Revolutionizing Imidazolidinone Production: A Green Cobalt-Catalyzed Strategy for Commercial Scale-Up
The pharmaceutical and agrochemical industries are constantly seeking more efficient and sustainable pathways to access nitrogen-containing heterocycles, particularly imidazolidinone derivatives, which serve as critical scaffolds in numerous bioactive molecules. Patent CN113087667A introduces a groundbreaking synthetic methodology that addresses these needs by utilizing a cobalt-catalyzed oxidative cyclization strategy. This novel approach leverages readily available polyalcohol compounds and amidine derivatives as starting materials, transforming them into high-value imidazolidinone structures under mild conditions. By employing air as the sole oxidant and a recyclable nanocobalt catalyst, this technology not only adheres to the principles of green chemistry but also offers a robust solution for the commercial scale-up of complex pharmaceutical intermediates. The significance of this patent lies in its ability to convert renewable biomass resources into functional molecules, thereby providing a reliable imidazolidinone derivative supplier with a distinct competitive edge in terms of sustainability and cost-efficiency.
The Limitations of Conventional Methods vs. The Novel Approach
The Limitations of Conventional Methods
Traditional synthetic routes for constructing the imidazolidinone core have long been plagued by significant operational and environmental drawbacks that hinder their industrial viability. Conventional methods often rely on the cyclization of diamide compounds or the condensation of amino esters with cyanamide, processes that typically require harsh reaction conditions such as high temperatures and elevated pressures. Furthermore, many established protocols utilize expensive and toxic transition metal catalysts, such as palladium, which necessitate rigorous purification steps to remove trace metal residues to meet stringent pharmaceutical standards. These legacy methods frequently suffer from poor atom economy, generating substantial amounts of wastewater and solid waste, which complicates compliance with increasingly strict environmental regulations. Additionally, the limited substrate scope of older techniques often restricts the diversity of substituents that can be introduced, thereby slowing down the optimization of lead compounds in drug discovery programs.
The Novel Approach
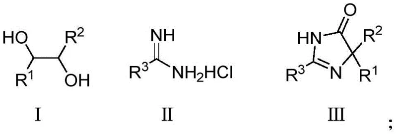
In stark contrast, the methodology disclosed in the patent presents a paradigm shift by enabling the direct oxidative conversion of polyalcohols and amidines into imidazolidinones using a heterogeneous cobalt catalyst. This innovative route operates under significantly milder conditions, typically between 25°C and 130°C, and utilizes ambient air as a clean, inexhaustible oxidant, effectively eliminating the need for hazardous chemical oxidants. The use of supported nanocobalt catalysts, such as those on activated carbon or metal oxides, ensures high catalytic activity while facilitating easy separation and reuse, which is crucial for cost reduction in imidazolidinone manufacturing. This approach not only streamlines the synthetic sequence into a potentially one-step process but also exhibits remarkable tolerance to various functional groups, allowing for the synthesis of diverse derivatives with high yields. The visual representation of this transformative reaction pathway highlights the simplicity and elegance of converting simple diols and amidines into complex heterocyclic systems.

Mechanistic Insights into Cobalt-Catalyzed Oxidative Cyclization
The core of this technological advancement lies in the unique mechanistic pathway facilitated by the nanocobalt catalyst, which activates the polyalcohol substrate for oxidative transformation. The catalytic cycle likely involves the coordination of the diol to the cobalt center, followed by dehydrogenation to generate a reactive dicarbonyl or hydroxy-ketone intermediate in situ. This activated species then undergoes nucleophilic attack by the amidine nitrogen, leading to cyclization and subsequent dehydration to form the stable imidazolidinone ring. The presence of the alkaline substance, such as cesium carbonate or potassium hydroxide, plays a pivotal role in deprotonating the amidine and facilitating the elimination steps, ensuring high conversion rates. Crucially, the regeneration of the active cobalt species is achieved through the reduction of molecular oxygen from the air, closing the catalytic loop without consuming stoichiometric reagents. This mechanism not only explains the high efficiency observed in the examples but also underscores the sustainability of the process by minimizing chemical waste.
From an impurity control perspective, this catalytic system offers distinct advantages over traditional acid or base-mediated cyclizations. The mild reaction conditions prevent the degradation of sensitive functional groups, such as halogens or ethers, which might otherwise decompose under the high thermal stress of conventional methods. The heterogeneous nature of the supported nanocobalt catalyst minimizes the leaching of metal ions into the product stream, thereby simplifying the downstream purification process and ensuring high-purity imidazolidinone outputs. Moreover, the selectivity of the cobalt catalyst towards the specific oxidative coupling of the diol and amidine reduces the formation of side products like over-oxidized carboxylic acids or polymerization byproducts. This high level of chemoselectivity is essential for maintaining a clean impurity profile, which is a critical requirement for regulatory approval in the pharmaceutical sector and significantly reduces the burden on quality control laboratories.
How to Synthesize Imidazolidinone Derivatives Efficiently
The practical implementation of this synthesis involves a straightforward protocol that is amenable to standard laboratory and pilot plant equipment. The process begins with the precise mixing of the polyalcohol and amidine substrates in a polar aprotic or protic solvent, such as pyridine, DMF, or tert-amyl alcohol, along with the supported nanocobalt catalyst and a base. The reaction mixture is then heated under an air atmosphere, allowing the oxidative cyclization to proceed to completion within a timeframe of 1 to 24 hours, depending on the specific substrate reactivity. Following the reaction, the catalyst is easily removed by filtration, and the solvent is evaporated, leaving the crude product which can be purified via standard chromatographic techniques. For a comprehensive understanding of the specific reaction parameters, solvent choices, and workup procedures detailed in the patent, please refer to the standardized synthesis guide below.
