Advanced One-Pot Synthesis of 2-Trifluoromethyl Quinazolinones for Scalable API Manufacturing
Introduction to Advanced Quinazolinone Synthesis
The pharmaceutical industry continuously seeks robust and efficient synthetic routes for heterocyclic scaffolds that serve as the backbone of modern therapeutics. Patent CN112480015B introduces a groundbreaking multi-component one-pot method for synthesizing 2-trifluoromethyl substituted quinazolinones, a class of compounds renowned for their potent biological activities including antifungal, antiviral, and anticancer properties. The incorporation of the trifluoromethyl group is particularly strategic, as it significantly enhances the metabolic stability, lipophilicity, and bioavailability of the parent molecule, making these derivatives highly valuable candidates for drug development. This novel approach addresses critical bottlenecks in traditional synthesis by utilizing inexpensive nitro compounds and trifluoroethylimidoyl chloride as starting materials, thereby offering a streamlined pathway for the commercial scale-up of complex pharmaceutical intermediates. By leveraging a palladium-catalyzed carbonylation cascade, this technology not only simplifies the operational workflow but also ensures high reaction efficiency and broad substrate compatibility, positioning it as a superior choice for reliable pharmaceutical intermediate supplier networks aiming to optimize their production pipelines.
The Limitations of Conventional Methods vs. The Novel Approach
The Limitations of Conventional Methods
Historically, the construction of the quinazolinone core has relied on methodologies that impose significant logistical and safety burdens on manufacturing facilities. Traditional routes often necessitate the use of high-pressure carbon monoxide gas, which requires specialized autoclaves and rigorous safety protocols to prevent leakage and exposure, drastically increasing capital expenditure and operational risk. Furthermore, many existing protocols depend on pre-activated substrates such as 2-bromoformylaniline or acid anhydrides, which are not only more expensive than simple nitro compounds but also generate substantial stoichiometric waste during the activation steps. Other methods utilizing ruthenium or platinum catalysts often suffer from narrow substrate scopes and harsh reaction conditions that limit the introduction of sensitive functional groups, ultimately restricting the chemical diversity accessible to medicinal chemists. These cumulative inefficiencies result in higher production costs and longer lead times, creating a pressing need for innovation in cost reduction in pharmaceutical intermediate manufacturing.
The Novel Approach
In stark contrast, the method disclosed in CN112480015B revolutionizes the synthesis landscape by employing a tandem carbonylation strategy that operates under mild, atmospheric pressure conditions. By utilizing molybdenum hexacarbonyl [Mo(CO)6] as a solid, easy-to-handle carbon monoxide surrogate, the process completely eliminates the hazards associated with gaseous CO while maintaining high reaction efficiency. The reaction seamlessly integrates the reduction of the nitro group, amidine formation, and cyclization into a single pot, thereby minimizing purification steps and solvent consumption. This one-pot design not only accelerates the timeline from raw materials to final product but also maximizes atom economy. As illustrated in the reaction scheme below, the transformation proceeds smoothly with a palladium catalyst system, enabling the direct conversion of readily available precursors into high-value targets.

This streamlined approach exemplifies how modern catalytic strategies can overcome the inherent limitations of classical organic synthesis, providing a robust platform for the rapid assembly of diverse molecular architectures essential for next-generation drug discovery programs.
Mechanistic Insights into Pd-Catalyzed Carbonylation Cascade
The success of this multi-component reaction hinges on a sophisticated catalytic cycle that orchestrates multiple bond-forming events with high precision. The mechanism likely initiates with the reduction of the nitro compound to the corresponding amine by Mo(CO)6, which serves as both the reducing agent and the carbon monoxide source. Subsequently, a base-promoted intermolecular coupling occurs between the generated amine and trifluoroethylimidoyl chloride, forming a key trifluoroacetamidine intermediate in situ. The palladium catalyst then inserts into the carbon-iodine bond of the imidoyl chloride moiety, generating a reactive divalent palladium species. As the temperature is maintained at 120°C, Mo(CO)6 releases carbon monoxide, which inserts into the carbon-palladium bond to form an acyl-palladium intermediate. This critical step sets the stage for the final cyclization, where the nitrogen atom attacks the acyl center, facilitated by the base, to close the ring and form the seven-membered palladacycle before reductive elimination releases the final 2-trifluoromethyl quinazolinone product. Understanding this intricate dance of electrons and metal centers is vital for R&D teams aiming to further optimize reaction parameters or adapt the chemistry to novel substrates.
