Scalable Production of High-Purity Biotin Intermediates via Optimized L-Cysteine Route
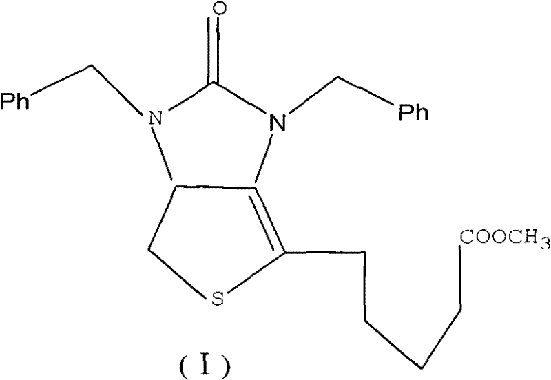
The pharmaceutical industry continuously seeks robust pathways for synthesizing complex vitamin intermediates, particularly for D-(+)-biotin, a critical nutrient in the nutraceutical and pharmaceutical sectors. Patent CN101735242A introduces a groundbreaking method for preparing the key chiral intermediate (6aR)-1,3-dibenzyl-4-(4-methoxycarbonyl butyl)-dihydro-thieno-[3,4-d] imidazoles-2-ketone, utilizing L-cysteine monohydrochloride as the primary chiral pool starting material. This innovation addresses significant bottlenecks in prior art, specifically the reliance on hazardous reagents and unstable reaction sequences that plagued earlier synthesis attempts. By strategically replacing sodium isocyanate with the safer and more accessible sodium cyanate, and by reordering the synthetic steps to prioritize N-atom protection before ring opening, this technology achieves a total yield of 34.0-38.0 percent. For R&D directors and procurement specialists, this represents a pivotal shift towards safer, more cost-effective, and scalable manufacturing processes for high-value vitamin intermediates.
The Limitations of Conventional Methods vs. The Novel Approach
The Limitations of Conventional Methods
Historically, the synthesis of biotin intermediates relied heavily on methods such as those disclosed in Japanese Patent JP 2001-002679, which, while conceptually sound, suffered from severe practical drawbacks that hindered industrial adoption. The conventional route necessitated the use of sodium isocyanate, a reagent that is not only toxic and difficult to procure but also poses significant safety risks during handling and storage in large-scale facilities. Furthermore, the traditional sequence involved opening the thiazole ring prior to benzyl protection, a step that resulted in extremely low yields and required harsh reaction conditions, including continuous stirring for up to seven days. The instability of the carbonyl reduction linkage reaction in the final steps often led to poor reproducibility and product decomposition, creating unacceptable variability for commercial supply chains. These factors combined to create a process that was economically unviable and operationally hazardous for modern fine chemical manufacturers seeking reliable partners.
The Novel Approach
The novel methodology described in CN101735242A fundamentally reengineers the synthetic pathway to overcome these historical inefficiencies through strategic reagent substitution and sequence optimization. By employing sodium cyanate as the ring-closure reagent in glacial acetic acid, the process eliminates the need for toxic sodium isocyanate while maintaining high conversion rates, with the cyclization step alone achieving yields exceeding 75 percent. Crucially, the reaction hierarchy is adjusted so that benzyl protection of the imidazole nitrogen atoms occurs before the ring-opening step, which dramatically stabilizes the intermediate and prevents the degradation observed in prior methods. The introduction of a zinc-copper powder catalyst system in the final titanium-mediated reductive ring closure further enhances reaction stability and reproducibility, addressing the violent and inconsistent nature of previous low-valent titanium reductions. This holistic optimization results in a streamlined six-step process that is not only safer but also significantly more efficient for commercial production.