- Combine polyalcohol compound and amidine compound in a suitable solvent with a nanocobalt catalyst and an alkaline substance.
- Heat the reaction mixture between 25°C and 130°C under air atmosphere for 1 to 24 hours to facilitate oxidative cyclization.
- Remove the solvent via rotary evaporation and purify the crude product using thin layer chromatography or column chromatography.
Commercial Advantages for Procurement and Supply Chain Teams
For procurement managers and supply chain directors, the adoption of this cobalt-catalyzed synthesis route presents a compelling value proposition centered around cost stability and operational resilience. By replacing expensive precious metal catalysts with abundant and inexpensive cobalt, the raw material costs associated with the catalytic system are drastically reduced, directly impacting the bottom line of the manufacturing budget. The ability to use air as an oxidant further eliminates the procurement and storage risks associated with hazardous chemical oxidants, simplifying the safety protocols and reducing the overall complexity of the supply chain. Furthermore, the use of biomass-derived polyalcohols as starting materials aligns with corporate sustainability goals and mitigates the risk of supply disruptions linked to petrochemical feedstocks, ensuring a more reliable imidazolidinone derivative supplier partnership.
- Cost Reduction in Manufacturing: The economic benefits of this process are driven primarily by the substitution of high-cost palladium catalysts with low-cost nanocobalt systems that can be recycled multiple times without significant loss of activity. This recyclability translates into a lower catalyst consumption rate per kilogram of product, substantially lowering the variable costs of production. Additionally, the simplified workup procedure, which avoids complex metal scavenging steps required for homogeneous noble metal catalysts, reduces the consumption of auxiliary chemicals and labor hours. The overall process intensification, potentially allowing for one-step synthesis from simple precursors, further contributes to significant cost savings by minimizing unit operations and energy consumption.
- Enhanced Supply Chain Reliability: The reliance on widely available and commodity-grade raw materials, such as simple diols and amidines, ensures a robust and resilient supply chain that is less susceptible to market volatility. Unlike specialized reagents that may have single-source suppliers, the key inputs for this reaction are produced by multiple global manufacturers, providing procurement teams with greater flexibility and negotiating power. The mild reaction conditions also reduce the wear and tear on reactor equipment, extending asset life and minimizing unplanned downtime due to maintenance, thereby guaranteeing consistent delivery schedules for high-purity imidazolidinone derivatives.
- Scalability and Environmental Compliance: Scaling this process from gram to ton scale is facilitated by the use of heterogeneous catalysis and air oxidation, which are inherently safer and easier to manage in large reactors compared to exothermic reactions involving strong chemical oxidants. The green nature of the process, characterized by low waste generation and the absence of toxic heavy metals in the effluent, simplifies environmental permitting and waste disposal compliance. This alignment with green chemistry principles not only future-proofs the manufacturing site against tightening environmental regulations but also enhances the brand reputation of the final product in eco-conscious markets.
Frequently Asked Questions (FAQ)
The following questions address common technical and commercial inquiries regarding the implementation of this novel synthetic technology. These answers are derived directly from the experimental data and technical specifications outlined in the patent documentation, providing clarity on the feasibility and advantages of the cobalt-catalyzed route. Understanding these details is crucial for R&D teams evaluating the technology for process development and for procurement specialists assessing the long-term viability of the supply source.
Q: What are the primary advantages of using nanocobalt catalysts over traditional palladium systems for imidazolidinone synthesis?
A: The use of nanocobalt catalysts offers substantial cost advantages due to the abundance and low price of cobalt compared to precious metals like palladium. Furthermore, the nanocobalt catalysts described in the patent are supported on inorganic materials, allowing for easier separation and recycling, which significantly reduces metal contamination in the final API intermediate and lowers waste disposal costs.
Q: Can this synthetic method accommodate diverse functional groups on the amidine substrate?
A: Yes, the method demonstrates excellent functional group compatibility. The patent data indicates successful synthesis with various substituents including alkyl, aryl, alkoxy, halogen (fluoro, chloro), and heteroaryl groups such as pyridyl. This broad substrate scope makes the process highly versatile for generating libraries of imidazolidinone derivatives for drug discovery.
Q: How does the use of air as an oxidant impact the environmental profile of the manufacturing process?
A: Utilizing air as the terminal oxidant eliminates the need for stoichiometric amounts of hazardous chemical oxidants, which often generate large quantities of toxic waste. This aligns with green chemistry principles, drastically simplifying the workup procedure and reducing the environmental footprint, making it an ideal candidate for sustainable large-scale production.
Partnering with NINGBO INNO PHARMCHEM: Your Reliable Imidazolidinone Derivative Supplier
At NINGBO INNO PHARMCHEM, we recognize the transformative potential of the cobalt-catalyzed synthesis method described in CN113087667A for producing high-quality imidazolidinone derivatives. As a leading CDMO partner, we possess extensive experience scaling diverse pathways from 100 kgs to 100 MT/annual commercial production, ensuring that this innovative green chemistry route can be seamlessly transferred from the laboratory to full-scale manufacturing. Our state-of-the-art facilities are equipped to handle heterogeneous catalysis and air oxidation processes safely and efficiently, while our rigorous QC labs enforce stringent purity specifications to meet the exacting demands of the global pharmaceutical industry. We are committed to delivering not just a chemical product, but a reliable supply solution that integrates sustainability with performance.
We invite you to collaborate with us to leverage this advanced technology for your next project. Our technical team is ready to provide a Customized Cost-Saving Analysis tailored to your specific volume requirements, demonstrating how this route can optimize your bill of materials. Please contact our technical procurement team today to request specific COA data for our imidazolidinone portfolio and to discuss route feasibility assessments for your target molecules. Let us help you secure a sustainable and cost-effective supply chain for your critical intermediates.
