Scalable Iron-Catalyzed Synthesis of Pyrrolo[1,2-a]indole Alkaloid Derivatives for Commercial Production
Scalable Iron-Catalyzed Synthesis of Pyrrolo[1,2-a]indole Alkaloid Derivatives for Commercial Production
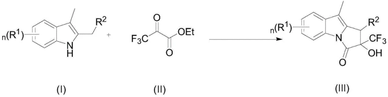
The pharmaceutical industry continuously seeks robust and economical pathways for synthesizing complex heterocyclic scaffolds, particularly those exhibiting potent biological activities such as anti-tumor properties. A significant breakthrough in this domain is documented in patent CN110878099B, which discloses a novel preparation method for pyrrolo[1,2-α]indole alkaloid derivatives. This technology leverages an innovative carbon-hydrogen and nitrogen-hydrogen bond tandem activation strategy, utilizing an inexpensive iron catalyst to drive the transformation. Unlike traditional methods that rely on precious metals or unstable reagents, this approach operates under mild conditions, offering a compelling solution for the commercial scale-up of complex pharmaceutical intermediates. The ability to construct the tricyclic core efficiently opens new avenues for developing bioactive molecules while addressing critical cost and sustainability challenges in modern medicinal chemistry.
![General reaction scheme for the synthesis of pyrrolo[1,2-a]indole alkaloid derivatives using iron catalysis](/insights/img/pyrrolo-indole-alkaloid-iron-synthesis-pharma-supplier-20260304005609-01.webp)
The Limitations of Conventional Methods vs. The Novel Approach
The Limitations of Conventional Methods
Historically, the construction of the pyrrolo[1,2-α]indole skeleton has been fraught with synthetic challenges that hinder efficient large-scale manufacturing. Prior art often relies on Wittig reaction routes starting from o-nitrobenzaldehyde, which necessitates the use of phosphine ylides that are notoriously unstable and difficult to handle on an industrial scale. Furthermore, existing palladium-catalyzed oxidative coupling methods, while effective in small batches, suffer from severe drawbacks including harsh reaction conditions and the requirement for expensive noble metal catalysts. The reliance on palladium introduces significant supply chain vulnerabilities due to price volatility and creates substantial downstream processing burdens related to heavy metal residue removal. These factors collectively result in low overall yields, complex operational procedures, and elevated production costs, making conventional routes less attractive for the cost reduction in pharmaceutical intermediates manufacturing.
The Novel Approach
The methodology outlined in the patent represents a paradigm shift by employing a base-metal catalysis system that is both economically and environmentally superior. By utilizing iron sulfate as the catalyst and tetramethylguanidine as a promoter, the process achieves a seamless one-pot transformation of 2,3-dimethylindole derivatives and ethyl trifluoropyruvate. This novel route constructs the critical carbon-carbon and carbon-nitrogen bonds through a tandem C-H/N-H activation mechanism, eliminating the need for pre-functionalized substrates or sensitive reagents. The reaction proceeds smoothly at temperatures ranging from 10°C to 40°C, demonstrating exceptional controllability and repeatability across a wide range of substrates. This operational simplicity not only enhances safety profiles but also drastically simplifies the workflow, positioning this technology as a preferred choice for reliable pharmaceutical intermediates supplier networks aiming to optimize their production portfolios.
Mechanistic Insights into Iron-Catalyzed Tandem Cyclization
The core of this technological advancement lies in the unique mechanistic pathway facilitated by the iron catalyst, which activates the indole scaffold for nucleophilic attack without requiring harsh oxidants. The iron species likely acts as a Lewis acid to coordinate with the carbonyl group of the ethyl trifluoropyruvate, increasing its electrophilicity towards the electron-rich C3 position of the indole ring. This initial addition forms a key intermediate that sets the stage for the subsequent intramolecular cyclization. The presence of the trifluoromethyl group further influences the electronic properties of the intermediate, stabilizing the transition states involved in the ring-closing step. Understanding this electronic interplay is crucial for R&D Directors focused on optimizing reaction parameters and ensuring high purity profiles in the final active pharmaceutical ingredient precursors.
Following the initial addition, the introduction of tetramethylguanidine triggers the second phase of the tandem reaction, promoting the nitrogen-hydrogen bond activation necessary for ring closure. This base-mediated step facilitates the formation of the five-membered pyrrole ring fused to the indole system, completing the tricyclic architecture. The mechanism effectively bypasses the formation of common side products associated with oxidative coupling, such as over-oxidized species or polymerization byproducts. By controlling the stoichiometry and addition sequence, the process minimizes impurity generation, thereby reducing the burden on downstream purification units. This precise control over the reaction trajectory ensures that the high-purity pharmaceutical intermediates produced meet the stringent quality standards required for clinical applications.
How to Synthesize Pyrrolo[1,2-a]indole Derivatives Efficiently
Implementing this synthesis route requires careful attention to the sequential addition of reagents and the maintenance of specific temperature profiles to maximize yield and selectivity. The process begins with the preparation of a reaction mixture containing the indole substrate, the keto-ester, and the iron catalyst in a suitable organic solvent such as toluene. Once the initial addition reaction reaches completion, the system is treated with the guanidine base to induce cyclization. The detailed standardized synthesis steps for replicating this high-efficiency protocol are provided in the guide below.
