Scalable Synthesis of Pyrrolo[1,2-a]indole Alkaloid Derivatives via Iron-Catalyzed C-H Activation
Scalable Synthesis of Pyrrolo[1,2-a]indole Alkaloid Derivatives via Iron-Catalyzed C-H Activation
The pharmaceutical industry continuously seeks robust and economically viable pathways for constructing complex heterocyclic scaffolds, particularly those exhibiting potent biological activities. Patent CN110878099B discloses a groundbreaking preparation method for pyrrolo[1,2-α]indole alkaloid derivatives, a class of compounds renowned for their potential anti-tumor properties. This technology leverages a novel carbon-hydrogen and nitrogen-hydrogen bond tandem activation strategy, utilizing an inexpensive and environmentally benign iron catalyst system. By shifting away from traditional noble metal catalysis, this innovation offers a sustainable alternative for producing high-value pharmaceutical intermediates. The process is characterized by its operational simplicity, mild reaction conditions, and exceptional reproducibility across a wide range of substrates. For global procurement teams and R&D directors, this represents a significant opportunity to optimize supply chains for oncology drug candidates while adhering to stricter environmental regulations.
The Limitations of Conventional Methods vs. The Novel Approach
The Limitations of Conventional Methods
Historically, the synthesis of pyrrolo[1,2-α]indole alkaloid compounds has relied on methodologies that present substantial challenges for industrial scale-up. Prior art often cites Wittig reaction routes starting from o-nitrobenzaldehyde, which involve phosphine ylides that are notoriously unstable and difficult to handle on a large scale. These traditional pathways frequently suffer from poor substrate stability and complex multi-step preparations that drive up manufacturing costs. Additionally, other reported methods utilize palladium-catalyzed intra-molecular oxidative coupling reactions. While effective in small-scale laboratory settings, these palladium-based processes are plagued by harsh reaction conditions and generally low yields. The reliance on precious palladium not only inflates raw material costs but also necessitates rigorous and expensive purification steps to remove trace heavy metals to meet pharmaceutical standards. These limitations severely restrict the commercial applicability of existing synthetic routes, creating a bottleneck for the reliable supply of these critical intermediates.
The Novel Approach
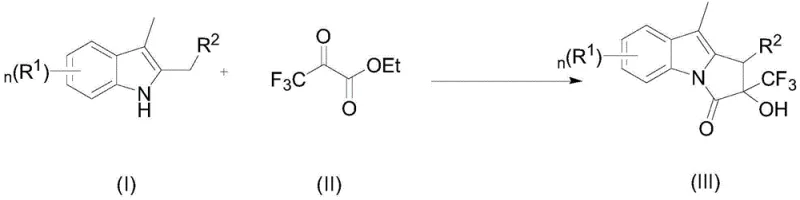
In stark contrast to legacy methods, the technology described in CN110878099B introduces a streamlined, one-pot synthesis that dramatically simplifies the production workflow. This novel approach employs a carbon-hydrogen/nitrogen-hydrogen bond series reaction facilitated by a cheap and easily available iron catalyst. The process begins with the reaction of a 2,3-dimethylindole derivative and ethyl trifluoropyruvate in the presence of the iron catalyst and a solvent such as toluene. Following this initial coupling, tetramethylguanidine is introduced to promote cyclization, yielding the target pyrrolo[1,2-α]indole alkaloid derivative. This methodology operates under remarkably mild conditions, typically between 10°C and 40°C, eliminating the need for extreme temperatures or pressures. The shift to an iron-based catalytic system not only reduces the direct cost of catalysts but also simplifies the impurity profile, making downstream processing far more efficient.
