Scalable Iron-Catalyzed Synthesis of Pyrrolo[1,2-a]indole Alkaloid Derivatives for Pharmaceutical Applications
The pharmaceutical industry continuously seeks robust and scalable synthetic routes for complex heterocyclic scaffolds, particularly those exhibiting potent biological activity. Patent CN110878099B discloses a groundbreaking preparation method for pyrrolo[1,2-α]indole alkaloid derivatives, a class of compounds renowned for their potential anti-tumor properties. This innovation addresses critical bottlenecks in existing synthetic methodologies by employing a novel carbon-hydrogen/nitrogen-hydrogen bond tandem reaction strategy. By utilizing an inexpensive and environmentally friendly iron catalyst system, this technology enables the construction of the pyrrolo[1,2-α]indole core under remarkably mild conditions. For R&D directors and procurement specialists, this patent represents a significant opportunity to optimize the supply chain for high-value oncology intermediates, offering a pathway that balances high purity with economic efficiency.
The Limitations of Conventional Methods vs. The Novel Approach
The Limitations of Conventional Methods
Historically, the synthesis of pyrrolo[1,2-α]indole alkaloid compounds has relied on cumbersome and inefficient strategies that hinder large-scale production. Traditional routes often involve Wittig reaction protocols starting from o-nitrobenzaldehyde, which necessitates the use of phosphine ylides that suffer from poor stability and difficult preparation. Furthermore, prior art includes palladium-catalyzed intra-molecular oxidative coupling reactions, which, while effective on a small scale, present severe limitations for industrial application. These palladium-based methods are characterized by complicated operational procedures, harsh reaction conditions, and generally low yields. The reliance on noble metal catalysts not only inflates raw material costs but also introduces significant downstream processing challenges related to residual metal removal, a critical quality attribute for pharmaceutical intermediates.
The Novel Approach
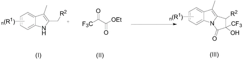
In stark contrast to these legacy methods, the technology described in CN110878099B introduces a streamlined, one-pot synthesis that leverages the unique reactivity of 2,3-dimethylindole derivatives with ethyl trifluoropyruvate. This novel approach utilizes a cost-effective iron catalyst, specifically iron sulfate, to drive a tandem C-H/N-H activation sequence. The reaction proceeds smoothly in common solvents like toluene at temperatures ranging from 10°C to 40°C, eliminating the need for extreme thermal inputs. Following the initial coupling, the addition of tetramethylguanidine facilitates rapid cyclization to form the target scaffold. This methodology not only simplifies the operational workflow but also dramatically improves the overall atom economy and process safety, making it an ideal candidate for commercial scale-up.
![General reaction scheme for the synthesis of pyrrolo[1,2-a]indole alkaloid derivatives using iron catalysis](/insights/img/pyrrolo-indole-alkaloid-synthesis-pharma-supplier-20260303190814-01.webp)
Mechanistic Insights into Iron-Catalyzed C-H/N-H Tandem Cyclization
The core of this technological advancement lies in the efficient activation of inert C-H and N-H bonds mediated by the iron catalyst. The mechanism likely involves the coordination of the iron species with the carbonyl oxygen of the ethyl trifluoropyruvate, enhancing its electrophilicity towards the nucleophilic indole substrate. This interaction promotes the initial carbon-carbon bond formation at the C2 position of the indole ring. Subsequently, the nitrogen atom of the indole participates in a nucleophilic attack on the activated ketone moiety, driven by the basic environment provided by tetramethylguanidine. This cascade results in the formation of the fused pyrrolo[1,2-α] ring system with high regioselectivity. The mild nature of the iron catalysis ensures that sensitive functional groups on the indole substrate remain intact, thereby preserving the structural integrity required for downstream biological activity.
From an impurity control perspective, the mild reaction conditions play a pivotal role in minimizing the formation of degradation products and side-reaction byproducts. Unlike harsh oxidative conditions that can lead to over-oxidation or polymerization of the indole core, this iron-catalyzed protocol maintains a controlled reaction environment. The use of tetramethylguanidine as a base further aids in driving the equilibrium towards the cyclized product without inducing excessive decomposition. This results in a cleaner crude reaction profile, which significantly reduces the burden on purification units. For quality assurance teams, this translates to a more consistent impurity profile and higher confidence in meeting stringent pharmacopeial standards for intermediate purity.
How to Synthesize Pyrrolo[1,2-a]indole Derivatives Efficiently
The synthesis protocol outlined in the patent provides a clear and reproducible roadmap for generating these valuable alkaloid derivatives. The process begins with the precise mixing of the 2,3-dimethylindole derivative, ethyl trifluoropyruvate, and the iron catalyst in a suitable solvent such as toluene. The reaction is allowed to proceed with stirring for approximately 12 hours at ambient or slightly elevated temperatures. Following this initial stage, tetramethylguanidine is introduced to the mixture to trigger the cyclization step, which typically requires an additional 12 to 24 hours. The detailed standardized synthesis steps for specific analogues are provided in the guide below.