- Mix 2,3-dimethylindole derivative, ethyl trifluoropyruvate, and iron sulfate catalyst in toluene solvent.
- Stir the reaction mixture at mild temperatures (10-40°C) for approximately 12 hours to form the intermediate.
- Add tetramethylguanidine to the reactor and continue stirring for 12-24 hours to complete the cyclization and obtain the final derivative.
Commercial Advantages for Procurement and Supply Chain Teams
For procurement specialists and supply chain managers, the transition to this iron-catalyzed methodology offers tangible benefits that directly impact the bottom line and operational resilience. The elimination of palladium removes a major cost driver and mitigates the risk associated with the supply of precious metals, which are often subject to geopolitical fluctuations. Additionally, the use of common solvents like toluene and the avoidance of cryogenic conditions simplify logistics and storage requirements. These factors combine to create a more robust and predictable manufacturing environment, essential for maintaining continuity in the global supply of critical drug substances.
- Cost Reduction in Manufacturing: The substitution of expensive palladium catalysts with abundant iron salts results in a drastic reduction in raw material expenditures. Furthermore, the mild reaction conditions eliminate the need for energy-intensive heating or cooling systems, leading to significant savings in utility costs. The simplified workup procedure, which avoids complex metal scavenging steps, reduces the consumption of auxiliary chemicals and lowers waste disposal fees. Collectively, these efficiencies translate into a highly competitive cost structure for the production of these valuable alkaloid derivatives.
- Enhanced Supply Chain Reliability: The reliance on commercially available and stable starting materials ensures a consistent supply of inputs, minimizing the risk of production delays caused by reagent shortages. The robustness of the reaction against variations in substrate structure means that a single manufacturing line can be adapted to produce a diverse library of derivatives without extensive retooling. This flexibility allows manufacturers to respond rapidly to changing market demands and R&D requirements, securing a steady flow of materials for downstream drug development pipelines.
- Scalability and Environmental Compliance: The process is inherently scalable, having been demonstrated to work effectively with various substituted indoles, indicating its suitability for multi-kilogram and ton-scale production. The use of an environmentally friendly iron catalyst aligns with green chemistry principles, reducing the ecological footprint of the manufacturing process. This compliance with environmental standards facilitates easier regulatory approval and supports corporate sustainability goals, making the technology attractive for long-term strategic partnerships.
Frequently Asked Questions (FAQ)
The following questions address common technical and commercial inquiries regarding the implementation of this synthesis technology. These answers are derived directly from the experimental data and beneficial effects reported in the patent documentation, providing clarity on the practical aspects of the method. Understanding these details helps stakeholders make informed decisions about adopting this route for their specific production needs.
Q: What are the advantages of using an iron catalyst over palladium for this synthesis?
A: Iron catalysts are significantly cheaper and more environmentally benign than noble metals like palladium. This substitution eliminates the need for expensive heavy metal scavenging steps, reduces raw material costs, and simplifies the purification process, leading to a more sustainable and economically viable manufacturing route.
Q: What is the substrate scope for this pyrrolo[1,2-a]indole synthesis method?
A: The method demonstrates excellent versatility, accommodating various substituents on the indole ring including halogens (chlorine, bromine), alkyl groups (methyl, isopropyl), and alkoxy groups (trifluoromethoxy, phenoxy). This broad tolerance allows for the efficient production of diverse derivatives crucial for structure-activity relationship (SAR) studies in drug discovery.
Q: How does this process improve supply chain reliability for pharmaceutical intermediates?
A: By utilizing readily available and stable starting materials like 2,3-dimethylindole derivatives and avoiding sensitive reagents like phosphine ylides, the process ensures consistent batch-to-batch quality. The mild reaction conditions (10-40°C) also reduce energy consumption and operational risks, facilitating reliable large-scale production schedules.
Partnering with NINGBO INNO PHARMCHEM: Your Reliable Pyrrolo[1,2-a]indole Derivative Supplier
At NINGBO INNO PHARMCHEM, we recognize the transformative potential of this iron-catalyzed synthesis route for the production of high-value pharmaceutical intermediates. As a dedicated CDMO partner, we possess extensive experience scaling diverse pathways from 100 kgs to 100 MT/annual commercial production, ensuring that your project transitions smoothly from the laboratory to the factory floor. Our facilities are equipped with rigorous QC labs and adhere to stringent purity specifications, guaranteeing that every batch of pyrrolo[1,2-a]indole derivative meets the highest international standards for quality and consistency.
We invite you to collaborate with us to leverage this advanced technology for your drug development programs. Our technical team is ready to provide a Customized Cost-Saving Analysis tailored to your specific volume requirements and timeline. Please contact our technical procurement team today to request specific COA data and route feasibility assessments, and let us demonstrate how we can optimize your supply chain for success.