Mechanistic Insights into Stereospecific Cyclization and Reductive Closure
The core of this synthesis lies in the precise manipulation of stereochemistry derived from the L-cysteine starting material, ensuring the correct configuration for the final biotin structure without the need for expensive optical resolution agents. The initial cyclization with benzaldehyde forms a thiazolidine ring that locks the chiral center, which is subsequently expanded into the imidazo-thiazole fused system using sodium cyanate. This ring-closure mechanism proceeds through a nucleophilic attack facilitated by the acidic medium, forming the rigid bicyclic skeleton essential for the biological activity of the final vitamin. The subsequent N-benzyl protection using benzyl bromide and potassium carbonate serves a dual purpose: it protects the nitrogen functionality from unwanted side reactions during the subsequent ring-opening and increases the solubility of the intermediate in organic solvents, facilitating easier purification. This careful orchestration of protecting group chemistry is vital for maintaining the integrity of the chiral centers throughout the multi-step synthesis.
Following the protection phase, the thiazole ring is selectively opened using zinc powder in glacial acetic acid to generate the N,N-dibenzyl-L-sulfhydryl hydantoin, a key precursor for side-chain introduction. The side chain is then attached via an esterification reaction with monomethyl adipate acyl chloride under controlled low-temperature conditions to prevent racemization or hydrolysis. The final and most critical mechanistic step involves the intramolecular reductive ring closure to form the tetrahydrothiophene ring, utilizing titanium tetrachloride as the reducing agent in the presence of the zinc-copper catalyst.
This McMurry-type coupling effectively joins the carbonyl carbons to close the ring, establishing the final fused thieno-imidazole architecture shown in the structure above. The use of the bimetallic Zn-Cu catalyst moderates the reactivity of the titanium species, preventing the violent exotherms and decomposition typical of traditional McMurry reactions, thereby ensuring a clean transformation to the target ketone.
How to Synthesize (6aR)-1,3-dibenzyl-4-(4-methoxycarbonyl butyl)-dihydro-thieno-[3,4-d] imidazoles-2-ketone Efficiently
The synthesis of this high-value intermediate requires strict adherence to the optimized reaction parameters outlined in the patent to ensure maximum yield and purity. The process begins with the condensation of L-cysteine hydrochloride and benzaldehyde, followed by the critical cyanate-mediated cyclization which sets the stage for the entire sequence. Operators must pay close attention to temperature controls, particularly during the esterification and final reduction steps, where deviations can lead to impurity formation. The detailed standardized synthesis steps, including specific molar ratios, solvent choices, and workup procedures, are provided in the technical guide below to assist process chemists in replicating this robust route.
- Cyclize L-cysteine hydrochloride with benzaldehyde and sodium acetate to form tetrahydro-(4R)-carboxyl-(2s)-phenyl thiazole.
- Perform ring closure using sodium cyanate in glacial acetic acid to obtain the imidazo-thiazole dione skeleton.
- Execute N-benzyl protection followed by zinc-mediated ring opening to generate the sulfhydryl hydantoin intermediate.
- Introduce the side chain via esterification with monomethyl adipate acyl chloride under ice-water bath conditions.
- Complete the synthesis via titanium-mediated reductive ring closure using zinc-copper powder as a catalyst system.
Commercial Advantages for Procurement and Supply Chain Teams
For procurement managers and supply chain heads, the transition to this optimized synthetic route offers substantial strategic advantages regarding cost stability and raw material security. The replacement of scarce and hazardous sodium isocyanate with commodity-grade sodium cyanate drastically simplifies the sourcing landscape, reducing the risk of supply disruptions caused by regulatory restrictions on toxic chemicals. Furthermore, the elimination of expensive optical resolution agents, such as ephedrine, which were required in older non-stereospecific routes, leads to significant direct material cost savings. The improved total yield of 34.0-38.0 percent, compared to the lower efficiencies of prior art, means that less raw material is consumed per kilogram of finished product, directly enhancing the cost-effectiveness of the manufacturing operation. These factors combine to create a more resilient and economical supply chain for biotin intermediates.
- Cost Reduction in Manufacturing: The economic benefits of this process are driven primarily by the substitution of high-cost and high-risk reagents with inexpensive, readily available alternatives like sodium cyanate and L-cysteine. By avoiding the use of toxic sodium isocyanate, manufacturers save on the substantial costs associated with specialized handling, storage, and waste disposal of hazardous materials. Additionally, the streamlined reaction sequence reduces the number of purification steps required, lowering solvent consumption and energy usage across the production cycle. The higher overall yield ensures that the cost of goods sold (COGS) is minimized, allowing for more competitive pricing in the global market for vitamin intermediates without sacrificing margin.
