Scalable Iron-Catalyzed Synthesis of Pyrrolo[1,2-a]indole Alkaloid Derivatives for Pharma
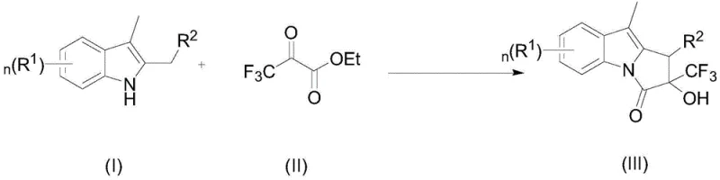
The pharmaceutical industry continuously seeks robust and economically viable pathways for synthesizing complex heterocyclic scaffolds, particularly those exhibiting potent biological activities such as anti-tumor properties. Patent CN110878099B discloses a groundbreaking preparation method for pyrrolo[1,2-a]indole alkaloid derivatives, a class of compounds increasingly recognized for their therapeutic potential. This innovation represents a significant leap forward in organic synthesis technology, shifting away from traditional, resource-intensive methods toward a more sustainable and efficient iron-catalyzed protocol. By leveraging a novel carbon-hydrogen and nitrogen-hydrogen bond tandem activation strategy, this process enables the direct construction of the pyrrolo[1,2-a]indole core from readily available 2,3-dimethylindole derivatives and ethyl trifluoropyruvate. For R&D directors and procurement specialists alike, this patent offers a compelling solution that addresses critical pain points regarding cost, scalability, and environmental compliance in the manufacturing of high-value pharmaceutical intermediates.
The Limitations of Conventional Methods vs. The Novel Approach
The Limitations of Conventional Methods
Historically, the synthesis of pyrrolo[1,2-a]indole alkaloid compounds has been fraught with significant technical and economic challenges that hinder efficient commercial production. Prior art methods, such as the Wittig reaction route utilizing o-nitrobenzaldehyde, suffer from inherent instability of the phosphine ylide intermediates, leading to poor reproducibility and difficult purification processes that inflate operational costs. Furthermore, alternative approaches relying on palladium-catalyzed intra-molecular oxidative coupling reactions, while chemically feasible, impose severe limitations due to the reliance on precious noble metal catalysts. These palladium-based routes often require harsh reaction conditions, exhibit low yields, and necessitate complex downstream processing to remove trace metal contaminants to meet stringent pharmaceutical purity standards. The combination of expensive catalysts, unstable starting materials, and complicated operational procedures creates a bottleneck for reliable supply chain management and cost-effective manufacturing of these vital bioactive molecules.
The Novel Approach
In stark contrast to these legacy technologies, the method disclosed in CN110878099B introduces a streamlined, one-pot synthetic strategy that fundamentally reshapes the production landscape for these alkaloids. By employing an inexpensive and environmentally benign iron catalyst, specifically iron sulfate, in conjunction with tetramethylguanidine (TMG) as a base, the new process achieves high efficiency under remarkably mild conditions. The reaction proceeds smoothly at temperatures ranging from 10°C to 40°C, eliminating the need for energy-intensive heating or cryogenic cooling systems. This novel approach not only simplifies the operational workflow by combining multiple bond-forming events into a single vessel but also drastically improves the economic profile of the synthesis. The use of common solvents like toluene and the avoidance of exotic reagents ensure that the process is inherently safer and more accessible for large-scale implementation, providing a robust foundation for consistent commercial supply.
Mechanistic Insights into Iron-Catalyzed C-H/N-H Activation
The core innovation of this technology lies in its sophisticated utilization of iron-mediated C-H and N-H bond activation to construct the fused heterocyclic system. The mechanism initiates with the coordination of the iron catalyst to the carbonyl oxygen of ethyl trifluoropyruvate, enhancing its electrophilicity and facilitating nucleophilic attack by the electron-rich indole ring. This initial interaction triggers a cascade of bond formations where the carbon-carbon bond is established first, followed by a critical intramolecular cyclization involving the nitrogen atom. The presence of tetramethylguanidine plays a pivotal role in deprotonating the intermediate species, driving the equilibrium toward the formation of the stable pyrrolo[1,2-a]indole skeleton. This tandem sequence effectively bypasses the need for pre-functionalized substrates, allowing for direct functionalization of the indole core with high regioselectivity.
From a quality control perspective, this mechanistic pathway offers superior impurity profiles compared to transition metal-catalyzed alternatives. The use of iron, a non-toxic metal, mitigates the risk of heavy metal contamination in the final product, a critical parameter for API intermediates intended for human consumption. Furthermore, the mild reaction conditions minimize the formation of thermal degradation byproducts and polymerization side reactions that often plague high-temperature syntheses. The broad substrate tolerance observed in the patent examples, accommodating electron-withdrawing groups like halogens and electron-donating groups like alkyls, suggests a robust catalytic cycle that is insensitive to minor electronic variations in the starting materials. This resilience ensures consistent product quality across different batches, a key requirement for maintaining rigorous pharmaceutical specifications.
![General reaction scheme for the synthesis of pyrrolo[1,2-a]indole alkaloid derivatives using iron catalysis](/insights/img/pyrrolo-indole-alkaloid-synthesis-pharma-supplier-20260303140318-01.webp)
How to Synthesize Pyrrolo[1,2-a]indole Alkaloid Derivatives Efficiently
The practical execution of this synthesis is designed for ease of operation, making it highly attractive for process chemistry teams aiming to transfer technology from the lab to the pilot plant. The procedure involves a straightforward addition of reagents followed by controlled stirring periods, requiring minimal specialized equipment beyond standard glass-lined reactors. The patent details specific molar ratios, such as a 1:3 ratio of indole derivative to ethyl trifluoropyruvate and a catalytic loading of iron sulfate at 0.1 equivalents, which optimize yield while minimizing waste. Following the reaction, the workup involves simple distillation under reduced pressure and purification steps that are compatible with standard industrial isolation techniques. For a detailed breakdown of the standardized operating procedures and specific reaction parameters, please refer to the technical guide below.
