Eliminating Toxic Impurity K in Valsartan Manufacturing: A Strategic Technical Breakthrough for Global Supply Chains
Introduction: Addressing the Critical Challenge of Nitroso Impurities in ARB Manufacturing
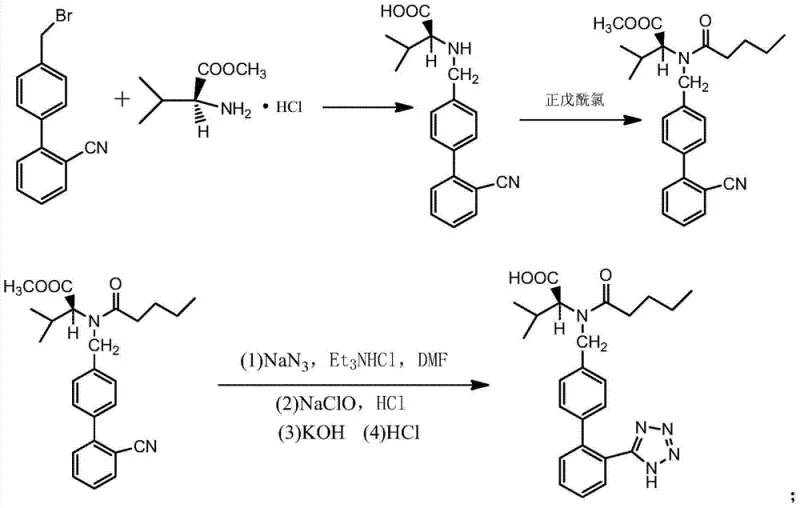
The global demand for Angiotensin II Receptor Blockers (ARBs) continues to drive rigorous innovation in process chemistry, particularly concerning the control of genotoxic impurities. Patent CN103613558A introduces a transformative preparation method for Valsartan that specifically targets the elimination of "Valsartan Impurity K," a toxic nitroso byproduct that has historically plagued manufacturers. This technical disclosure outlines a strategic shift from traditional nitrite-based quenching to a hypochlorite-mediated oxidative workup, fundamentally altering the impurity profile of the final active pharmaceutical ingredient. For R&D directors and procurement specialists, understanding this mechanistic pivot is essential, as it directly correlates to reduced downstream purification costs and enhanced regulatory compliance. The patent details a robust three-step synthesis where the final cyclization and isolation stages are meticulously engineered to切断 (cut off) the formation pathway of nitrous acid, ensuring that the resulting bulk drug meets stringent international pharmacopeial standards without the need for complex, yield-reducing chromatographic separations.
The Limitations of Conventional Methods vs. The Novel Approach
The Limitations of Conventional Methods
Historically, the synthesis of the tetrazole ring in Valsartan involves the reaction of a nitrile precursor with sodium azide, followed by a quenching step to destroy unreacted azide. Conventional protocols typically employ sodium nitrite under acidic conditions to perform this quench. However, this approach carries a severe inherent risk: the in situ generation of nitrous acid. As detailed in the background art of the patent, nitrous acid acts as a potent nitrosating agent that reacts with the de-pentanoyl derivative of Valsartan, leading to the formation of Impurity K. This impurity is structurally characterized as a nitroso compound, which presents significant toxicological concerns and is notoriously difficult to remove via standard recrystallization techniques due to its similar solubility profile to the target molecule. Consequently, manufacturers relying on nitrite quenching often face batch rejections, extended processing times for impurity scrubbing, and increased solvent consumption, all of which erode profit margins and compromise supply chain reliability for this high-volume cardiovascular medication.
