Scalable Iron-Catalyzed Synthesis of Pyrrolo[1,2-a]indole Alkaloid Derivatives for Pharmaceutical Applications
The pharmaceutical industry is constantly seeking robust, scalable, and cost-effective routes for synthesizing complex heterocyclic scaffolds, particularly those with proven bioactivity. Patent CN110878099B introduces a groundbreaking preparation method for pyrrolo[1,2-α]indole alkaloid derivatives, a class of compounds renowned for their potential anti-tumor activities. This technology represents a significant leap forward in organic synthesis, shifting away from traditional, cumbersome methods towards a streamlined, iron-catalyzed protocol. By leveraging a novel carbon-hydrogen/nitrogen-hydrogen bond串联 (series) reaction, this process enables the efficient construction of the pyrrolo[1,2-α]indole core under remarkably mild conditions. For R&D directors and procurement specialists alike, this patent offers a compelling solution that balances high chemical yield with operational simplicity, addressing critical pain points in the supply chain of high-value pharmaceutical intermediates.
The Limitations of Conventional Methods vs. The Novel Approach
The Limitations of Conventional Methods
Historically, the synthesis of pyrrolo[1,2-α]indole alkaloids has been fraught with significant technical and economic challenges that hinder large-scale adoption. Traditional routes often rely on Wittig reactions involving o-nitrobenzaldehyde and phosphine ylides; however, these ylides are notoriously unstable, difficult to prepare, and require stringent handling conditions that complicate manufacturing workflows. Alternatively, prior art describes palladium-catalyzed intra-molecular oxidative coupling reactions. While effective on a small laboratory scale, these noble metal-catalyzed processes suffer from harsh reaction conditions, low overall yields, and the critical issue of residual heavy metal contamination. For pharmaceutical applications, removing trace palladium to meet strict regulatory limits adds expensive purification steps, such as scavenging or recrystallization, which drastically inflate the cost of goods sold (COGS) and extend production lead times.
The Novel Approach
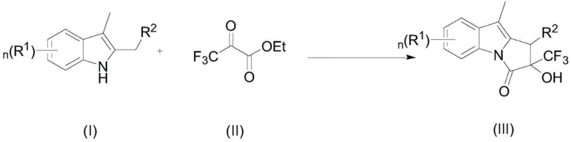
In stark contrast, the methodology disclosed in CN110878099B utilizes an inexpensive and environmentally benign iron catalyst to drive the transformation. This novel approach employs a one-pot tandem reaction strategy where 2,3-dimethylindole derivatives react with ethyl trifluoropyruvate. The process is characterized by its exceptional operational ease, proceeding at mild temperatures between 10°C and 40°C, which significantly reduces energy consumption and safety risks associated with exothermic runaway reactions. The use of tetramethylguanidine (TMG) as a promoter facilitates the cyclization without the need for exotic ligands or inert atmospheres typically required for sensitive transition metal catalysis. This shift to base-metal catalysis not only democratizes access to these valuable scaffolds but also ensures a cleaner impurity profile, making downstream processing far more efficient.
![General reaction scheme showing the iron-catalyzed synthesis of pyrrolo[1,2-a]indole derivatives from 2,3-dimethylindole and ethyl trifluoropyruvate](/insights/img/pyrrolo-indole-iron-catalysis-pharma-supplier-20260303073558-01.webp)
Mechanistic Insights into Iron-Catalyzed C-H/N-H Activation
The core innovation of this synthesis lies in its mechanistic pathway, which elegantly constructs both carbon-carbon and carbon-nitrogen bonds in a single operational sequence. The reaction initiates with the activation of the indole substrate by the iron catalyst, likely forming a transient coordination complex that enhances the nucleophilicity of the indole ring. This activated species then undergoes nucleophilic attack on the carbonyl carbon of the ethyl trifluoropyruvate. Unlike traditional electrophilic substitutions that might require strong acids or Lewis acids, this iron-mediated pathway operates under neutral to slightly basic conditions initially, preserving the integrity of sensitive functional groups on the indole scaffold. The subsequent addition of tetramethylguanidine triggers the intramolecular cyclization via N-H bond activation, closing the five-membered ring to form the fused pyrrolo[1,2-α]indole system. This cascade mechanism minimizes the formation of side products, as the intermediate is consumed rapidly in the second step, driving the equilibrium towards the desired product.
From an impurity control perspective, this mechanism offers distinct advantages over palladium-catalyzed alternatives. The absence of oxidative coupling steps reduces the generation of homocoupling byproducts and over-oxidized species that are common in Pd-chemistry. Furthermore, the use of iron sulfate as the catalyst source ensures that any residual metal is non-toxic and easily managed compared to heavy metals. The reaction demonstrates remarkable chemoselectivity, tolerating a wide range of substituents including halogens (chlorine, bromine), alkyl groups (methyl, isopropyl), and electron-donating groups like phenoxy and trifluoromethoxy. This broad substrate scope implies that the electronic nature of the indole ring does not significantly impede the catalytic cycle, allowing for the synthesis of diverse analogues with consistent high yields, often exceeding 85% for optimized substrates.