- Enhanced Supply Chain Reliability: Reliance on L-cysteine, a fermentation-derived amino acid available in bulk quantities, ensures a stable and continuous supply of the primary chiral source, unlike synthetic chiral auxiliaries that may face production bottlenecks. The robustness of the new reaction conditions, particularly the tolerance of the zinc-copper catalyzed reduction, reduces the likelihood of batch failures that can disrupt delivery schedules. This reliability is critical for downstream pharmaceutical customers who require just-in-time delivery of intermediates to maintain their own API production schedules. The simplified logistics of handling safer reagents also expedite shipping and receiving processes, further shortening the lead time from order to delivery.
- Scalability and Environmental Compliance: From an environmental and scalability perspective, this method aligns perfectly with modern green chemistry principles and stringent regulatory standards. The avoidance of phosgene-derived reagents and the reduction of heavy metal waste through optimized catalyst usage simplify the wastewater treatment process, lowering the environmental compliance burden for manufacturing sites. The reaction conditions, such as the moderate temperatures used in the cyclization and protection steps, are easily transferable from laboratory to pilot and commercial scales without requiring exotic high-pressure or cryogenic equipment. This ease of scale-up ensures that production capacity can be rapidly expanded to meet surging market demand for biotin supplements and pharmaceutical formulations.
Frequently Asked Questions (FAQ)
The following questions address common technical and commercial inquiries regarding the implementation of this patented synthesis route for biotin intermediates. These answers are derived directly from the experimental data and comparative analysis provided in the patent documentation, offering clarity on the operational benefits and chemical specifics. Understanding these details is essential for technical teams evaluating the feasibility of adopting this method for their own production lines or for procurement teams assessing supplier capabilities.
Q: How does this method improve upon the traditional JP 2001-002679 process?
A: This method replaces toxic and scarce sodium isocyanate with readily available sodium cyanate and optimizes the reaction sequence by performing benzyl protection before ring opening, significantly improving stability and total yield to 34.0-38.0%.
Q: What are the critical reaction conditions for the reductive ring closure step?
A: The final cyclization requires a titanium tetrachloride reducing agent with a zinc-copper powder catalyst in THF at 70-80°C under argon protection to ensure high reproducibility and prevent product decomposition.
Q: Is this process suitable for large-scale commercial manufacturing?
A: Yes, the use of cheap raw materials like L-cysteine and sodium cyanate, combined with optimized temperatures and robust workup procedures, makes this route highly adaptable for industrial scale-up compared to previous harsh methods.
Partnering with NINGBO INNO PHARMCHEM: Your Reliable Biotin Intermediate Supplier
At NINGBO INNO PHARMCHEM, we recognize the critical importance of high-purity intermediates in the successful manufacture of vitamins and pharmaceuticals, and we possess the technical expertise to bring complex synthetic routes like CN101735242A to commercial reality. Our team has extensive experience scaling diverse pathways from 100 kgs to 100 MT/annual commercial production, ensuring that the transition from lab bench to reactor is seamless and efficient. We maintain stringent purity specifications and operate rigorous QC labs equipped with advanced analytical instrumentation to guarantee that every batch of biotin intermediate meets the exacting standards required by global regulatory bodies. Our commitment to quality and consistency makes us the ideal partner for companies seeking a secure and long-term supply of this essential chemical building block.
We invite you to collaborate with us to leverage this advanced technology for your specific application needs, whether for nutraceuticals or pharmaceutical formulations. Please contact our technical procurement team to request a Customized Cost-Saving Analysis tailored to your volume requirements. We are prepared to provide specific COA data and comprehensive route feasibility assessments to demonstrate how our optimized manufacturing capabilities can enhance your supply chain efficiency and reduce your overall production costs.