The Novel Approach
The innovative methodology described in CN103613558A circumvents these pitfalls by replacing the nitrite quench with a hypochlorite-based oxidation system. In this refined process, after the tetrazole cyclization is complete, hypochlorite (such as sodium hypochlorite) is introduced to the reaction mixture. This reagent effectively oxidizes residual azide species without generating nitrous acid, thereby severing the chemical pathway that leads to Impurity K. Furthermore, the patent specifies a sophisticated multi-stage pH manipulation strategy following the hypochlorite addition. The organic layer is first washed under mildly acidic conditions (pH 2–5), followed by an alkaline treatment (pH 10–13) with thermal preservation, and finally re-acidified (pH 0.5–3) for precipitation. This sequence not only ensures the complete destruction of hazardous azides but also facilitates the partitioning of polar impurities into the aqueous phase, yielding a crude product of exceptional purity that simplifies the final refining steps significantly.
Mechanistic Insights into Hypochlorite-Mediated Tetrazole Workup
The core chemical advancement lies in the selective oxidation potential of hypochlorite versus the nitrosating capability of nitrite. In the traditional mechanism, the interaction between nitrite ions and protons yields nitrous acid (HNO2), which equilibrates to form the nitrosonium ion (NO+). This electrophile aggressively attacks the secondary amine nitrogen of the Valsartan backbone (specifically the de-acylated form), forming the stable N-nitroso bond found in Impurity K. By contrast, the hypochlorite ion (ClO-) acts as an oxygen transfer agent that converts azide ions into nitrogen gas and other non-nitrosating oxidized species. This fundamental change in redox chemistry ensures that the reaction environment remains devoid of the specific electrophiles required for nitrosation. Additionally, the thermal treatment step at alkaline pH (10–13) likely promotes the hydrolysis of any transient esters or labile side products, further cleaning the reaction matrix before the final acidification precipitates the target carboxylic acid.

Beyond the primary oxidation mechanism, the patent highlights the critical role of temperature and acid concentration in the final isolation phase. The data indicates that maintaining the aqueous layer at low temperatures (0°C–15°C) during the final acidification with dilute hydrochloric acid (5%–15%) is conducive to minimizing the re-formation or persistence of trace impurities. This precise control over thermodynamic parameters suggests that the solubility differential between Valsartan and its potential analogues is maximized under these specific conditions. For process chemists, this implies that the "robustness" of the method is not merely due to the reagent swap but is a holistic optimization of the entire workup trajectory. The result is a process that inherently suppresses the formation of difficult-to-remove byproducts, shifting the burden of quality control from analytical detection to preventive process design, which is the gold standard in modern GMP manufacturing.
How to Synthesize Valsartan Efficiently
The implementation of this improved synthesis route requires strict adherence to the sequential addition of reagents and precise monitoring of reaction endpoints to ensure safety and efficacy. The process begins with the coupling of L-valine methyl ester hydrochloride with 2-cyano-4'-bromomethylbiphenyl, followed by acylation with valeryl chloride, setting the stage for the critical tetrazole formation. The detailed standardized synthesis steps below outline the specific stoichiometric ratios, solvent choices, and thermal profiles necessary to replicate the high-purity results reported in the patent documentation. Operators must pay particular attention to the transition from the azide reaction to the oxidative workup, as this is the control point for impurity management.
- Perform acylation of the biphenyl-valine intermediate using valeryl chloride in dichloromethane with triethylamine as an acid scavenger.
- Execute tetrazole cyclization using sodium azide and triethylamine hydrochloride in DMF at elevated temperatures (100°C–115°C).
- Conduct oxidative workup by adding hypochlorite instead of sodium nitrite, followed by precise pH adjustments and thermal treatment to isolate pure product.
Commercial Advantages for Procurement and Supply Chain Teams
For procurement managers and supply chain heads, the adoption of this hypochlorite-based methodology offers substantial strategic advantages beyond mere chemical elegance. By eliminating the formation of Impurity K at the source, manufacturers can drastically reduce the number of recrystallization cycles required to meet specification limits. This reduction in unit operations translates directly into lower solvent consumption, decreased energy usage for heating and cooling, and shorter overall cycle times per batch. Furthermore, the avoidance of nitrite salts simplifies waste stream management, as the effluent no longer contains hazardous nitroso compounds that require specialized treatment, thereby reducing environmental compliance costs and facilitating smoother regulatory audits for the production facility.
