Advanced Iron-Catalyzed Synthesis of Pyrrolo[1,2-a]indole Alkaloid Derivatives for Pharmaceutical Applications
Advanced Iron-Catalyzed Synthesis of Pyrrolo[1,2-a]indole Alkaloid Derivatives for Pharmaceutical Applications
The pharmaceutical industry continuously seeks robust and scalable synthetic routes for complex heterocyclic scaffolds, particularly those exhibiting potent biological activity. Patent CN110878099B introduces a groundbreaking preparation method for pyrrolo[1,2-a]indole alkaloid derivatives, a class of compounds renowned for their potential anti-tumor properties. This innovation leverages a novel carbon-hydrogen (C-H) and nitrogen-hydrogen (N-H) bond tandem activation strategy, facilitated by an inexpensive and environmentally benign iron catalyst. Unlike traditional methods that rely on precious metals or unstable reagents, this process operates under mild conditions, typically between 10°C and 40°C, ensuring high controllability and repeatability. For R&D directors and procurement managers alike, this technology represents a significant leap forward in the commercial scale-up of complex pharmaceutical intermediates, offering a pathway to high-purity products with reduced environmental impact and optimized cost structures.
The Limitations of Conventional Methods vs. The Novel Approach
The Limitations of Conventional Methods
Historically, the synthesis of pyrrolo[1,2-a]indole alkaloid compounds has been fraught with significant technical and economic challenges that hinder large-scale production. Prior art often relied on Wittig reaction pathways starting from o-nitrobenzaldehyde, which necessitates the use of phosphine ylides. These ylides are notoriously unstable, difficult to prepare, and pose handling risks that complicate industrial operations. Furthermore, alternative routes involving palladium-catalyzed intra-molecular oxidative coupling reactions, while effective on a small scale, suffer from severe limitations when translated to manufacturing environments. The reliance on noble metal palladium not only drives up raw material costs drastically but also introduces stringent regulatory hurdles regarding heavy metal residues in final API products. These conventional methods frequently require harsh reaction conditions, leading to lower yields, complex purification protocols, and a narrower substrate scope, ultimately restricting the diversity of analogues available for medicinal chemistry campaigns.
The Novel Approach
In stark contrast, the methodology disclosed in patent CN110878099B revolutionizes the synthesis landscape by employing a direct, one-pot tandem reaction driven by an iron catalyst. This approach constructs the critical carbon-carbon and carbon-nitrogen bonds simultaneously through a C-H/N-H activation mechanism, bypassing the need for pre-functionalized substrates or unstable intermediates. The use of iron sulfate as a catalyst is a game-changer, replacing expensive palladium systems with a cheap, earth-abundant alternative that is non-toxic and easy to handle. The reaction proceeds smoothly in common solvents like toluene at near-ambient temperatures, demonstrating exceptional functional group tolerance. This allows for the incorporation of diverse substituents such as halogens, alkyls, and ethers without compromising yield or purity. By streamlining the synthetic sequence into a single pot with minimal workup requirements, this novel approach significantly enhances cost reduction in pharmaceutical intermediates manufacturing while ensuring a reliable supply of high-quality building blocks for drug development.
Mechanistic Insights into Iron-Catalyzed C-H/N-H Tandem Cyclization
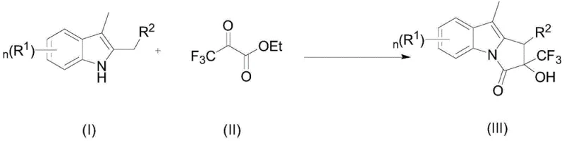
The core of this technological breakthrough lies in the elegant mechanistic pathway that facilitates the formation of the pyrrolo[1,2-a]indole core. The reaction initiates with the coordination of the iron catalyst to the carbonyl oxygen of ethyl trifluoropyruvate, activating the electrophile towards nucleophilic attack by the electron-rich C3 position of the 2,3-dimethylindole derivative. This initial C-C bond formation is followed by a crucial intramolecular cyclization step where the indole nitrogen attacks the activated ester moiety. The presence of tetramethylguanidine (TMG) as a base is critical in this second stage, facilitating the deprotonation required for the N-H bond activation and subsequent ring closure. This tandem sequence effectively builds the tricyclic scaffold in a highly atom-economical fashion, minimizing waste generation. The mild thermal conditions (10-40°C) prevent the degradation of sensitive functional groups and suppress side reactions that often plague high-temperature processes, resulting in cleaner reaction profiles and simplified downstream purification.