- Mix 2,3-dimethylindole derivative, ethyl trifluoropyruvate, iron sulfate catalyst, and toluene solvent in a reactor.
- Stir the mixture at 10-40°C for 12 hours to allow the initial carbon-carbon bond formation.
- Add tetramethylguanidine (TMG) to the reaction mixture and stir for an additional 12-24 hours to complete the cyclization.
Commercial Advantages for Procurement and Supply Chain Teams
For procurement managers and supply chain heads, the adoption of this iron-catalyzed methodology translates into tangible strategic advantages that extend beyond mere chemical efficiency. The shift from noble metal catalysts to base metal catalysis represents a fundamental restructuring of the cost base for manufacturing these complex intermediates. By eliminating the dependency on volatile palladium markets and expensive ligand systems, manufacturers can achieve significant cost reduction in pharmaceutical intermediate manufacturing. This stability in raw material pricing allows for more accurate long-term budgeting and protects against supply shocks associated with precious metal scarcity. Additionally, the simplified purification process reduces the consumption of silica gel and chromatography solvents, further driving down the variable costs associated with production.
- Cost Reduction in Manufacturing: The replacement of palladium with iron sulfate results in a drastic decrease in catalyst costs, as iron is orders of magnitude cheaper and more abundant than noble metals. This substitution also removes the necessity for expensive scavenger resins or complex extraction protocols required to lower palladium residues to ppm levels, thereby streamlining the downstream processing workflow. The overall economic efficiency is further enhanced by the high yields reported in the patent examples, which maximize the throughput of valuable starting materials and reduce the cost per kilogram of the final active ingredient. Consequently, this route offers a highly competitive pricing structure for bulk purchases of these specialized heterocyclic building blocks.
- Enhanced Supply Chain Reliability: The reliance on commercially available and stable starting materials, such as substituted 2,3-dimethylindoles and ethyl trifluoropyruvate, ensures a resilient supply chain that is less prone to disruptions. Unlike methods requiring custom-synthetized ylides or sensitive organometallic reagents, the reagents for this process are commodity chemicals with established global supply networks. This accessibility guarantees consistent availability and short lead times for raw material procurement, enabling manufacturers to maintain steady production schedules without the risk of bottlenecks. The robustness of the reaction conditions also means that production can be sustained across different geographical locations without requiring highly specialized infrastructure.
- Scalability and Environmental Compliance: The mild operating temperatures and the use of common organic solvents like toluene make this process exceptionally easy to scale from kilogram to multi-ton quantities without encountering the heat transfer or mixing issues typical of exothermic reactions. From an environmental standpoint, the use of non-toxic iron catalysts aligns perfectly with green chemistry principles and increasingly strict regulatory frameworks regarding heavy metal discharge. This eco-friendly profile simplifies waste treatment procedures and reduces the environmental footprint of the manufacturing facility, ensuring long-term compliance with international sustainability standards and facilitating smoother regulatory approvals for new drug applications.
Frequently Asked Questions (FAQ)
The following questions address common technical and commercial inquiries regarding the implementation of this synthesis technology. These answers are derived directly from the experimental data and beneficial effects described in the patent documentation, providing clarity on the feasibility and advantages of the method. Understanding these details is crucial for stakeholders evaluating the integration of this route into their existing manufacturing portfolios or sourcing strategies for complex alkaloid derivatives.
Q: What are the advantages of using iron catalyst over palladium for this synthesis?
A: The iron-catalyzed method described in CN110878099B eliminates the need for expensive noble metals like palladium, significantly reducing raw material costs and simplifying the removal of toxic heavy metal residues from the final API intermediate.
Q: What is the substrate scope for this pyrrolo[1,2-a]indole synthesis?
A: The method demonstrates wide substrate applicability, tolerating various substituents on the indole ring including halogens (Cl, Br), alkyl groups (methyl, isopropyl), and ether groups (phenoxy, trifluoromethoxy), allowing for diverse derivative production.
Q: Is this process suitable for large-scale commercial manufacturing?
A: Yes, the reaction operates under mild conditions (10-40°C) using common solvents like toluene and avoids hazardous reagents, making it highly adaptable for commercial scale-up with excellent controllability and repeatability.
Partnering with NINGBO INNO PHARMCHEM: Your Reliable Pyrrolo[1,2-a]indole Alkaloid Derivative Supplier
At NINGBO INNO PHARMCHEM, we recognize the transformative potential of this iron-catalyzed synthesis route for the next generation of anti-tumor therapeutics. As a premier CDMO partner, we possess extensive experience scaling diverse pathways from 100 kgs to 100 MT/annual commercial production, ensuring that your project transitions seamlessly from development to market. Our state-of-the-art facilities are equipped to handle the specific requirements of this chemistry, including stringent purity specifications and rigorous QC labs that guarantee every batch meets the highest international standards. We are committed to delivering high-purity pyrrolo[1,2-a]indole alkaloid derivatives that empower your drug discovery and development programs with reliable, high-quality materials.
We invite you to collaborate with us to leverage this advanced technology for your specific application needs. Our technical team is ready to provide a Customized Cost-Saving Analysis tailored to your volume requirements, demonstrating how this efficient route can optimize your overall project economics. Please contact our technical procurement team today to request specific COA data for our available derivatives and to discuss route feasibility assessments for your custom synthesis projects. Let us be your partner in turning innovative chemistry into commercial success.
