted by sensitive parameter fluctuations, guaranteeing on-time delivery for downstream clients. This reliability is critical for maintaining continuous manufacturing flows in the fast-paced pharmaceutical sector where delays can have cascading effects on clinical trial timelines.
- Scalability and Environmental Compliance: The use of a solid carbon monoxide surrogate aligns perfectly with green chemistry principles by minimizing the release of volatile organic compounds and toxic gases into the environment. This feature simplifies waste treatment protocols and helps facilities meet increasingly stringent environmental regulations without additional investment in abatement technology. The process is inherently scalable from gram to multi-kilogram quantities using standard glass-lined or stainless steel reactors, facilitating a seamless transition from process development to full commercial production without the need for specialized high-pressure engineering.
Frequently Asked Questions (FAQ)
The following questions address common technical and commercial inquiries regarding the implementation of this synthesis technology. These insights are derived directly from the experimental data and comparative analysis presented in the patent documentation, providing a clear understanding of the method's capabilities and limitations. Understanding these details is essential for R&D teams evaluating process feasibility and procurement teams assessing vendor qualifications for long-term supply agreements.
Q: What are the safety advantages of this synthesis method compared to traditional carbonylation?
A: This method utilizes 1,3,5-tricarboxylate phenol ester (TFBen) as a solid carbon monoxide substitute, effectively avoiding the use of toxic and hazardous colorless carbon monoxide gas, thereby significantly enhancing operational safety in industrial settings.
Q: Does this protocol support a wide range of substrate substituents?
A: Yes, the method demonstrates excellent substrate compatibility, tolerating various substituents such as halogens (F, Cl, Br), alkyl groups, and nitro groups on both the aniline and imidoyl chloride components, allowing for diverse molecular design.
Q: What represents the primary cost driver reduction in this new process?
A: The primary cost reductions stem from the use of cheap and readily available starting materials like o-iodoaniline and trifluoroethylimidoyl chloride, coupled with the elimination of expensive pre-activation steps and specialized high-pressure gas equipment required for traditional CO methods.
Partnering with NINGBO INNO PHARMCHEM: Your Reliable 2-Trifluoromethyl Quinazolinone Supplier
At NINGBO INNO PHARMCHEM, we recognize the critical role that efficient synthetic methodologies play in accelerating drug development and reducing time-to-market. Our team of expert chemists possesses extensive experience scaling diverse pathways from 100 kgs to 100 MT/annual commercial production, ensuring that the transition from laboratory bench to industrial reactor is seamless and reproducible. We adhere to stringent purity specifications and operate rigorous QC labs equipped with advanced analytical instrumentation to guarantee that every batch of 2-trifluoromethyl quinazolinone derivative meets the highest quality standards required by global regulatory bodies.
We invite potential partners to engage with our technical procurement team to discuss how this innovative palladium-catalyzed route can be integrated into your specific supply chain. By requesting a Customized Cost-Saving Analysis, you can gain a detailed understanding of the economic benefits tailored to your volume requirements. We encourage you to contact us today to obtain specific COA data and route feasibility assessments, allowing you to make informed decisions that drive efficiency and profitability in your pharmaceutical manufacturing operations.