![General reaction scheme for the synthesis of pyrrolo[1,2-a]indole alkaloid derivatives via iron-catalyzed C-H/N-H activation](/insights/img/pyrrolo-indole-alkaloid-synthesis-pharma-supplier-20260304011818-01.webp)
Furthermore, the impurity profile of this process is exceptionally manageable due to the high selectivity of the iron catalyst. The specific molar ratios employed, such as a 1:3:0.1 ratio of indole derivative to ethyl trifluoropyruvate to iron catalyst, ensure that the reaction proceeds to completion with minimal formation of oligomeric byproducts. The use of toluene as a preferred solvent further aids in solubilizing the organic components while allowing for easy removal post-reaction. For quality control teams, this means that achieving high-purity pyrrolo[1,2-a]indole alkaloid derivatives is far more attainable compared to legacy methods. The robustness of the catalytic cycle allows for consistent performance across different batches, a critical factor for maintaining supply chain integrity. The ability to tolerate various R1 and R2 substituents, as demonstrated in the patent examples, confirms the versatility of this mechanism, making it a powerful tool for generating diverse libraries of bioactive molecules for screening and development.
How to Synthesize Pyrrolo[1,2-a]indole Alkaloid Derivatives Efficiently
The practical implementation of this synthesis is straightforward and designed for scalability, making it an ideal candidate for technology transfer from lab to plant. The process begins by charging a reactor with the 2,3-dimethylindole derivative, ethyl trifluoropyruvate, the iron catalyst, and the chosen solvent, followed by stirring at controlled temperatures. After the initial coupling phase, the addition of tetramethylguanidine triggers the cyclization, completing the formation of the target scaffold. The detailed standardized synthesis steps, including specific stoichiometric ratios, temperature ramps, and workup procedures, are outlined in the guide below to ensure reproducible results for process chemists.
- Combine 2,3-dimethylindole derivative, ethyl trifluoropyruvate, iron catalyst (e.g., Fe2(SO4)3), and solvent (e.g., toluene) in a reactor.
- Stir the mixture at 10-40°C for approximately 12 hours to allow the initial coupling reaction to proceed.
- Add tetramethylguanidine (TMG) to the reaction mixture and continue stirring at 10-40°C for 12-24 hours to complete the cyclization.
- Upon completion, purify the crude product via reduced pressure distillation to obtain the target pyrrolo[1,2-a]indole alkaloid derivative.
Commercial Advantages for Procurement and Supply Chain Teams
For procurement managers and supply chain heads, the adoption of this iron-catalyzed methodology offers profound strategic advantages that extend beyond mere technical feasibility. The shift from precious metal catalysis to base metal catalysis fundamentally alters the cost structure of the manufacturing process. By eliminating the need for palladium, companies can avoid the volatility associated with noble metal pricing and the substantial costs linked to metal scavenging and residue testing. This transition leads to significant cost savings in raw materials and waste management, directly impacting the bottom line. Moreover, the use of commercially available and stable reagents like 2,3-dimethylindole derivatives and ethyl trifluoropyruvate ensures a secure and continuous supply chain, reducing the risk of production stoppages due to material shortages.