How to Synthesize Pyrrolo[1,2-a]indole Derivatives Efficiently
The practical implementation of this synthesis is designed for seamless integration into existing manufacturing infrastructure. The protocol requires standard glass-lined or stainless steel reactors capable of maintaining mild thermal control. The process begins by charging the reactor with the 2,3-dimethylindole derivative, ethyl trifluoropyruvate, and the iron catalyst in a solvent such as toluene. Following an initial stirring period to allow for the first stage of the reaction, tetramethylguanidine is introduced to drive the cyclization to completion. The detailed standardized synthesis steps, including precise stoichiometric ratios, temperature ramping profiles, and workup procedures, are outlined below to ensure reproducibility and quality consistency.
- Combine 2,3-dimethylindole derivative, ethyl trifluoropyruvate, iron catalyst (e.g., Fe2(SO4)3), and solvent (toluene) in a reactor.
- Stir the mixture at mild temperatures (10-40°C) for approximately 12 hours to initiate the C-H activation.
- Add tetramethylguanidine (TMG) to the reaction mixture and continue stirring for 12-24 hours to complete the cyclization and obtain the final derivative.
Commercial Advantages for Procurement and Supply Chain Teams
For procurement managers and supply chain heads, the transition to this iron-catalyzed methodology translates directly into tangible bottom-line improvements and risk mitigation. The primary driver of value is the substitution of expensive noble metals with commodity-grade iron salts. This change eliminates the volatility associated with palladium pricing and removes the dependency on scarce precious metal supply chains. Moreover, the simplified purification process resulting from the absence of heavy metal residues means fewer unit operations are required post-reaction. This reduction in processing steps not only lowers utility and labor costs but also shortens the overall batch cycle time, allowing facilities to increase throughput without capital expenditure on new equipment.
- Cost Reduction in Manufacturing: The economic impact of replacing palladium with iron cannot be overstated. Beyond the raw material cost savings, the elimination of specialized metal scavengers and the associated validation testing for heavy metal limits results in substantial cost avoidance. The process utilizes common, bulk solvents like toluene, which are readily available globally, ensuring stable input costs. Additionally, the high yields reported in the patent examples, often reaching up to 90%, maximize the utilization of starting materials, reducing waste disposal costs and improving the overall atom economy of the manufacturing process.
- Enhanced Supply Chain Reliability: Supply continuity is critical for API intermediates, and this technology strengthens resilience by relying on widely available reagents. 2,3-dimethylindole derivatives and ethyl trifluoropyruvate are commercially accessible from multiple vendors, preventing single-source bottlenecks. The mild reaction conditions (10-40°C) reduce the risk of batch failures due to thermal excursions or equipment limitations, ensuring consistent delivery schedules. This robustness allows supply chain planners to forecast production with greater confidence, minimizing the need for excessive safety stock and freeing up working capital.
- Scalability and Environmental Compliance: Scaling chemical processes often introduces new safety and environmental challenges, but this iron-catalyzed route is inherently scalable. The exothermic profile is manageable, and the use of less hazardous reagents aligns with green chemistry principles. From a regulatory standpoint, generating less hazardous waste and avoiding persistent heavy metals simplifies environmental permitting and compliance reporting. The ability to run the reaction in a one-pot fashion reduces solvent usage and vessel turnover, further enhancing the environmental footprint and operational efficiency of the production facility.
Frequently Asked Questions (FAQ)
The following questions address common technical and commercial inquiries regarding the implementation of this synthesis technology. These insights are derived directly from the experimental data and beneficial effects described in the patent documentation, providing a clear understanding of the process capabilities and limitations for potential partners and licensees.
Q: What are the advantages of using an iron catalyst over palladium for this synthesis?
A: Iron catalysts are significantly cheaper and more environmentally friendly than noble metals like palladium. Furthermore, using iron eliminates the need for complex and costly heavy metal removal steps required for pharmaceutical grade APIs, simplifying the purification process.
Q: What is the substrate scope for this pyrrolo[1,2-a]indole synthesis?
A: The method demonstrates excellent substrate tolerance. It accommodates various substituents on the indole ring, including halogens (Cl, Br), alkyl groups (methyl, isopropyl), and alkoxy/phenoxy groups, yielding products with high purity and consistent yields ranging from 75% to 90%.
Q: Is this process suitable for large-scale commercial manufacturing?
A: Yes, the process operates under mild conditions (10-40°C) and uses common solvents like toluene. The absence of sensitive reagents like phosphine ylides and the use of robust iron catalysis make it highly amenable to scale-up from kilogram to multi-ton production.
Partnering with NINGBO INNO PHARMCHEM: Your Reliable Pyrrolo[1,2-a]indole Derivative Supplier
At NINGBO INNO PHARMCHEM, we recognize the strategic importance of efficient synthetic routes in the development of next-generation therapeutics. Our team of expert process chemists has thoroughly evaluated the iron-catalyzed methodology described in CN110878099B and confirmed its viability for commercial production. We possess extensive experience scaling diverse pathways from 100 kgs to 100 MT/annual commercial production, ensuring that your project can move seamlessly from clinical trials to market launch. Our state-of-the-art facilities are equipped with rigorous QC labs and advanced analytical instrumentation to guarantee stringent purity specifications, delivering intermediates that meet the highest global regulatory standards.
We invite you to collaborate with us to leverage this cost-effective technology for your pipeline. Whether you require custom synthesis of specific analogues or large-scale supply of the core scaffold, our technical procurement team is ready to assist. Please contact us to request a Customized Cost-Saving Analysis tailored to your specific volume requirements. We are prepared to provide specific COA data and comprehensive route feasibility assessments to demonstrate how our manufacturing expertise can optimize your supply chain and accelerate your time to market.