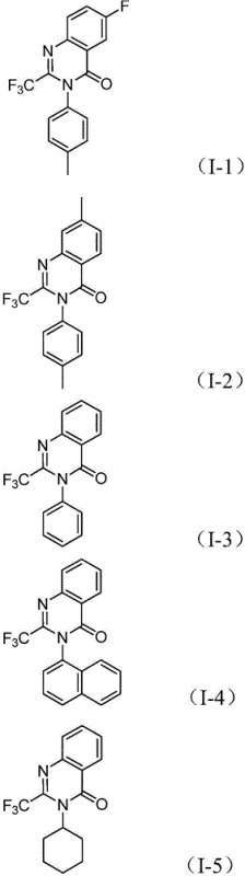
Furthermore, the exceptional functional group tolerance observed in this system underscores the robustness of the catalytic manifold. The reaction accommodates a wide array of substituents on both the aromatic ring of the nitro compound and the imidoyl chloride, including electron-donating groups like methyl and methoxy, as well as electron-withdrawing groups such as halogens and trifluoromethyl moieties. This versatility is vividly demonstrated by the successful synthesis of various derivatives shown below, where different R1 and R2 groups are seamlessly integrated without compromising yield or purity. Such broad compatibility ensures that the impurity profile remains manageable, a critical factor for meeting the stringent quality standards required for high-purity pharmaceutical intermediates. The ability to tolerate diverse steric and electronic environments suggests that the active catalytic species is sufficiently stable and reactive to navigate complex molecular landscapes, making this method a powerful tool for constructing privileged scaffolds in medicinal chemistry.

How to Synthesize 2-Trifluoromethyl Quinazolinones Efficiently
Implementing this synthesis protocol requires careful attention to reagent ratios and reaction conditions to maximize yield and minimize byproduct formation. The standard procedure involves charging a reaction vessel with palladium chloride, the dppp ligand, sodium carbonate, and Mo(CO)6 in an anhydrous organic solvent such as 1,4-dioxane. To this mixture, the trifluoroethylimidoyl chloride and the chosen nitro compound are added, typically with a slight excess of the nitro component to drive the reaction to completion. The system is then heated to 120°C and stirred for a period ranging from 16 to 30 hours, allowing the cascade sequence to unfold fully. While the general procedure is robust, fine-tuning the stoichiometry and reaction time based on specific substrate electronics can further enhance outcomes. For detailed operational parameters and specific molar ratios optimized for different substrates, please refer to the standardized synthesis guide provided below.
- Combine palladium chloride, dppp ligand, sodium carbonate, Mo(CO)6, trifluoroethylimidoyl chloride, and nitro compound in an organic solvent like 1,4-dioxane.
- Heat the reaction mixture to 120°C and stir for 16 to 30 hours to allow the carbonylation cascade and cyclization to proceed.
- Upon completion, filter the mixture, mix with silica gel, and purify via column chromatography to isolate the target quinazolinone.
Commercial Advantages for Procurement and Supply Chain Teams
From a commercial perspective, this patented methodology offers transformative benefits that directly address the pain points of procurement and supply chain management in the fine chemical sector. The shift towards using nitro compounds as primary building blocks represents a significant strategic advantage, as these materials are commodity chemicals available in vast quantities from multiple global suppliers, ensuring a resilient and uninterrupted supply chain. Unlike specialized precursors that may have long lead times or single-source dependencies, nitro compounds offer immediate availability and price stability, which is crucial for maintaining consistent production schedules and managing inventory costs effectively. Moreover, the elimination of high-pressure equipment requirements reduces the barrier to entry for contract manufacturing organizations, allowing for more flexible production planning and lower capital investment risks.
- Cost Reduction in Manufacturing: The economic implications of this process are profound, primarily driven by the substitution of expensive, pre-activated starting materials with low-cost nitro compounds and the removal of hazardous gas handling infrastructure. By avoiding the need for high-pressure autoclaves and specialized safety systems for carbon monoxide, manufacturers can significantly lower their fixed operational costs and insurance premiums. Additionally, the one-pot nature of the reaction minimizes solvent usage and reduces the number of isolation steps, leading to substantial savings in utility consumption and waste disposal fees. The high atom efficiency and excellent yields reported across various substrates further contribute to a lower cost per kilogram of the final active pharmaceutical ingredient, enhancing overall profit margins.