- Cost Reduction in Manufacturing: The replacement of expensive palladium catalysts with inexpensive iron salts drastically lowers the direct material costs associated with the synthesis. Additionally, the mild reaction conditions reduce energy consumption for heating and cooling, while the simplified one-pot procedure minimizes labor and equipment usage time. The elimination of complex purification steps required to remove heavy metal residues further contributes to substantial operational expenditure reductions, making the final intermediate more competitive in the global market.
- Enhanced Supply Chain Reliability: The robustness of the reaction conditions, operating effectively at ambient temperatures, reduces the dependency on specialized high-pressure or high-temperature equipment, thereby increasing manufacturing flexibility. The wide substrate scope allows for the sourcing of diverse indole derivatives from multiple suppliers, mitigating single-source risks. This flexibility ensures that production schedules can be maintained even if specific raw material streams face temporary disruptions, guaranteeing reducing lead time for high-purity pharmaceutical intermediates delivery to downstream customers.
- Scalability and Environmental Compliance: The process is inherently green, utilizing an environmentally friendly iron catalyst and generating less hazardous waste compared to traditional methods. This aligns perfectly with increasingly strict global environmental regulations, reducing the burden of waste disposal and compliance reporting. The simplicity of the workup, involving reduced pressure distillation, facilitates easy scale-up from kilogram to multi-ton scales without the need for complex process re-engineering, ensuring a smooth transition from pilot plant to commercial production.
Frequently Asked Questions (FAQ)
The following questions address common technical and commercial inquiries regarding the synthesis of pyrrolo[1,2-a]indole alkaloid derivatives. These answers are derived directly from the technical specifications and experimental data provided in the patent literature, offering clarity on the process capabilities and limitations for potential partners and stakeholders.
Q: What are the advantages of using an iron catalyst over palladium for this synthesis?
A: Iron catalysts are significantly more cost-effective and environmentally friendly compared to noble metals like palladium. The patented method eliminates the need for expensive heavy metal removal steps, simplifying downstream processing and reducing overall production costs while maintaining high yields.
Q: What is the substrate scope for this pyrrolo[1,2-a]indole synthesis?
A: The method demonstrates excellent substrate tolerance, accommodating various substituents on the indole ring including halogens (Cl, Br), alkyl groups (methyl, isopropyl), and alkoxy/phenoxy groups. This versatility allows for the efficient production of a wide library of derivatives for drug discovery.
Q: How does this method improve supply chain reliability for pharmaceutical intermediates?
A: By utilizing readily available raw materials like 2,3-dimethylindole derivatives and ethyl trifluoropyruvate under mild reaction conditions (10-40°C), the process ensures consistent batch-to-batch reproducibility. The robust nature of the iron-catalyzed system minimizes production delays associated with sensitive reagents or harsh conditions.
Partnering with NINGBO INNO PHARMCHEM: Your Reliable Pyrrolo[1,2-a]indole Alkaloid Derivative Supplier
At NINGBO INNO PHARMCHEM, we recognize the critical role that efficient synthetic methodologies play in accelerating drug discovery and development. Our team of expert process chemists has thoroughly analyzed the iron-catalyzed route described in patent CN110878099B and is fully equipped to implement this technology at scale. We possess extensive experience scaling diverse pathways from 100 kgs to 100 MT/annual commercial production, ensuring that your supply needs are met with precision and consistency. Our state-of-the-art facilities are designed to handle sensitive organometallic reactions with rigorous safety protocols, and our stringent purity specifications guarantee that every batch meets the highest industry standards. With our rigorous QC labs, we provide comprehensive analytical data to support your regulatory filings and quality assurance requirements.
We invite you to collaborate with us to leverage this advanced synthesis for your next project. Our technical procurement team is ready to provide a Customized Cost-Saving Analysis tailored to your specific volume requirements and timeline. Please contact us to request specific COA data for our existing inventory or to discuss route feasibility assessments for custom derivatives. By partnering with NINGBO INNO PHARMCHEM, you gain access to a reliable supply chain partner committed to delivering high-quality pharmaceutical intermediates that drive your innovation forward.