![General reaction scheme for the synthesis of pyrrolo[1,2-a]indole alkaloid derivatives using iron catalysis](/insights/img/pyrrolo-indole-alkaloid-iron-catalysis-pharma-supplier-20260303223751-01.webp)
Mechanistic Insights into Iron-Catalyzed Cyclization
The core of this technological advancement lies in the efficient activation of inert C-H and N-H bonds through an iron-mediated mechanism. The reaction initiates with the coordination of the iron catalyst, specifically iron sulfate in preferred embodiments, to the carbonyl oxygen of the ethyl trifluoropyruvate. This activation enhances the electrophilicity of the keto-ester, facilitating a nucleophilic attack by the electron-rich indole ring. The subsequent steps involve a cascade of proton transfers and cyclization events driven by the basic environment provided by tetramethylguanidine. This base plays a dual role: it neutralizes acidic byproducts and actively promotes the intramolecular condensation required to close the pyrrole ring. The result is the formation of a stable pyrrolo[1,2-α]indole core bearing a trifluoromethyl group and a hydroxyl functionality, structural motifs that are highly valuable for further medicinal chemistry optimization. The mechanistic pathway avoids the generation of toxic waste streams associated with stoichiometric oxidants often required in palladium cycles.
From a quality control perspective, the mild nature of this iron-catalyzed process is instrumental in maintaining a clean impurity profile. High-temperature reactions often lead to polymerization or decomposition of sensitive intermediates, generating complex mixtures that are difficult to separate. By maintaining reaction temperatures between 10°C and 40°C, the process minimizes thermal degradation pathways. Furthermore, the use of iron sulfate, a non-toxic salt, ensures that the final product does not require aggressive chelating agents for metal scavenging, which can sometimes introduce new organic impurities. The broad substrate scope demonstrated in the patent, accommodating substituents like chlorine, bromine, and various alkoxy groups without significant yield loss, indicates a robust catalytic cycle that is tolerant to electronic variations. This reliability is crucial for R&D teams aiming to generate diverse libraries of analogs for structure-activity relationship studies without encountering unpredictable synthetic failures.
![Chemical structure of Compound I-1, a core pyrrolo[1,2-a]indole alkaloid derivative](/insights/img/pyrrolo-indole-alkaloid-iron-catalysis-pharma-supplier-20260303223751-02.png)
How to Synthesize Pyrrolo[1,2-a]indole Alkaloid Derivatives Efficiently
The practical implementation of this synthesis is designed for ease of operation, making it accessible for both laboratory research and pilot plant production. The standard protocol involves a sequential addition of reagents in a common organic solvent, avoiding the need for specialized high-pressure equipment. The molar ratios are optimized to ensure complete conversion, typically employing a slight excess of the trifluoropyruvate ester and a significant excess of the guanidine base to drive the equilibrium towards the cyclized product. Detailed standard operating procedures regarding specific stoichiometry, solvent volumes, and work-up techniques are critical for maximizing yield and purity. For technical teams looking to adopt this route, understanding the precise timing of the base addition is key to preventing side reactions. The following guide outlines the fundamental steps derived from the patent examples to achieve consistent results.
- Mix 2,3-dimethylindole derivative, ethyl trifluoropyruvate, and iron sulfate catalyst in toluene solvent.
- Stir the reaction mixture at 10-40°C for 12 hours to allow initial coupling.
- Add tetramethylguanidine and continue stirring at 10-40°C for 12-24 hours to complete cyclization and purification.
Commercial Advantages for Procurement and Supply Chain Teams
For procurement managers and supply chain directors, the transition to this iron-catalyzed methodology offers tangible strategic benefits beyond simple technical feasibility. The primary advantage lies in the drastic reduction of raw material costs associated with the catalyst system. Replacing expensive palladium complexes with commodity-grade iron sulfate directly lowers the bill of materials. Moreover, the elimination of heavy metal contamination risks simplifies the regulatory compliance landscape, reducing the time and resources spent on validation and testing. The mild reaction conditions also translate to lower energy consumption, as there is no need for prolonged heating or cryogenic cooling. These factors collectively contribute to a more resilient and cost-effective supply chain for high-purity pharmaceutical intermediates.