- Enhanced Supply Chain Reliability: The reliance on widely available, commodity-grade reagents inherently de-risks the supply chain against market volatility and geopolitical disruptions. Since the key inputs such as nitrobenzenes and simple imidoyl chlorides are produced on a massive industrial scale, the risk of stockouts is negligible compared to bespoke intermediates. This reliability allows supply chain managers to forecast demand with greater confidence and negotiate better long-term contracts with raw material vendors. Furthermore, the simplified logistics of handling solid CO surrogates like Mo(CO)6 instead of compressed gas cylinders streamline the inbound logistics process, reducing transportation complexities and regulatory hurdles associated with hazardous material shipping.
- Scalability and Environmental Compliance: Scaling this process from gram to multi-ton levels is straightforward due to the absence of exothermic hazards associated with high-pressure gas reactions and the use of standard heating equipment. The reaction conditions are mild enough to be performed in standard glass-lined reactors commonly found in multipurpose chemical plants, facilitating rapid technology transfer from lab to pilot to commercial scale. From an environmental standpoint, the method aligns with green chemistry principles by reducing waste generation through telescoped steps and avoiding toxic reagents. The simplified workup procedure, which typically involves filtration and chromatography, generates less aqueous waste compared to multi-step sequences, aiding facilities in meeting increasingly stringent environmental regulations and sustainability goals.
Frequently Asked Questions (FAQ)
To assist technical teams in evaluating the feasibility of this technology for their specific projects, we have compiled answers to common inquiries regarding the reaction scope, safety, and scalability. These insights are derived directly from the experimental data and technical specifications outlined in the patent documentation, ensuring accuracy and relevance for process development discussions. Understanding these nuances is essential for making informed decisions about adopting this synthetic route for your pipeline.
Q: What are the key advantages of this one-pot synthesis method over traditional routes?
A: This method eliminates the need for high-pressure carbon monoxide gas and expensive pre-activated substrates. It utilizes cheap nitro compounds and operates under atmospheric pressure conditions using Mo(CO)6 as a safe CO source, significantly simplifying the operational complexity and safety requirements for industrial scale-up.
Q: What is the substrate scope for the R1 and R2 groups in this reaction?
A: The reaction demonstrates excellent functional group tolerance. R1 can be hydrogen, alkyl, halogens, or trifluoromethyl groups, while R2 accommodates alkyl, cycloalkyl, and various substituted aryl groups. This broad compatibility allows for the rapid generation of diverse libraries for drug discovery without needing to optimize conditions for each new substrate.
Q: Is this process suitable for large-scale commercial production?
A: Yes, the patent explicitly mentions scalability to the gram level and beyond. The use of commercially available catalysts and solvents, combined with a simple workup procedure involving filtration and chromatography, makes it highly amenable to commercial scale-up for producing high-purity pharmaceutical intermediates.
Partnering with NINGBO INNO PHARMCHEM: Your Reliable 2-Trifluoromethyl Quinazolinone Supplier
At NINGBO INNO PHARMCHEM, we recognize the critical role that efficient synthetic methodologies play in accelerating drug development timelines and reducing time-to-market for life-saving therapies. Our team of expert chemists possesses extensive experience scaling diverse pathways from 100 kgs to 100 MT/annual commercial production, ensuring that the transition from laboratory discovery to industrial manufacturing is seamless and robust. We are committed to delivering stringent purity specifications for all our intermediates, supported by our state-of-the-art rigorous QC labs that utilize advanced analytical techniques to verify identity and purity. Whether you require custom synthesis of novel quinazolinone derivatives or large-scale supply of established intermediates, our infrastructure is designed to meet the demanding requirements of the global pharmaceutical industry with consistency and reliability.
We invite you to collaborate with us to leverage this cutting-edge technology for your next project. By partnering with NINGBO INNO PHARMCHEM, you gain access to a Customized Cost-Saving Analysis tailored to your specific volume needs and process constraints. We encourage you to contact our technical procurement team today to request specific COA data and route feasibility assessments, allowing us to demonstrate how our expertise can optimize your supply chain and drive value for your organization.