- In a reactor, combine a 2,3-dimethylindole derivative, ethyl trifluoropyruvate, an iron catalyst (such as iron sulfate), and a solvent like toluene, then stir the mixture at 10-40°C for approximately 12 hours.
- Add tetramethylguanidine (TMG) to the reaction mixture and continue stirring at 10-40°C for an additional 12 to 24 hours to facilitate cyclization.
- Upon completion, isolate the target pyrrolo[1,2-a]indole alkaloid derivative through reduced pressure distillation and standard purification techniques.
Commercial Advantages for Procurement and Supply Chain Teams
For procurement managers and supply chain heads, the transition to this iron-catalyzed methodology offers substantial strategic advantages over traditional palladium-based or Wittig routes. The primary driver for cost optimization is the replacement of expensive noble metal catalysts with commodity-grade iron salts. This switch not only lowers the direct material cost but also simplifies the supply chain by reducing dependency on volatile precious metal markets. Furthermore, the elimination of complex heavy metal scavenging steps reduces the consumption of specialized purification resins and solvents, leading to significant operational expenditure savings. The robustness of the reaction conditions ensures high batch-to-batch consistency, which is critical for maintaining uninterrupted supply to downstream API manufacturers.
- Cost Reduction in Manufacturing: The substitution of palladium with iron sulfate results in a drastic reduction in catalyst costs, as iron is orders of magnitude cheaper and more abundant. Additionally, the mild reaction conditions reduce energy consumption associated with heating and cooling, while the simplified workup procedure minimizes solvent usage and waste disposal costs. These factors collectively contribute to a leaner and more cost-efficient manufacturing process without compromising on yield or quality.
- Enhanced Supply Chain Reliability: The starting materials, including various substituted 2,3-dimethylindoles and ethyl trifluoropyruvate, are commercially available and stable, ensuring a secure supply of raw materials. The high tolerance of the reaction to different substituents allows for flexibility in sourcing, as multiple suppliers can provide the necessary precursors. This diversity in the supply base mitigates the risk of shortages and enhances the overall resilience of the production schedule against market fluctuations.
- Scalability and Environmental Compliance: The process operates at near-ambient temperatures and uses standard organic solvents, making it inherently safer and easier to scale from laboratory to multi-ton production. The use of non-toxic iron catalysts aligns with green chemistry principles, reducing the environmental footprint of the manufacturing process. This compliance with environmental regulations facilitates smoother regulatory approvals and supports corporate sustainability goals, which are increasingly important for global pharmaceutical partners.
Frequently Asked Questions (FAQ)
The following questions address common technical and commercial inquiries regarding the implementation of this synthesis technology. These answers are derived directly from the experimental data and beneficial effects reported in the patent documentation, providing a transparent view of the process capabilities. Understanding these details is essential for evaluating the feasibility of integrating this route into your existing production portfolio.
Q: What are the primary advantages of using an iron catalyst over palladium for this synthesis?
A: The use of iron sulfate offers significant economic and environmental benefits compared to noble metals like palladium. Iron is abundant, inexpensive, and environmentally benign, which drastically reduces raw material costs and eliminates the need for complex and costly heavy metal removal processes often required in pharmaceutical manufacturing.
Q: What is the substrate scope for this pyrrolo[1,2-a]indole synthesis method?
A: The method demonstrates excellent versatility, accommodating various substituents on the indole ring including halogens (chlorine, bromine), alkyl groups (methyl, isopropyl), and alkoxy groups (trifluoromethoxy, phenoxy). This broad scope allows for the efficient generation of diverse libraries of bioactive alkaloid derivatives.
Q: How does the reaction temperature impact the scalability of this process?
A: The reaction proceeds efficiently under mild conditions, typically between 10°C and 40°C. These near-ambient temperatures simplify thermal management during scale-up, reduce energy consumption, and enhance operational safety, making the process highly suitable for large-scale commercial production.
Partnering with NINGBO INNO PHARMCHEM: Your Reliable Pyrrolo[1,2-a]indole Alkaloid Derivative Supplier
At NINGBO INNO PHARMCHEM, we recognize the critical importance of reliable supply chains for complex pharmaceutical intermediates like pyrrolo[1,2-a]indole derivatives. As a leading CDMO partner, we possess extensive experience scaling diverse pathways from 100 kgs to 100 MT/annual commercial production, ensuring that your project needs are met with precision and speed. Our state-of-the-art facilities are equipped with rigorous QC labs capable of meeting stringent purity specifications, guaranteeing that every batch delivered adheres to the highest international standards. We are committed to leveraging advanced technologies, such as the iron-catalyzed route described herein, to deliver superior value to our global clients.
We invite you to collaborate with us to explore the full potential of this innovative synthesis method for your specific drug development programs. Our technical team is ready to provide a Customized Cost-Saving Analysis tailored to your volume requirements and quality targets. Please contact our technical procurement team today to request specific COA data and comprehensive route feasibility assessments, and let us help you accelerate your path to market with confidence and efficiency.