- Cost Reduction in Manufacturing: The elimination of Impurity K removes the need for expensive and yield-loss-inducing purification steps such as preparative chromatography or multiple recrystallizations. By preventing the impurity from forming rather than trying to remove it post-synthesis, the overall process yield is inherently higher, maximizing the output from raw material inputs. Additionally, the use of commodity chemicals like sodium hypochlorite and hydrochloric acid for the workup ensures that reagent costs remain low and stable, avoiding the price volatility associated with specialized scavenging resins or exotic catalysts often used in alternative purification strategies.
- Enhanced Supply Chain Reliability: A process that consistently produces high-purity crude product reduces the risk of batch failures and out-of-specification (OOS) results, which are major disruptors in the pharmaceutical supply chain. The robustness of the hypochlorite method against variations in raw material quality ensures a steady flow of intermediates, allowing for more accurate production planning and inventory management. This reliability is crucial for maintaining continuous supply to downstream API formulators, preventing stockouts that could impact the availability of life-saving hypertension medications in the global market.
- Scalability and Environmental Compliance: The described method utilizes standard unit operations (extraction, pH adjustment, crystallization) that are easily scalable from pilot plant to multi-ton commercial production without requiring specialized equipment. The substitution of nitrite with hypochlorite also aligns with green chemistry principles by reducing the generation of toxic nitroso waste, simplifying the environmental impact assessment (EIA) for new manufacturing sites. This ease of scale-up and favorable environmental profile makes the technology highly attractive for contract development and manufacturing organizations (CDMOs) looking to expand their Valsartan capacity with minimal capital expenditure on waste treatment infrastructure.
Frequently Asked Questions (FAQ)
The following questions address common technical and operational inquiries regarding the implementation of this novel Valsartan synthesis route. These insights are derived directly from the experimental data and comparative examples provided in the patent literature, offering clarity on the practical implications of switching from nitrite to hypochlorite workups. Understanding these nuances is vital for technical teams evaluating the feasibility of technology transfer.
Q: Why is Impurity K considered critical in Valsartan production?
A: Impurity K is a nitroso compound formed by the reaction of nitrous acid with the de-pentanoyl valsartan derivative. It is toxic and difficult to remove via standard recrystallization, posing significant regulatory and safety risks for the final API.
Q: How does the hypochlorite method prevent Impurity K formation?
A: Traditional methods use sodium nitrite to quench excess sodium azide, which generates nitrous acid in situ. By substituting sodium nitrite with hypochlorite (e.g., sodium hypochlorite), the source of nitrous acid is completely cut off, thereby preventing the nitrosation reaction that creates Impurity K.
Q: What are the specific pH conditions required for the new workup procedure?
A: The process requires a multi-stage pH control: initially adjusting to pH 2–5 with acid after hypochlorite addition, then raising to pH 10–13 with alkali for thermal treatment, and finally acidifying to pH 0.5–3 for final precipitation and filtration.
Partnering with NINGBO INNO PHARMCHEM: Your Reliable Valsartan Supplier
At NINGBO INNO PHARMCHEM, we recognize that the transition to advanced, impurity-controlled processes like the one described in CN103613558A requires a partner with deep technical expertise and proven manufacturing capabilities. Our team possesses extensive experience scaling diverse pathways from 100 kgs to 100 MT/annual commercial production, ensuring that the delicate balance of pH and temperature required for this hypochlorite method is maintained with precision at any volume. We operate stringent purity specifications and utilize rigorous QC labs equipped with state-of-the-art HPLC and LC-MS systems to verify the absence of genotoxic impurities like Impurity K in every batch, guaranteeing that our clients receive materials that exceed global regulatory expectations.
We invite you to engage with our technical procurement team to discuss how this optimized synthesis route can be integrated into your supply chain. By requesting a Customized Cost-Saving Analysis, you can quantify the potential reductions in solvent and energy usage specific to your current operations. We encourage you to contact us today to obtain specific COA data and route feasibility assessments, allowing you to make informed decisions that enhance both the quality and economic efficiency of your Valsartan sourcing strategy.