- Cost Reduction in Manufacturing: The substitution of noble metal catalysts with iron represents a fundamental shift in cost structure for fine chemical manufacturing. Palladium prices are volatile and historically high, whereas iron salts are abundant and inexpensive. Additionally, the removal of the heavy metal scavenging step, which often requires specialized resins or additional chromatography, significantly reduces processing time and consumable costs. This streamlined purification process allows for higher throughput in existing facilities without the need for capital-intensive upgrades. The overall economic efficiency is further enhanced by the high yields reported across various substrates, minimizing waste of valuable starting materials.
- Enhanced Supply Chain Reliability: Dependence on single-source suppliers for specialized catalysts can pose significant risks to production continuity. Iron sulfate and tetramethylguanidine are bulk chemicals available from multiple global vendors, ensuring a stable supply even during market fluctuations. The robustness of the reaction against varying substrate electronics means that supply chain disruptions for specific substituted indoles can be mitigated by switching to alternative analogs without re-optimizing the entire process. This flexibility is vital for maintaining uninterrupted production schedules for active pharmaceutical ingredients (APIs) where downtime is extremely costly.
- Scalability and Environmental Compliance: Scaling chemical processes often exacerbates safety and environmental issues, but this method is inherently green. The absence of toxic heavy metals simplifies wastewater treatment and waste disposal, aligning with increasingly stringent environmental regulations. The mild thermal profile reduces the risk of thermal runaway incidents, a critical safety consideration when moving from kilogram to ton-scale production. The use of common solvents like toluene, which can be readily recovered and recycled, further minimizes the environmental footprint. These attributes make the process highly attractive for contract development and manufacturing organizations (CDMOs) aiming to offer sustainable manufacturing solutions to their clients.
Frequently Asked Questions (FAQ)
The following questions address common technical and commercial inquiries regarding the implementation of this synthesis technology. These answers are derived directly from the experimental data and technical specifications provided in the patent documentation. Understanding these details helps stakeholders assess the feasibility of integrating this route into their existing manufacturing portfolios. The responses cover catalyst selection, substrate compatibility, and purification strategies to provide a comprehensive overview of the process capabilities.
Q: What are the advantages of using an iron catalyst over palladium for this synthesis?
A: Iron catalysts are significantly cheaper and more environmentally friendly than noble metals like palladium. Furthermore, using iron eliminates the need for complex and costly heavy metal removal steps required for pharmaceutical grade products, simplifying the downstream purification process.
Q: What is the substrate scope for the indole starting material?
A: The method demonstrates broad substrate tolerance. Various substituents on the benzene ring of the indole, including halogens (Cl, Br), alkyl groups (methyl, isopropyl), and alkoxy groups (trifluoromethoxy, phenoxy), are well-tolerated, yielding the corresponding derivatives in good to excellent yields.
Q: How does the reaction temperature impact the process scalability?
A: The reaction proceeds under mild conditions, typically between 10°C and 40°C. This low thermal requirement reduces energy consumption and safety risks associated with high-temperature exotherms, making the process highly suitable for large-scale commercial manufacturing.
Partnering with NINGBO INNO PHARMCHEM: Your Reliable Pyrrolo[1,2-a]indole Alkaloid Derivative Supplier
At NINGBO INNO PHARMCHEM, we recognize the critical importance of efficient and scalable synthetic routes in the development of next-generation therapeutics. Our team of expert chemists has thoroughly analyzed the iron-catalyzed methodology described in CN110878099B and is fully prepared to support your project from gram-scale discovery to commercial production. We possess extensive experience scaling diverse pathways from 100 kgs to 100 MT/annual commercial production, ensuring that your supply needs are met with consistency and precision. Our state-of-the-art facilities are equipped with rigorous QC labs capable of meeting stringent purity specifications, guaranteeing that every batch of pyrrolo[1,2-a]indole alkaloid derivatives meets the highest industry standards for pharmaceutical applications.
We invite you to collaborate with us to leverage this advanced technology for your drug development programs. Our technical procurement team is ready to provide a Customized Cost-Saving Analysis tailored to your specific volume requirements and quality targets. By partnering with us, you gain access to our deep expertise in process optimization and regulatory compliance. Please contact us today to request specific COA data and route feasibility assessments, and let us help you accelerate your path to market with a reliable and cost-effective supply solution.
